Скачать Руководство по диспетчеризации в ремонтно-строительных организациях

Дата актуализации: 01.01.2021

Руководство по диспетчеризации в ремонтно-строительных организациях

Статус:справочные материалы, мп, тпр
Название рус.:Руководство по диспетчеризации в ремонтно-строительных организациях
Дата добавления в базу:01.10.2014
Дата актуализации:01.01.2021
Область применения:В Руководстве изложены состав, содержание, порядок разработки и внедрения системы диспетчеризации в ремонтно-строительных организациях. Руководство предназначено для инженерно-технических работников и диспетчерского персонала ремонтно-строительных трестов в качестве методического пособия при внедрении и функционировании системы диспетчеризации.
Оглавление:1. Общие положения
2. Организация оперативно-диспетчерского управления
   Организационная структура
   Диспетчерская информация и документация
   Организация работы диспетчерского персонала
3. Организация диспетчерской связи
   Общие положения
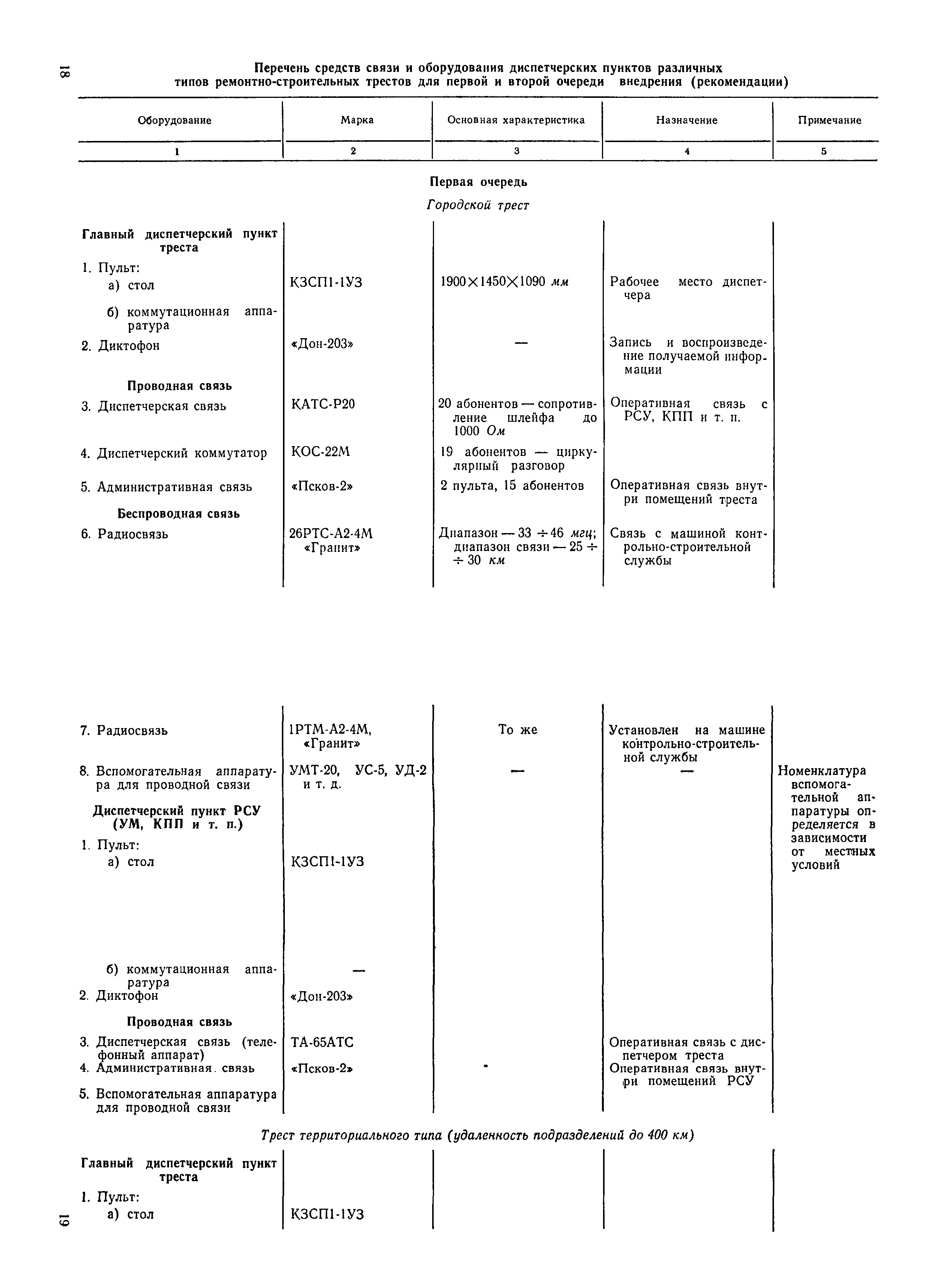
   Оборудование диспетчерских пунктов
Приложение 1. Схема организации оперативно-диспетчерского управления в ремонтно-строительном тресте (примерная)
Приложение 2. Состав диспетчерского персонала треста и его подразделений (примерный)
Приложение 3. Недельно (декадно) - суточный график производства работ (примерный)
Приложение 4. Недельно (декадно) - суточный график автотранспортных грузоперевозок
Приложение 5. Недельно (декадно) - суточный график (примерный) работы строительных машин
Приложение 6. Недельно (декадно) - суточный график-заявка обеспечения производства материально-техническими ресурсами (примерный)
Приложение 7. Выписка из месячного плана-графика технического обслуживания и ремонта строительных машин
Приложение 8. Наряд на поставку строительных машин
Приложение 9. Наряд-заказ на выполнение работ
Приложение 10. Ведомость наличия и технического состояния автотранспорта
Приложение 11. Товарно-транспортная накладная
Приложение 12. Сведения о выходе автомашин на линию и выполнении заявок автотранспортом
Приложение 13. Журнал диспетчера треста
Приложение 14. Журнал состояния диспетчерской связи
Приложение 15. Рекомендации по выбору каналов связи и вспомогательного оборудования
Приложение 16. Организация работы с автоматом ЭПРА
Приложение 17. Общие требования к помещениям диспетчерских пунктов
Приложение 18. План размещения оборудования передвижного диспетчерского пункта (примерный)
Разработан: ЛНИИ АКХ им. К.Д. Памфилова Минжилкомхоза РСФСР
Утверждён:30.12.1970 Министерство жилищно-коммунального хозяйства РСФСР
Издан: Стройиздат (1974 г. )