Скачать ТСЦО Ямало-Ненецкий автономный округ Часть 1 ОборудованиеДата актуализации: 01.01.2021
|
| Обозначение: | ТСЦО Ямало-Ненецкий автономный округ Часть 1 |
| Обозначение англ: | Часть 1 |
| Статус: | действует |
| Название рус.: | Оборудование |
| Дата добавления в базу: | 01.10.2014 |
| Дата актуализации: | 01.01.2021 |
| Область применения: | Территориальный сборник сметных цен на оборудование предназначен для определения сметной стоимости оборудования, монтируемого на объектах Ямало-Ненецкого автономного округа, и применяется при составлении сметной документации на строительство предприятий, зданий и сооружений. |
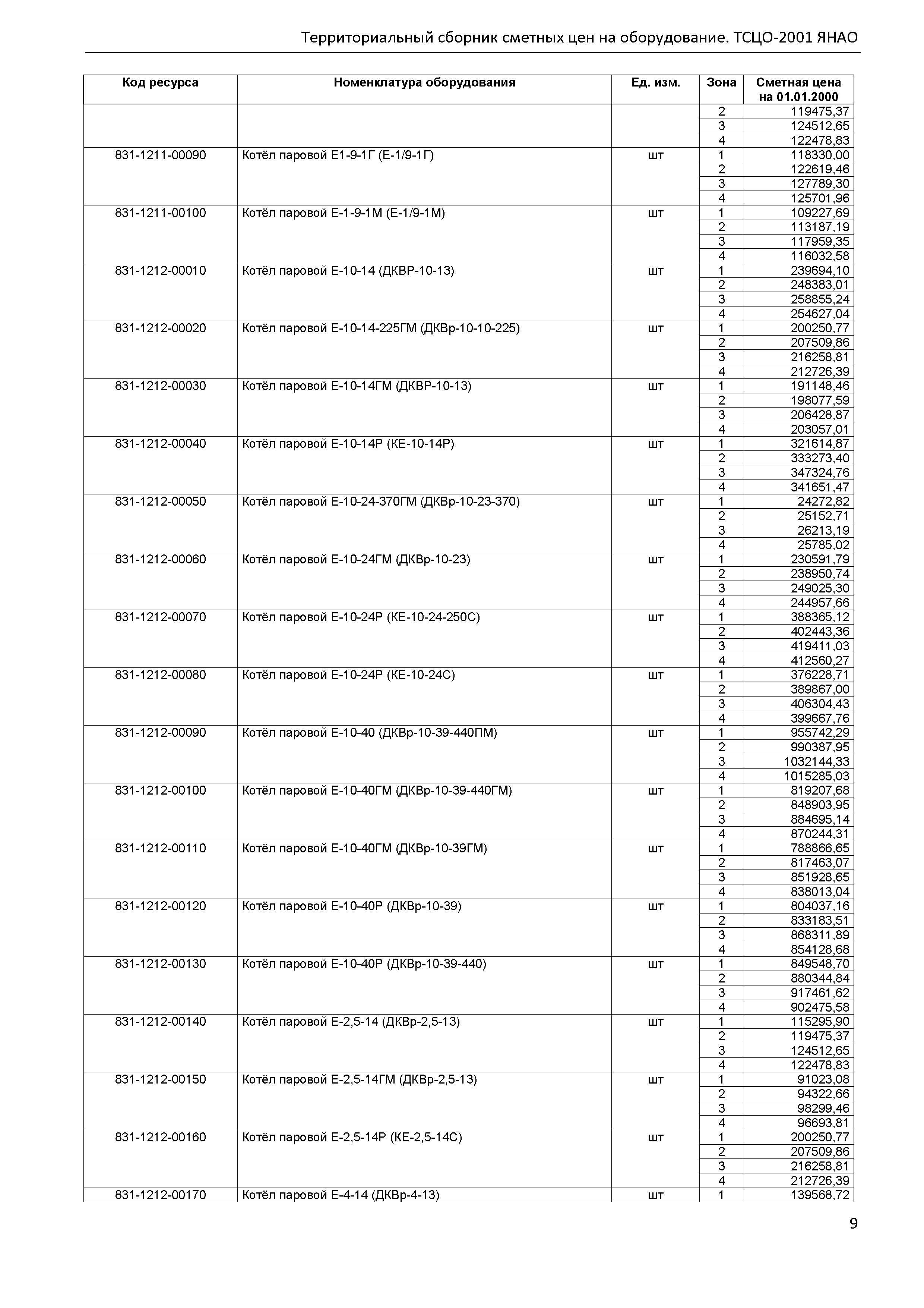
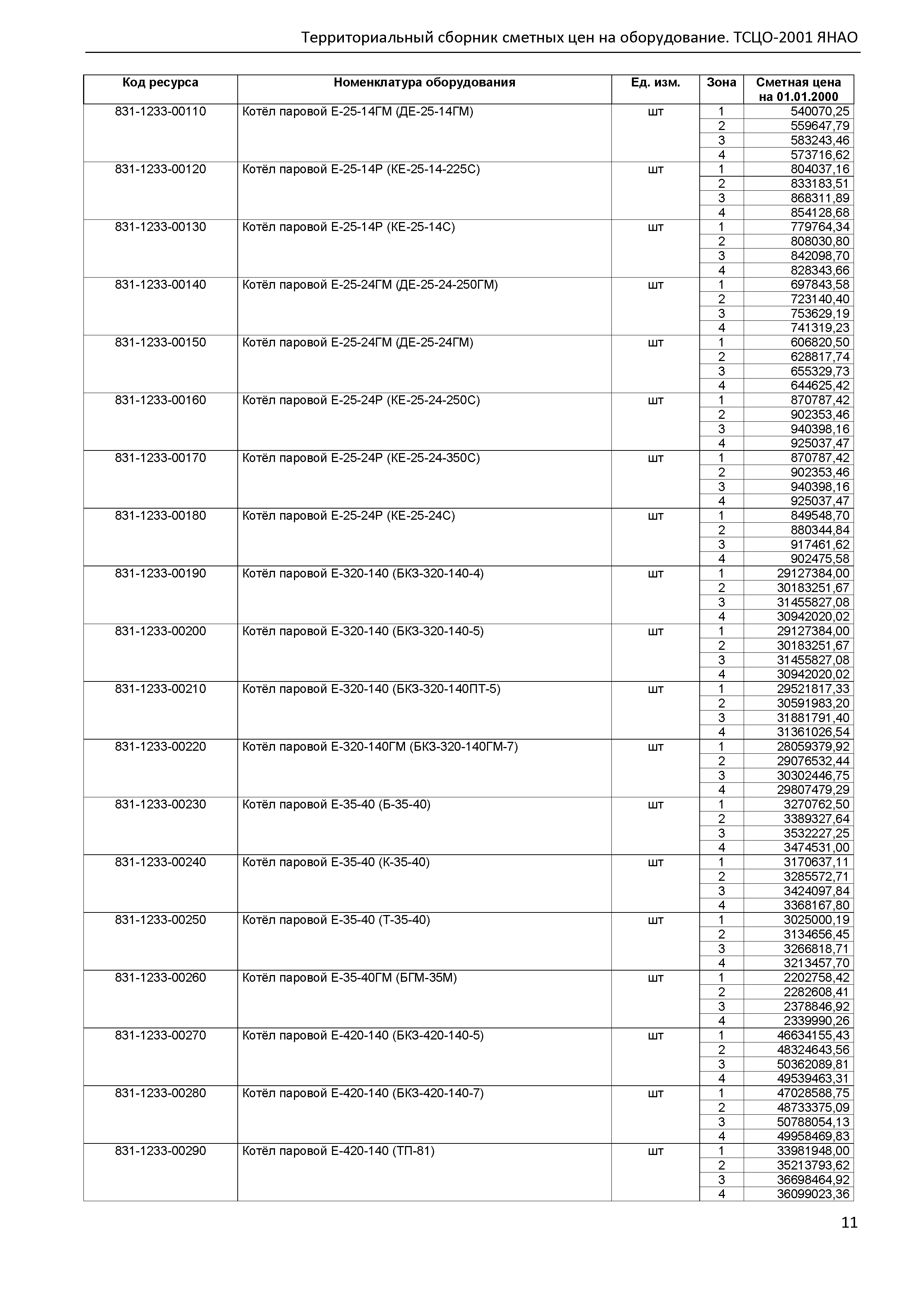
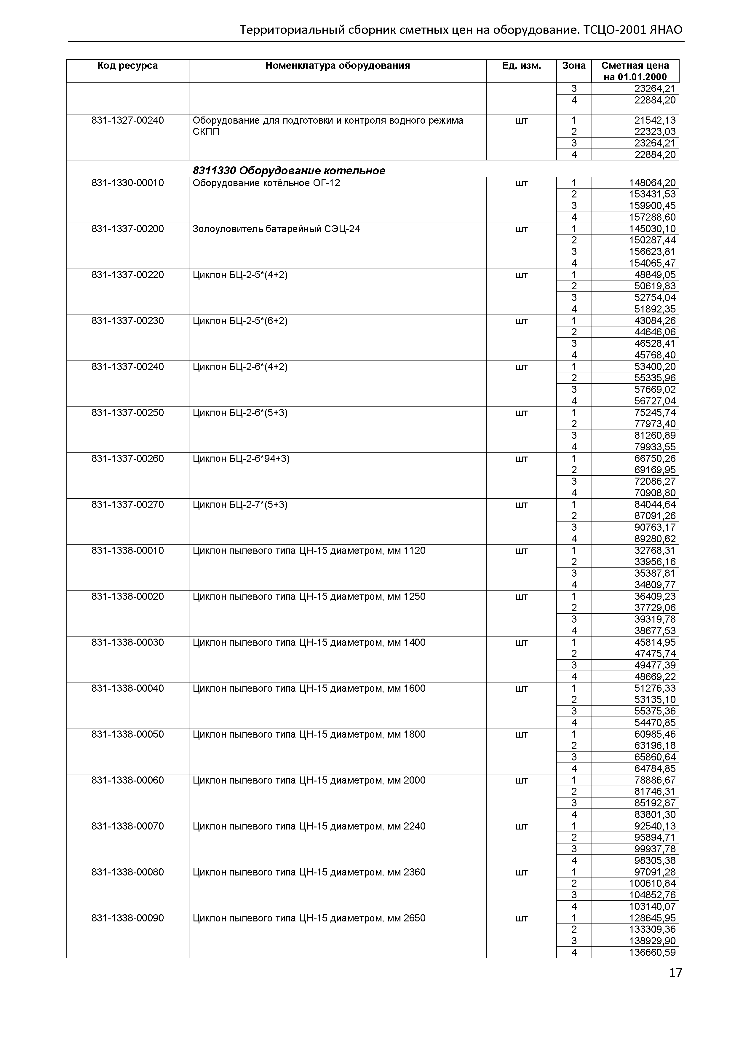
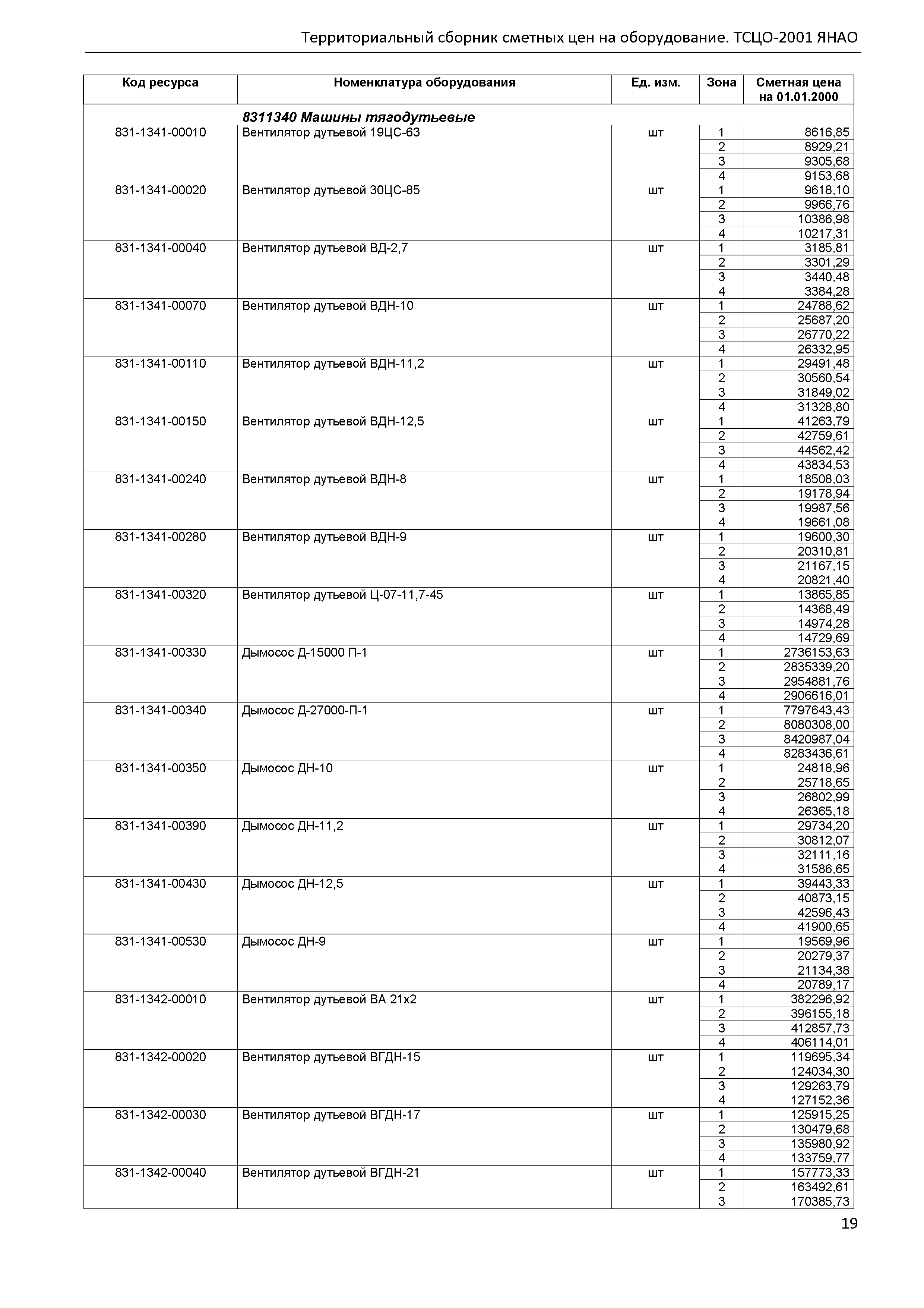
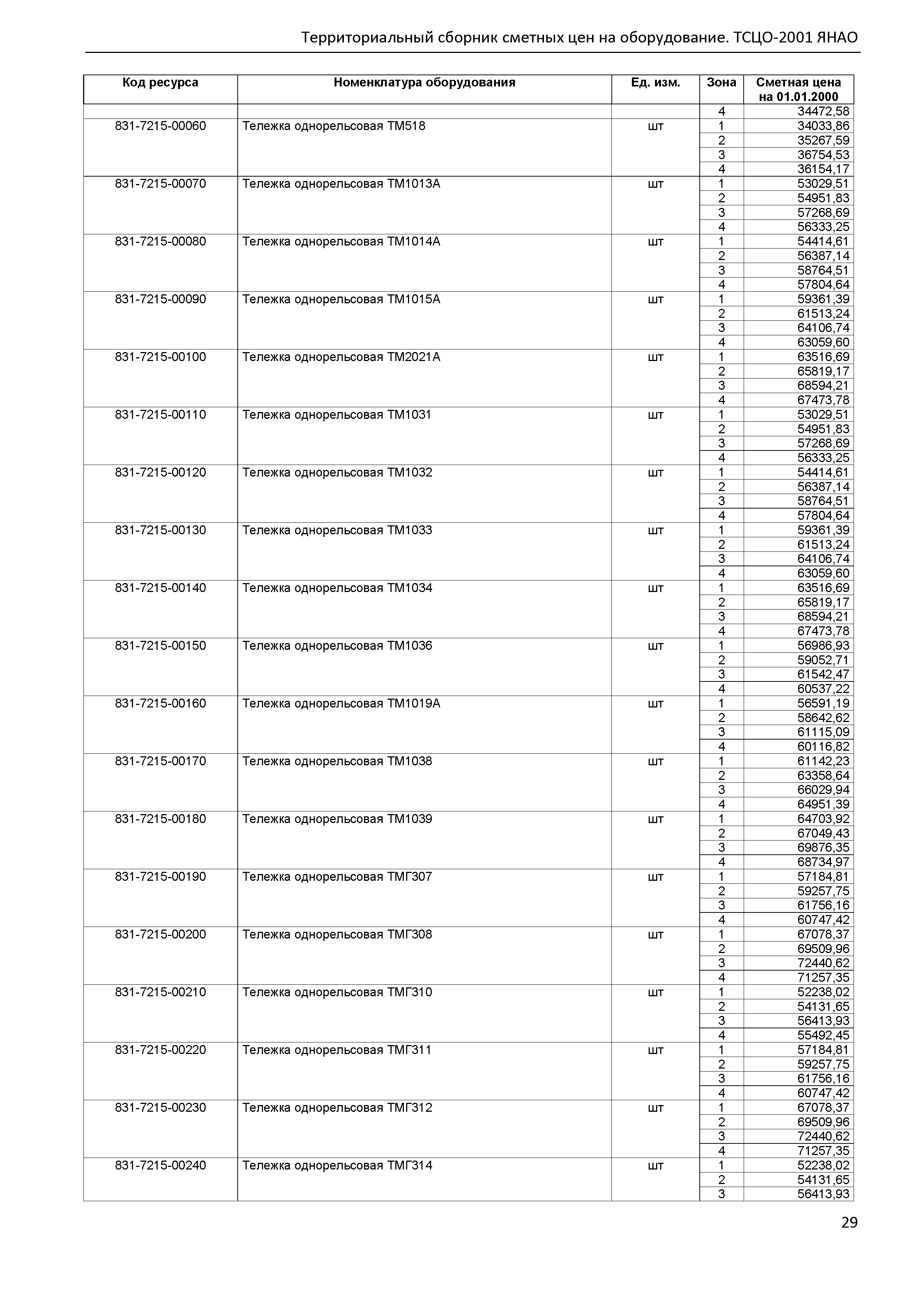
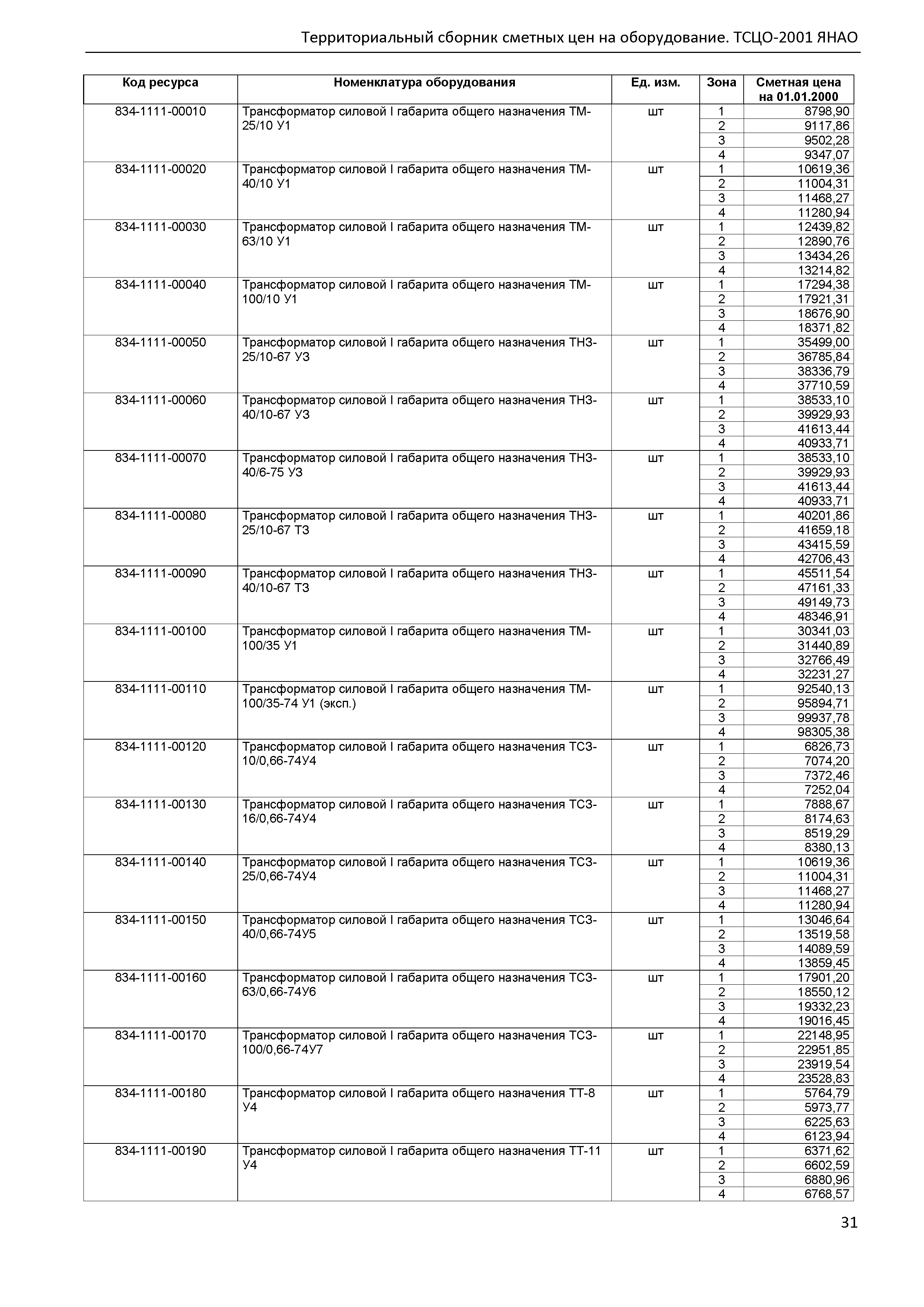
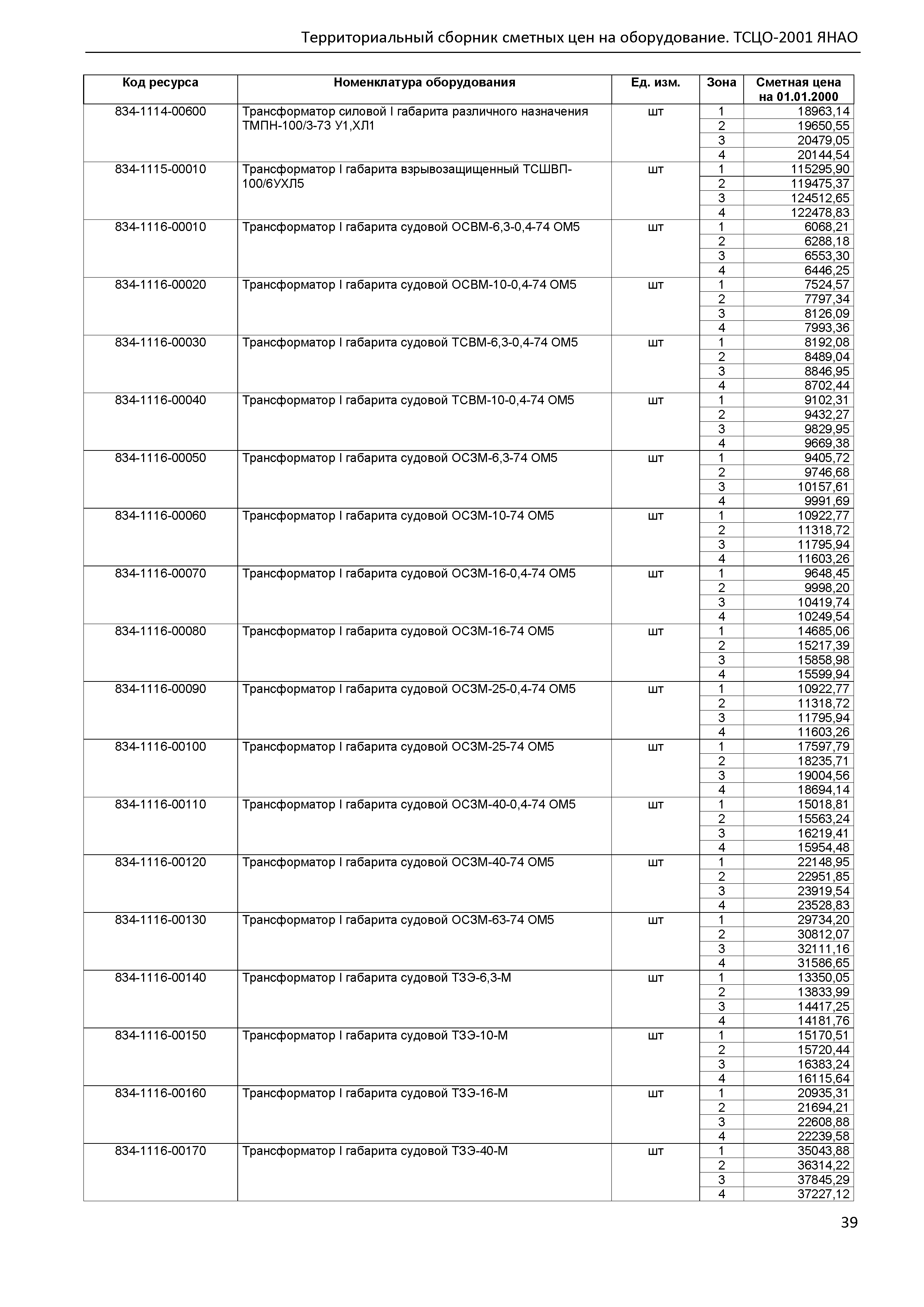
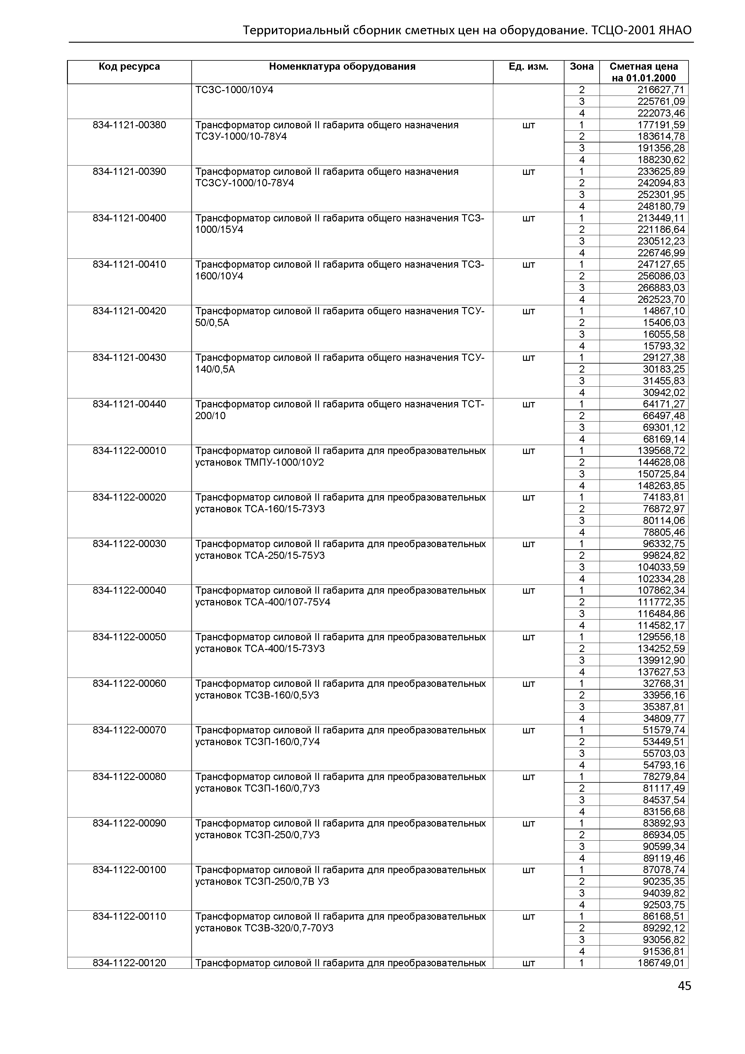
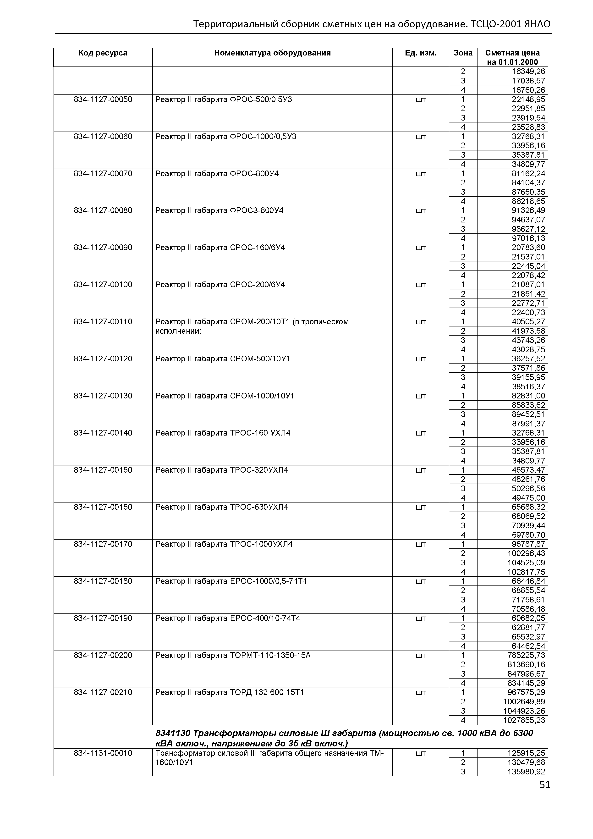
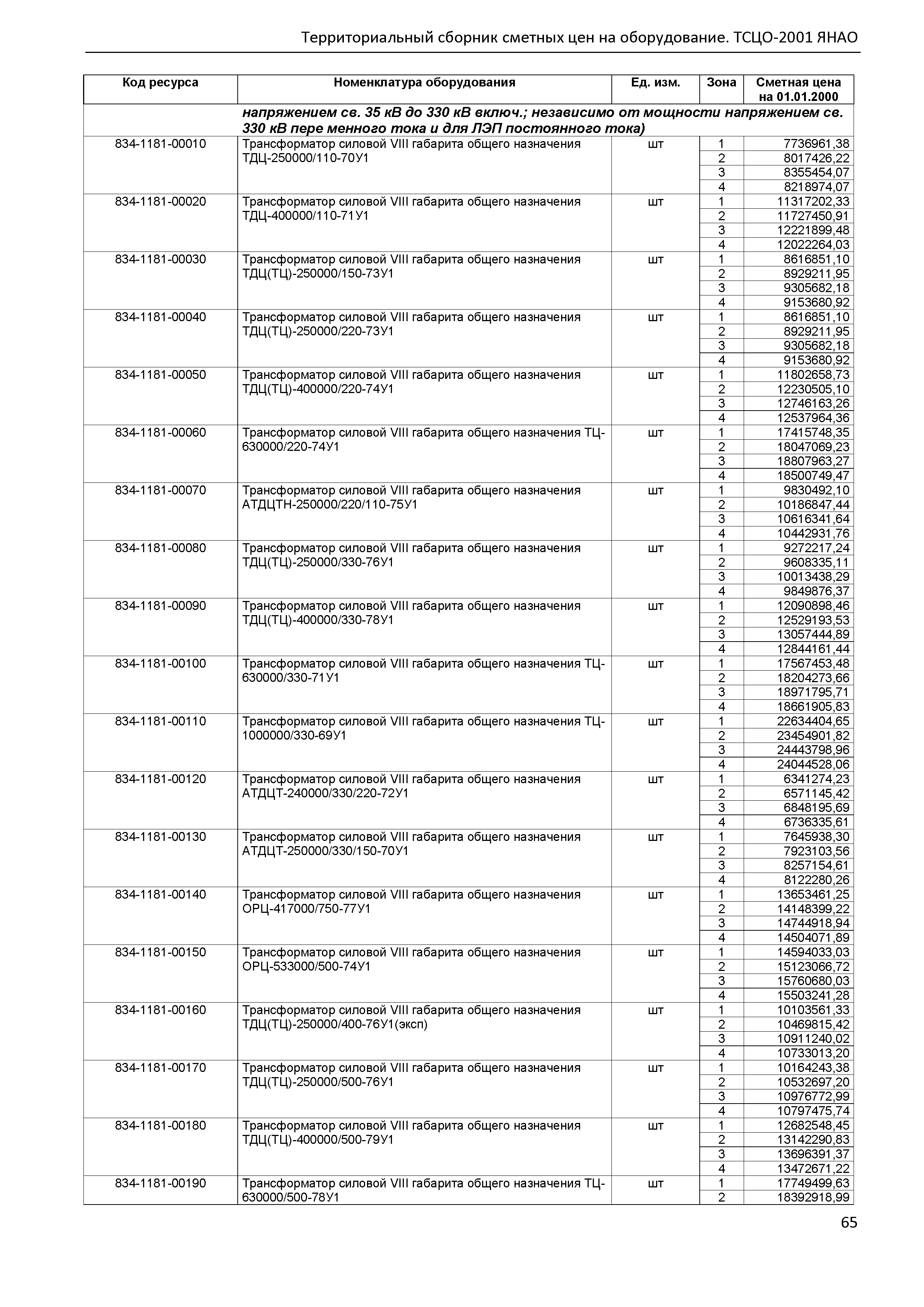
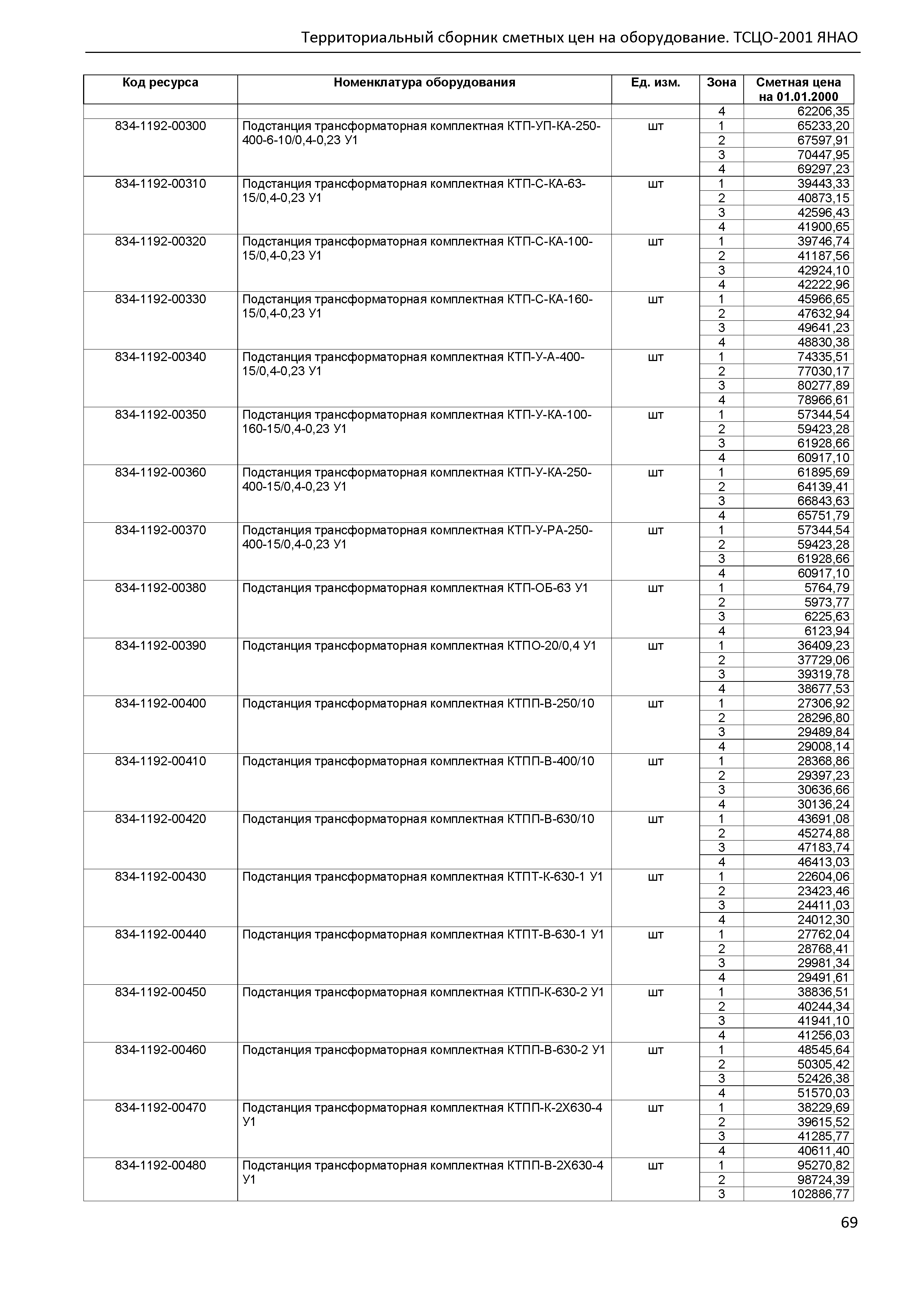
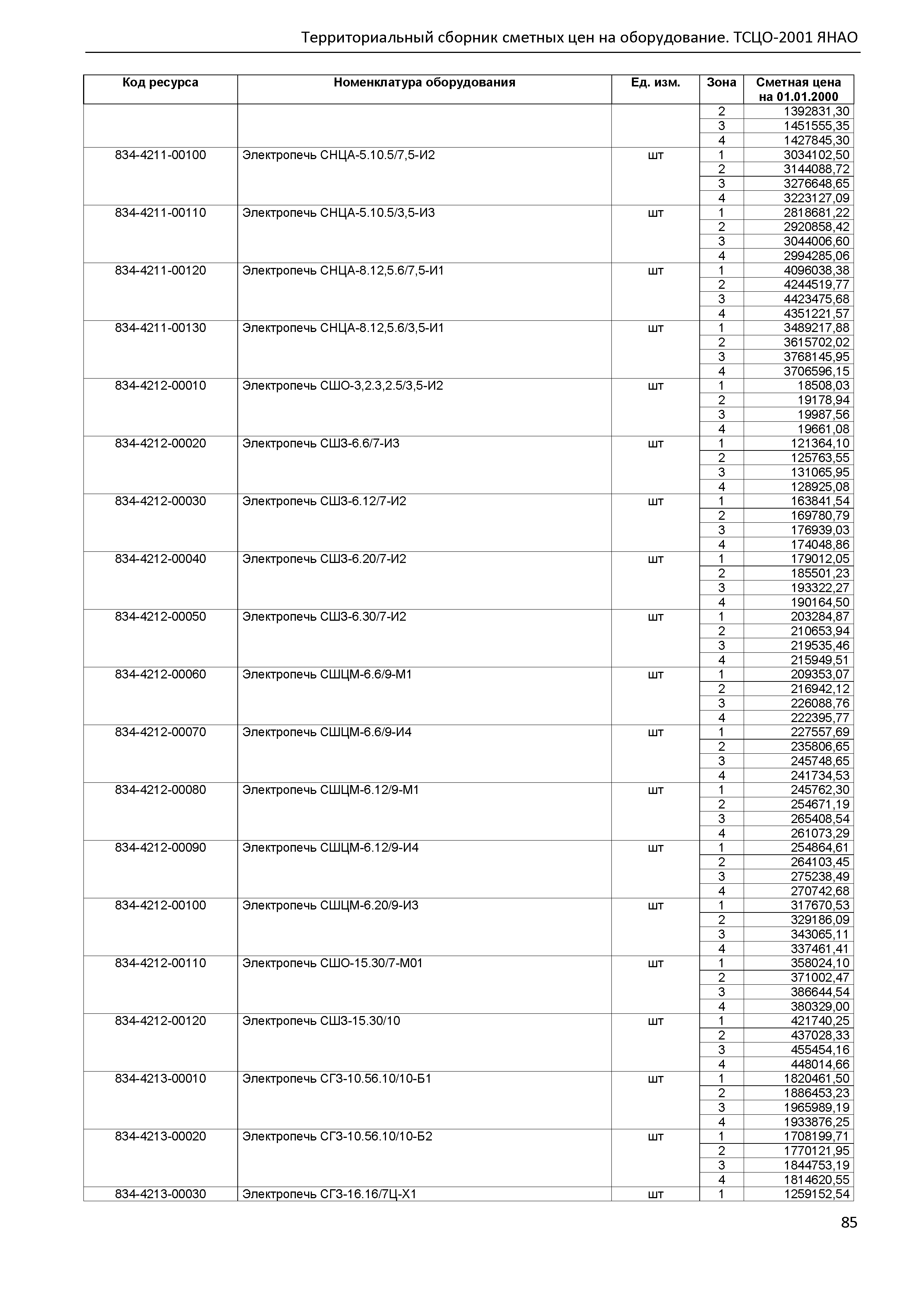
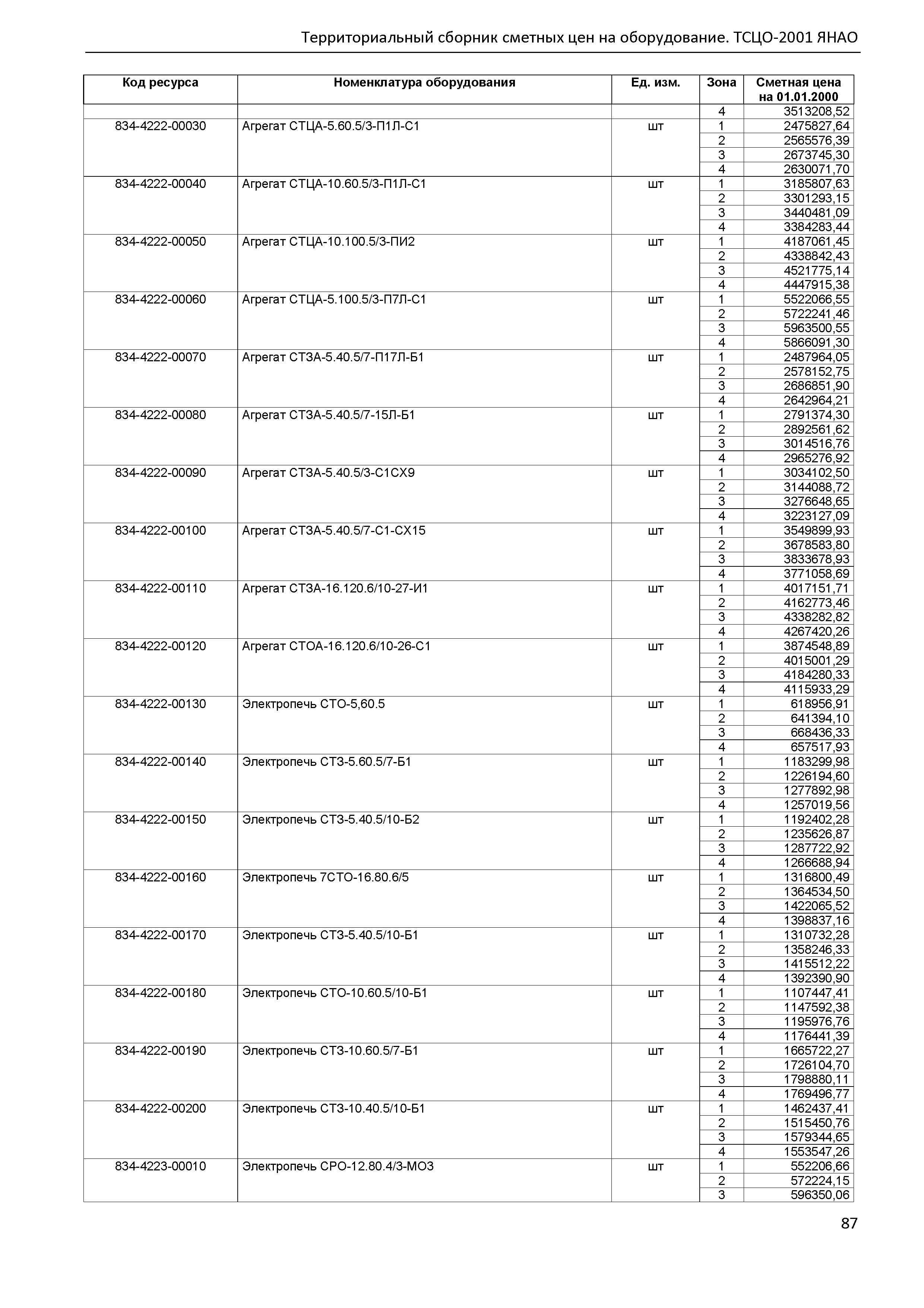
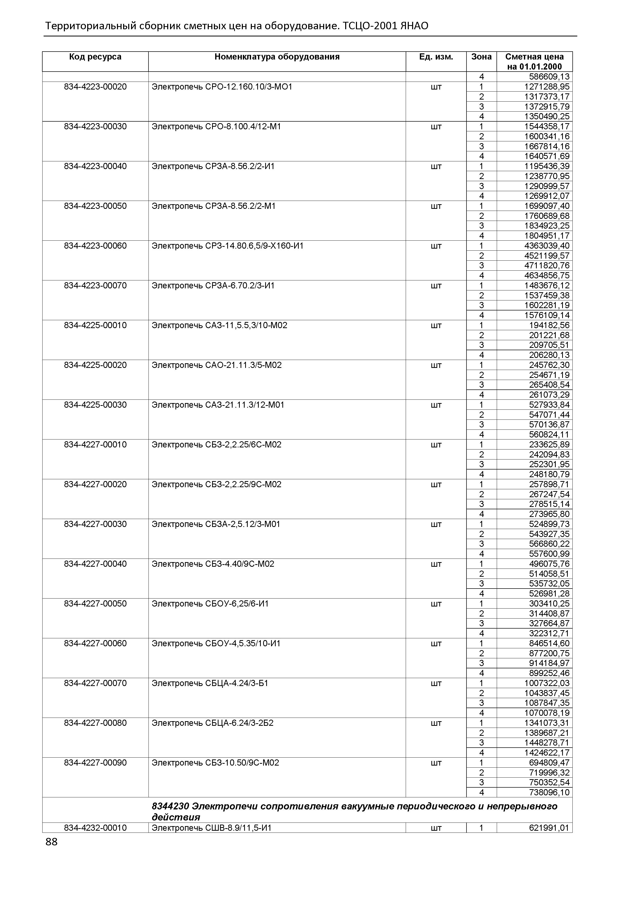
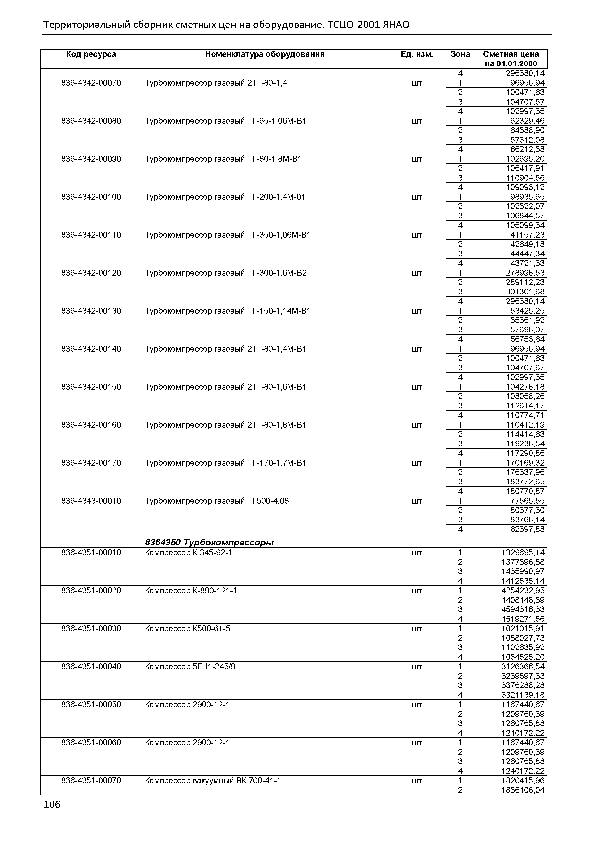
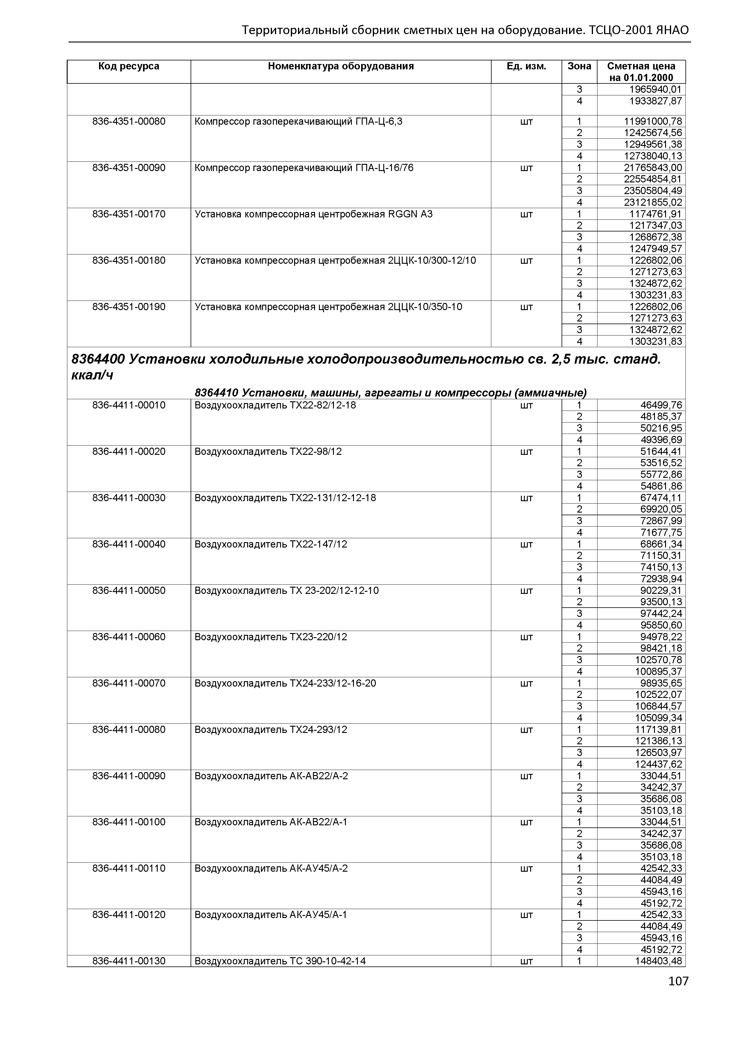
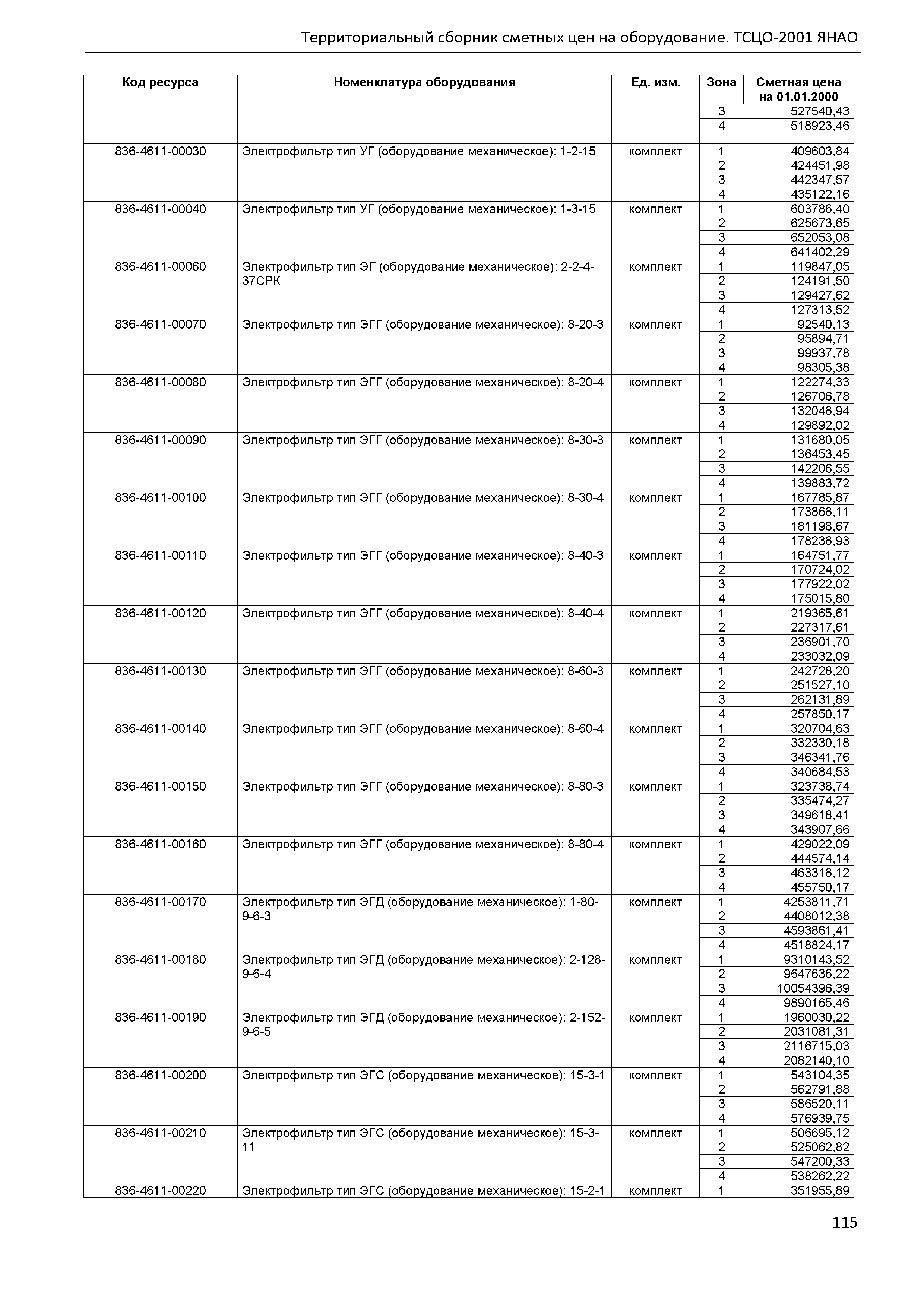
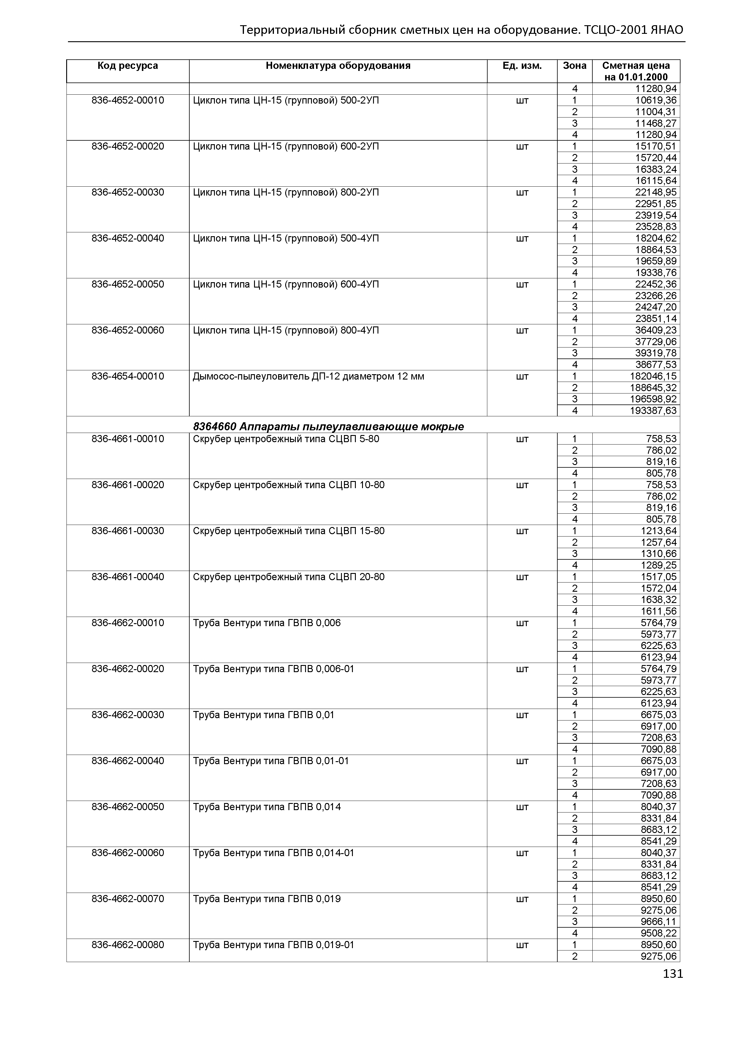
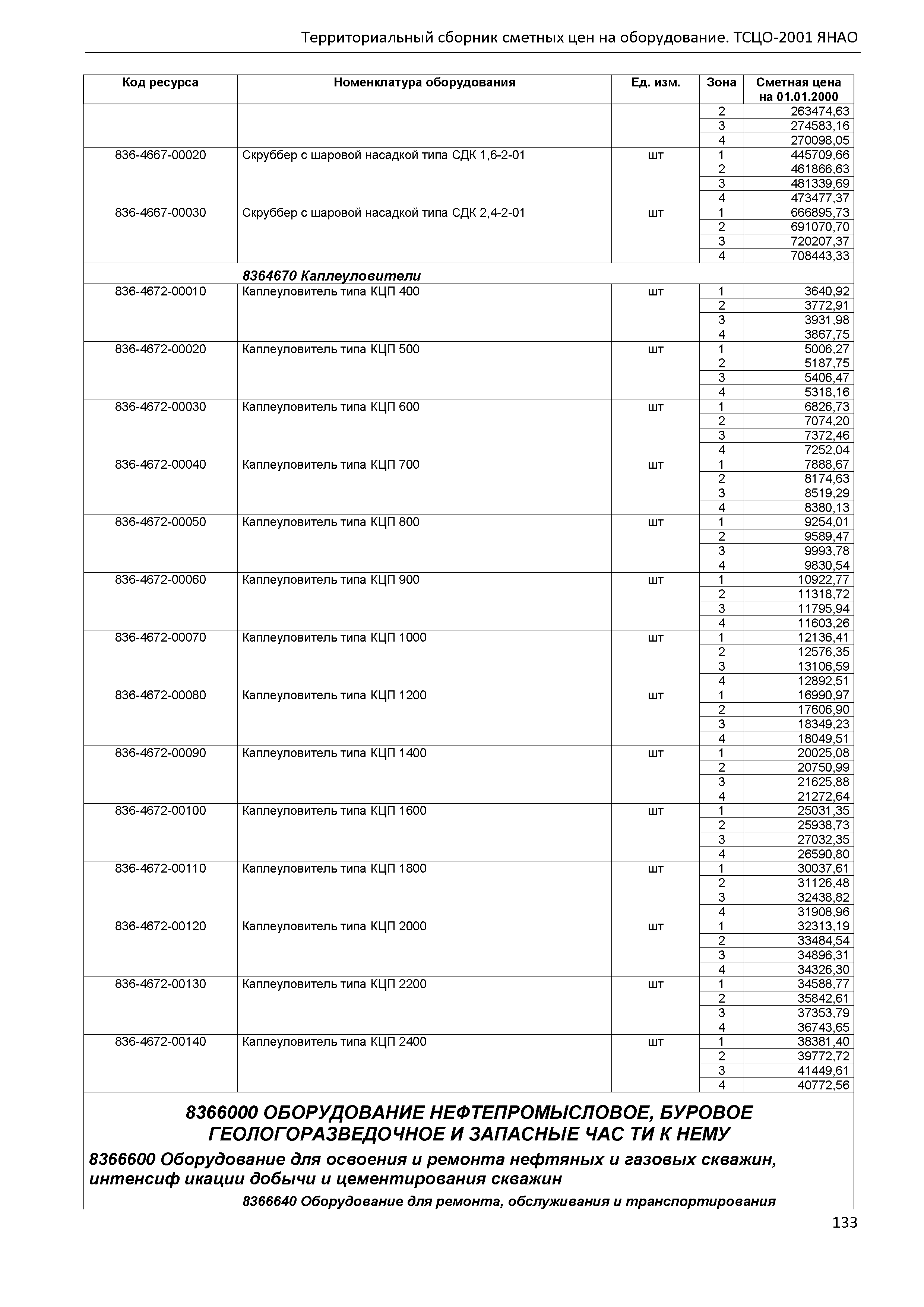
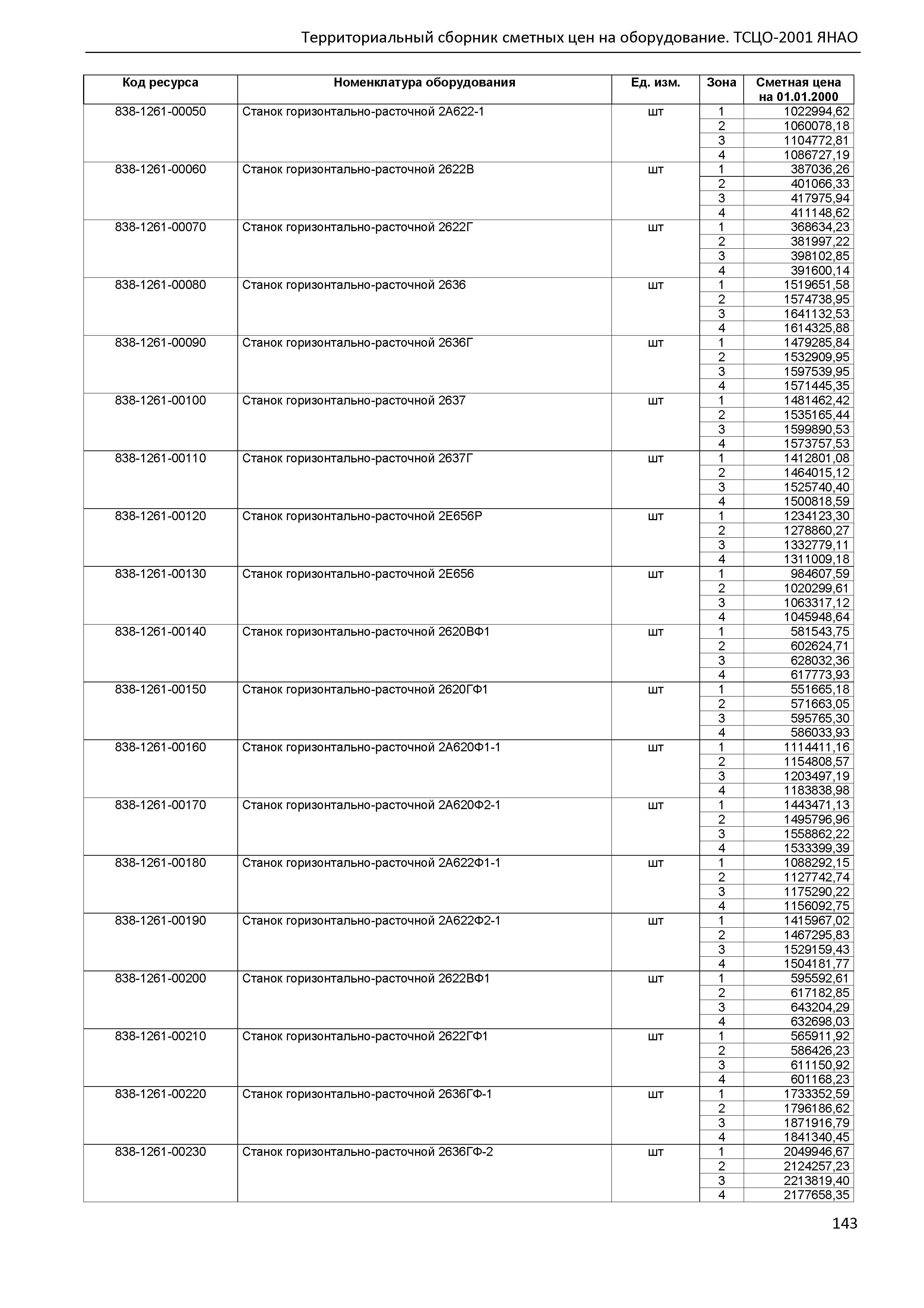
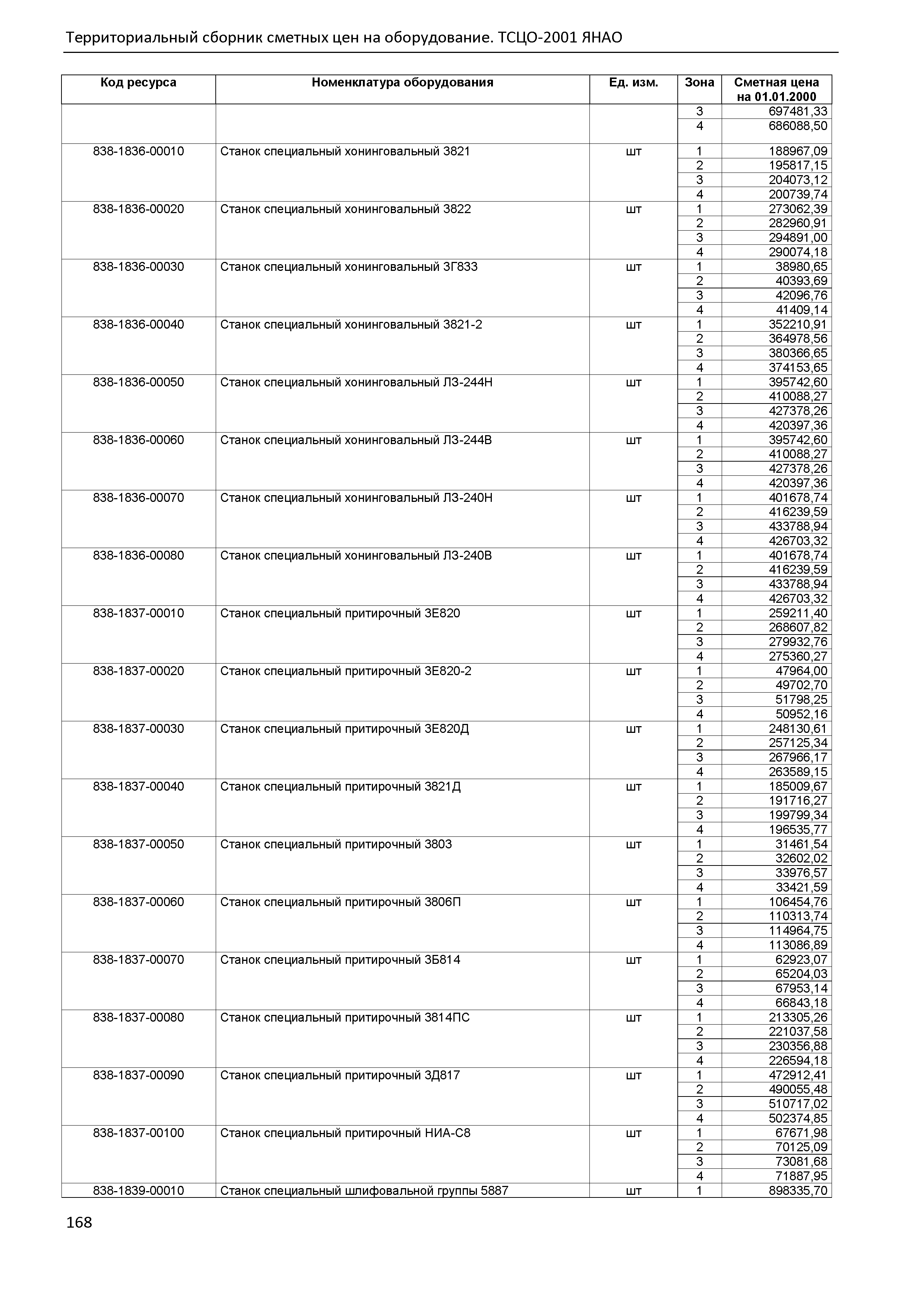
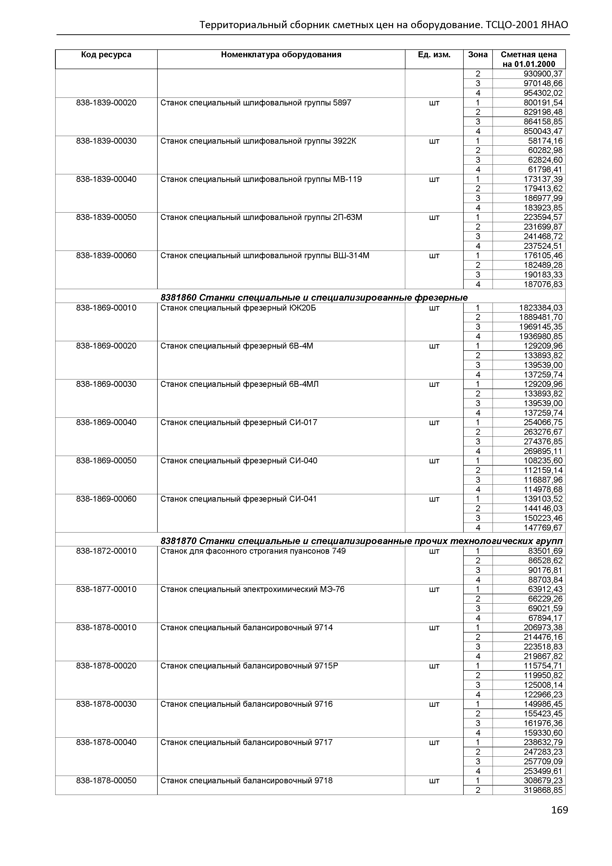
| Оглавление: | 8310000 Продукция тяжелого, энергетического и транспортного машиностроения 8311000 Оборудование энергетическое 8311100 Турбины 8311200 Котлы 8311300 Трубопроводы, оборудование вспомогательное энергетическое 8311600 Оборудование энергетическое прочее 8313000 Оборудование для черной и цветной металлургии 8313200 Оборудование обогатительное 8313300 Оборудование коксовое (машины и механизмы для производства кокса, без вагонов-опрокидывателей) 8313900 Запасные части к оборудованию металлургическому 8314000 Оборудование горно-шахтное 8314100 Оборудование для вскрышных и очистных работ и крепления горных выработок 8314300 Оборудование стволовых подъемов и шахтного транспорта 8314400 Оборудование механизации поверхности шахт и околоствольных дворов 8314500 Оборудование для бурения шнуров и скважин, оборудование для зарядки и забойки взрывных скважин 8314600 Оборудование для освещения, вентиляции и пылеподавления 8316000 Оборудование подъемно- транспортное (конвейеры) 8316100 Конвейеры ленточные стационарные (включая катучие) , скребковые, звеньевые и прочие 8316300 Конвейеры подвесные 8316500 Элеваторы, эскалаторы, конвейеры пассажирские 8316700 Конвейеры вибрационные, винтовые, роликовые, дисковые 8317000 Оборудование подъемно- транспортное (кроме кранов и конвейеров) 8317100 Транспорт напольный, машины погрузочные и разгрузочные 8317200 Дороги однорельсовые, дороги канатные 8317600 Оборудование для комплексной механизации складов 8317700 Контейнеры 8317800 Оборудование для подъемно-транспортных машин и кранов 8318000 Оборудование и подвижной состав железных дорог 8318600 Машины путевые и инструменты 8340000 Оборудование и материалы электротехнические 8341000 Трансформаторы и трансформаторное оборудование, аппаратура высоковольтная, силовая преобразовательная техника, хемотроника 8341100 Трансформаторы силовые (однофазные мощностью св. кВА, трехфазные мощностью 6,3 кВА и свыше) 8341300 Трансформаторы малой мощности (однофазные мощностью 4 кВА и менее, трехфазные мощностью 5 кВА менее) 8341400 Аппаратура высоковольтная электрическая 8344000 Оборудование специальное технологическое, шинопроводы низкого напряжения 8344100 Оборудование электросварочное 8344200 Оборудование электротермическое промышленное 8344300 Оборудование электротермическое прочее 8344400 Установки и оборудование электротехнологическое 8345000 Электротранспорт (кроме городского и мотор-вагонных поездов), электрооборудование для электротранспорта и подъемно-транспортных машин 8345300 Электротранспорт производственный напольный безрельсовый, электрооборудование и приспособления к нему 8346000 Оборудование светотехническое и изделия электроустановочные. Лампы электрические. Изделия культурно- бытового назначения и хозяйственного обихода 8346800 Изделия культурно-бытового назначения и хозяйственного обихода электротехнические 8360000 Химическое и нефтяное машиностроение 8362000 Оборудование для переработки полимерных материалов и запасные части к нему 8362200 Оборудование смесительное, профилирующее и литьевое 8362400 Оборудование формовочное и вулканизационное в производстве резиновых изделий 8362700 Оборудование для переработки термопластов в изделия 8362800 Оборудование для производства изделий из стеклопластиков 8363000 Оборудование насосное (насосы, агрегаты и установки насосные) 8363100 Оборудование насосное с динамическими насосами (центробежными, диагональными, осевыми, трения, комбинированными) 8364000 Оборудование криогенное, компрессорное, холодильное, автогенное, газоочистное, насосы вакуумные 8364300 Компрессоры воздушные и газовые приводные 8364400 Установки холодильные холодопроизводительностью св. 2,5 тыс. станд. ккал/ч 8364500 Оборудование и аппаратура для газопламенной обработки металлов и металлизации изделий 8364600 Оборудование газоочистное и пылеулавливающее 8366000 Оборудование нефтепромысловое, буровое геологоразведочное и запасные части к нему 8366600 Оборудование для освоения и ремонта нефтяных и газовых скважин, интенсификации добычи и цементирования скважин 8367000 Оборудование технологическое и аппаратура для нанесения лакокрасочных покрытий на изделия машиностроения 8367700 Оборудование вспомогательное 8368000 Оборудование нефте-газоперерабатывающее специальное 8368900 Оборудование нефтегазоперерабатывающее прочее 8369000 Оборудование прочее 8369600 Оборудование газопотребляющее промышленное 8380000 Оборудование металлообрабатывающее и деревообрабатывающее 8381000 Станки металлорежущие 8381100 Станки токарной группы 8381200 Станки сверлильно-расточной группы 8381300 Станки шлифовальной группы 8381500 Станки зубообрабатывающие 8381600 Станки фрезерные 8381700 Станки прочих технологических групп (кроме специальных и специализированных) 8381800 Станки специальные, специализированные и агрегатные 8382000 Машины кузнечно-прессовые (без машин с ручным и ножным приводом) 8382100 Прессы механические 8383000 Оборудование деревообрабатывающее 8383100 Станки деревообрабатывающие 8383200 Рамы лесопильные 8383400 Оборудование для производства столярно-строительных изделий 8383500 Оборудование для производства мебели (комплекты) 8383600 Оборудование околорамное и околостаночное 8383800 Линии автоматические и полуавтоматические для деревообработки 8386000 Оборудование для сварки трением, механическое, вспомогательное и для газотермического напыления 8386200 Оборудование сварочное механическое и вспомогательное 8386400 Оборудование для газотермического напыления 8400000 Вычислительная техника 8401000 Сети, системы, комплексы и машины вычислительные 8401200 Сети, системы и комплексы вычислительные электронные цифровые 8410000 Продукция общемашиностроительного применения 8414000 Гидроприводы и гидроавтоматика 8414500 Гидрооборудование прочее 8414700 Передачи гидродинамические (гидромуфты и гидротрансформаторы) 8415000 Пневмоприводы и пневмоавтоматика, смазочное оборудование и фильтрующие устройства 8415200 Оборудование смазочное Предметный указатель Содержание |
| Разработан: | Сибирский центр ценообразования в строительстве, промышленности и энергетике |
| Утверждён: | 13.10.2011 Правительство Ямало-Ненецкого автономного округа (755-п) |
| Нормативные ссылки: |
|





























































































































































































