Скачать ТССЦ Ямало-Ненецкий автономный округ 04-2001 Часть 4. Бетонные, железобетонные и керамические изделия. Нерудные материалы. Товарные бетоны и растворыДата актуализации: 01.01.2021
|
| Обозначение: | ТССЦ Ямало-Ненецкий автономный округ 04-2001 |
| Обозначение англ: | 04-2001 |
| Статус: | действует |
| Название рус.: | Часть 4. Бетонные, железобетонные и керамические изделия. Нерудные материалы. Товарные бетоны и растворы |
| Дата добавления в базу: | 01.10.2014 |
| Дата актуализации: | 01.01.2021 |
| Область применения: | Территориальные сметные цены на материалы, изделия и конструкции, применяемые в строительстве (ТССЦ) предназначен для определения сметной стоимости строительно-монтажных (ремонтно-строительных) работ, а также при разработке Территориальных расценок на строительные монтажные и ремонтно-строительные работы |
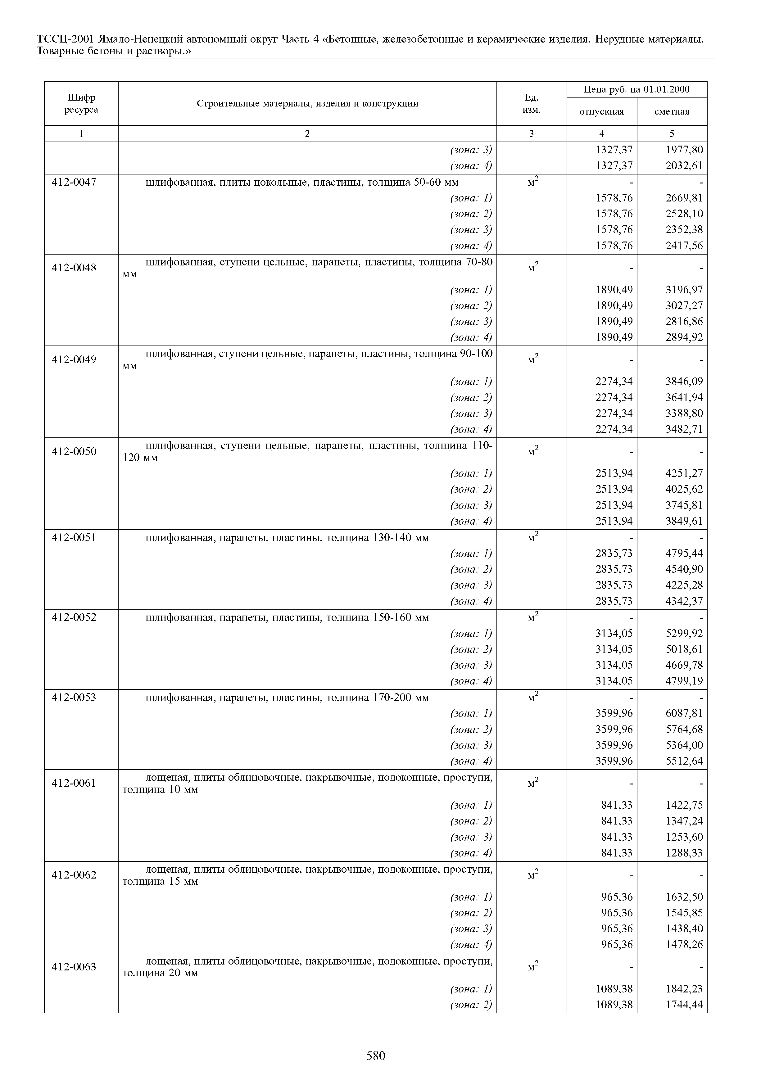
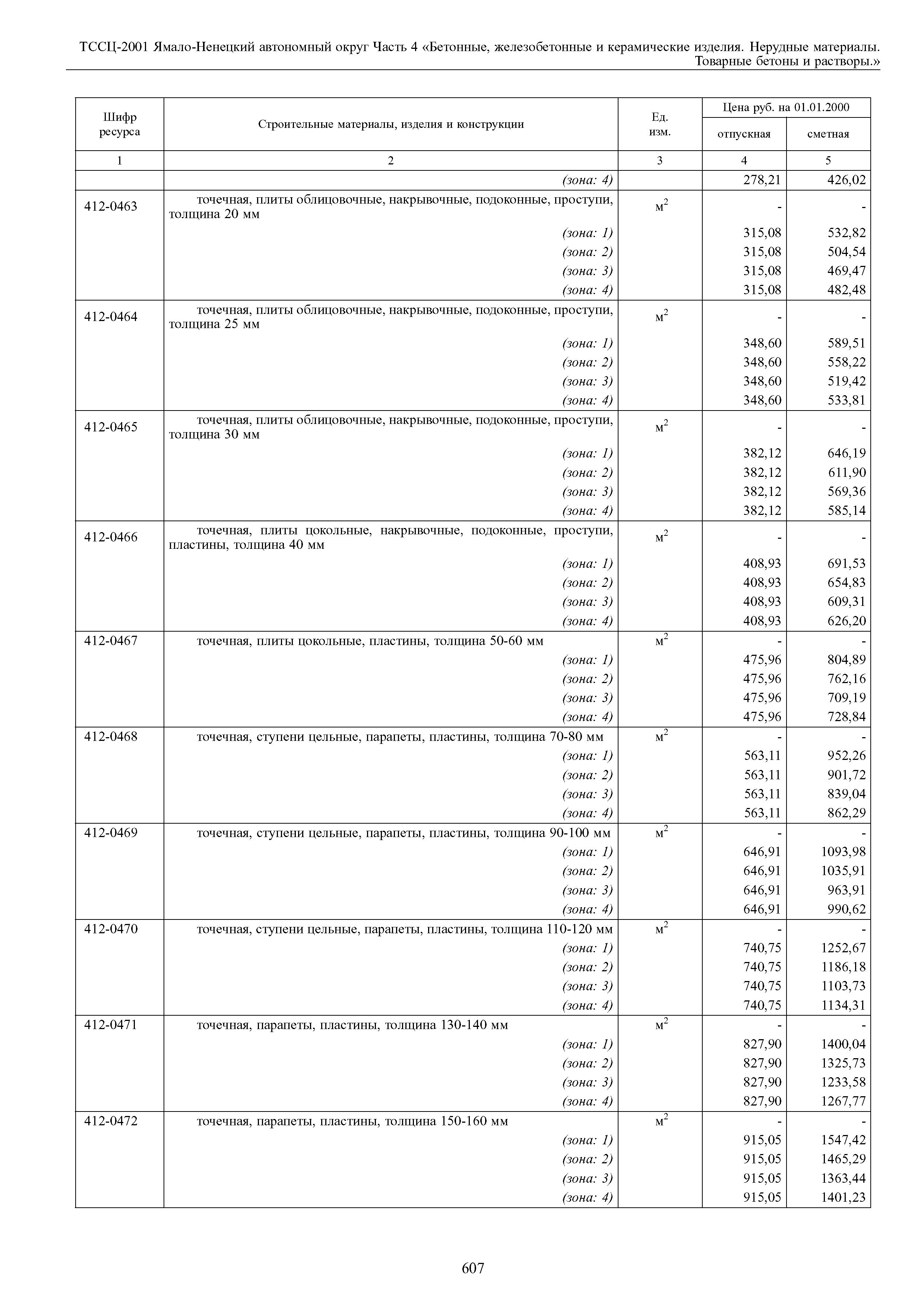
| Оглавление: | Раздел: 4.01. Бетоны Подраздел: Бетоны готовые к употреблению Подраздел: Сухие бетонные смеси Раздел: 4.02. Растворы строительные Подраздел: Растворы готовые к употреблению Подраздел: Сухие растворные смеси Раздел: 4.03. Бетонные и железобетонные изделия Подраздел: Бетонные изделия Подраздел: Железобетонные изделия Раздел: 4.04. Кирпич, камни, черепица Подраздел: Кирпич Подраздел: Камни, черепица Раздел: 4.05. Известь и гипсовые вяжущие Раздел: 4.06. Заполнители керамзитовые, шунгизитовые, аглопоритовые и другие Раздел: 4.07. Земля, глина, торф, грунт, грунтовые смеси Раздел: 4.08. Щебень, гравий, песок и смеси из природных материалов Подраздел: Щебень, гравий Подраздел: Песок Подраздел: Смеси Подраздел: Материалы из отсевов дробления изверженных и осадочных горных пород Раздел: 4.09. Щебень, песок, шлак и смеси из металлургических шлаков Раздел: 4.10. Продукция асфальтобетонная и асфальтобитумная Подраздел: Материалы Подраздел: Смеси асфальтобетонные дорожные, аэродромные и асфальтобетон Подраздел: Асфальт литой Раздел: 4.11. Вода, пар, сжатый воздух, электроэнергия Раздел: 4.12. Изделия облицовочные из природного камня Подраздел: Изделия архитектурно-строительные Подраздел: Плиты декоративные на основе природного камня Раздел: 4.13. Камни бортовые, мостовые и стеновые из природного камня Раздел: 4.14. Материалы для озеленения Раздел: 4.15. Гипсовые и цементные изделия |
| Разработан: | Сибирский центр ценообразования в строительстве, промышленности и энергетике |
| Утверждён: | 13.10.2011 Правительство Ямало-Ненецкого автономного округа (755-п) |
| Принят: | 30.05.2011 Министерство регионального развития Российской Федерации (13996-КК/08) |





























































































































































































































































































































































































































































































































































































































































































































































































































































































