Скачать ГОСТ Р ИСО 13584-511-2010 Системы промышленной автоматизации и интеграция. Библиотека деталей. Часть 511. Механические системы и компоненты общего пользования. Словарь ссылок. Крепежные деталиДата актуализации: 01.01.2021
|
| Обозначение: | ГОСТ Р ИСО 13584-511-2010 |
| Обозначение англ: | GOST R ISO 13584-511-2010 |
| Статус: | введен впервые |
| Название рус.: | Системы промышленной автоматизации и интеграция. Библиотека деталей. Часть 511. Механические системы и компоненты общего пользования. Словарь ссылок. Крепежные детали |
| Название англ.: | Industrial automation systems and integration. Parts library. Part 511. Mechanical systems and components for general use. Reference dictionary/. Fasteners |
| Дата добавления в базу: | 01.02.2017 |
| Дата актуализации: | 01.01.2021 |
| Дата введения: | 01.09.2011 |
| Область применения: | Стандарт устанавливает словарь ссылок на механические крепежные детали, требования к которым определены в стандартах комплекса ИСО 13584. Словарь ссылок определяет свойства деталей и области значений этих свойств. |
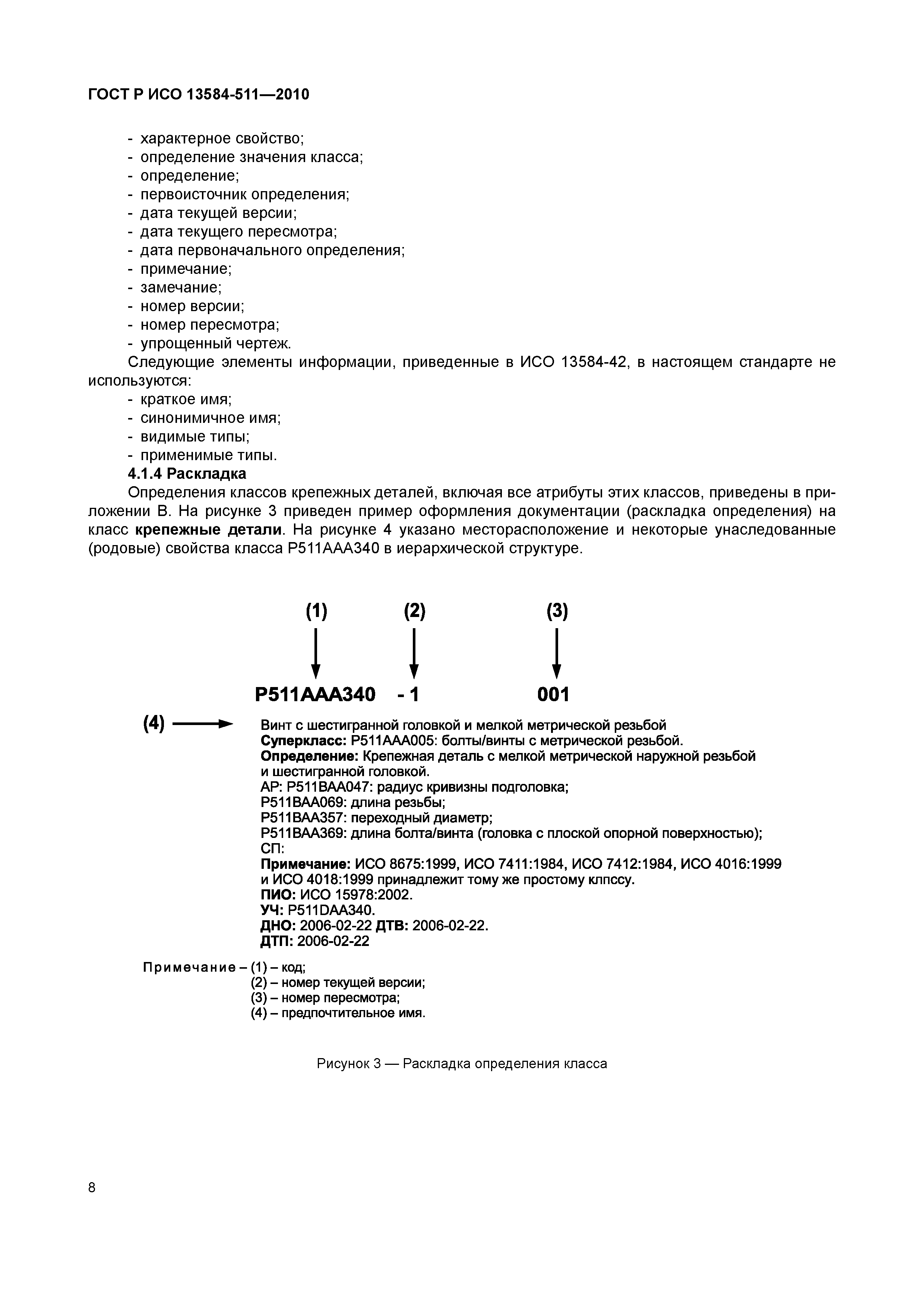
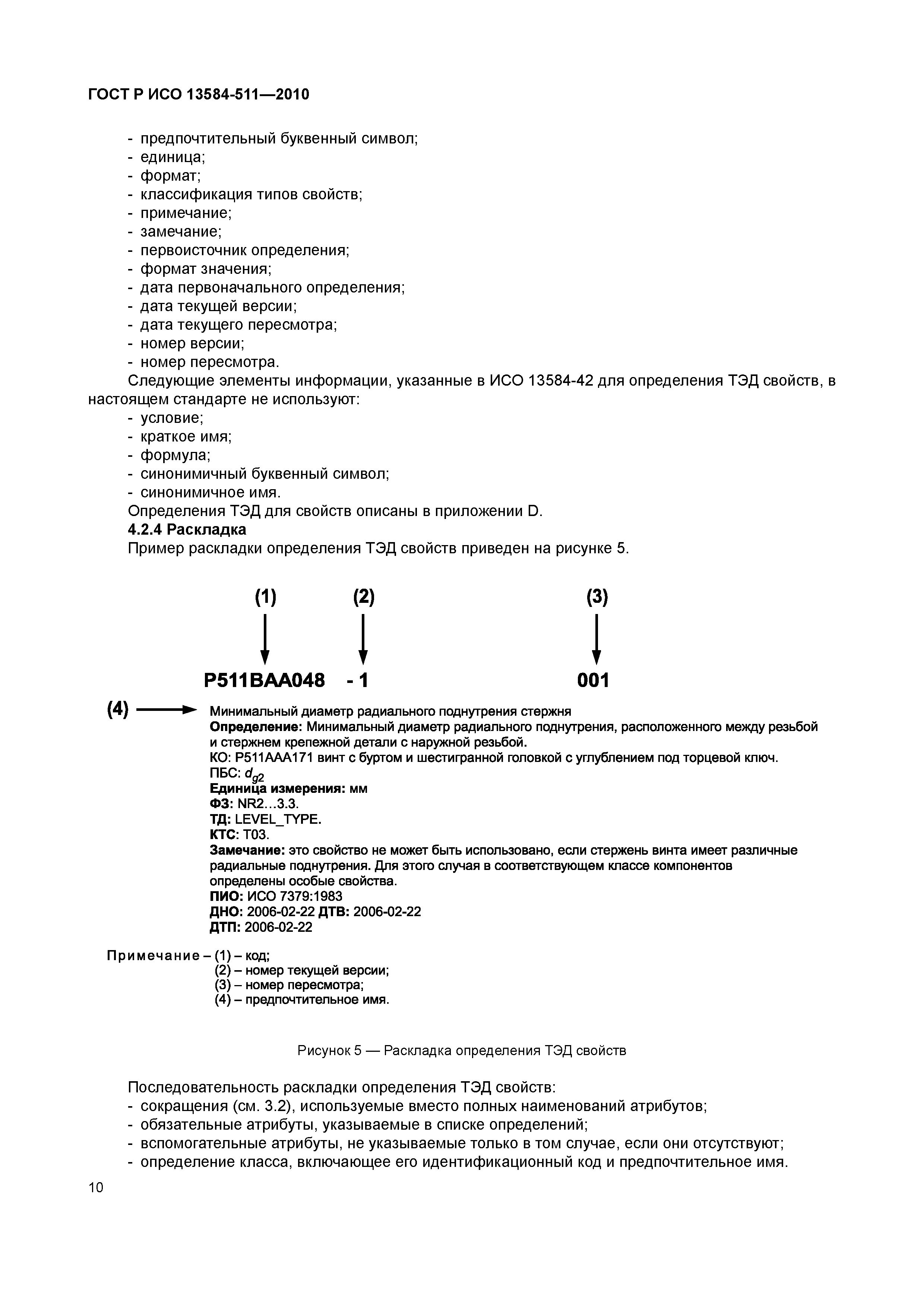
| Оглавление: | 1 Область применения 2 Нормативные ссылки 3 Термины, определения и сокращения 4 Представление онтологических понятий в виде словарных статей 4.1 Класс крепежные детали 4.2 Определения типов элементов данных свойств 4.3 Определения типов данных 4.4 Правила формулирования определений классов и свойств 5 Принципы классификации 5.1 Связь с существующими классификациями 5.2 Верхний уровень иерархии 5.3 Нижний уровень иерархии 5.4 Стиль кодирования 5.5 Общие и классификационные свойства 6 Описание для компьютерной (программной) обработки 6.1 Внешний файл 6.2 Информационные модели и классы соответствия Приложение А (обязательное) Регистрация информационного объекта Приложение В (обязательное) Классификационные таблицы Приложение С (обязательное) Определения классов крепежных деталей Приложение D (обязательное) Определения ТЭД для свойств крепежных деталей Приложение Е (обязательное) Механизм классификации Приложение F (обязательное) Компьютерное представление словаря крепежных деталей Приложение G (справочное) Упрощенные чертежи классов признаков, классов компонентов и их свойства Приложение ДА (справочное) Сведения о соответствии ссылочных международных стандартов ссылочным национальным стандартам Российской Федерации Библиография |
| Разработан: | НТЦ ИНТЕК |
| Утверждён: | 21.12.2010 Федеральное агентство по техническому регулированию и метрологии (870-ст) |
| Издан: | Стандартинформ (2016 г. ) |
| Нормативные ссылки: |
|





















































































































































































