Скачать ГОСТ Р 55345-2012 Системы промышленной автоматизации и интеграция. Интеграция промышленных данных для их обмена, обеспечения доступа и коллективного использования. Часть 2. Интеграция и методология отображенияДата актуализации: 01.01.2021
|
| Обозначение: | ГОСТ Р 55345-2012 |
| Обозначение англ: | GOST R 55345-2012 |
| Статус: | введен впервые |
| Название рус.: | Системы промышленной автоматизации и интеграция. Интеграция промышленных данных для их обмена, обеспечения доступа и коллективного использования. Часть 2. Интеграция и методология отображения |
| Название англ.: | Industrial automation systems and integration. Integration of industrial data for exchange, access and sharing. Part 2. Integration and mapping methodology |
| Дата добавления в базу: | 01.10.2014 |
| Дата актуализации: | 01.01.2021 |
| Дата введения: | 01.01.2014 |
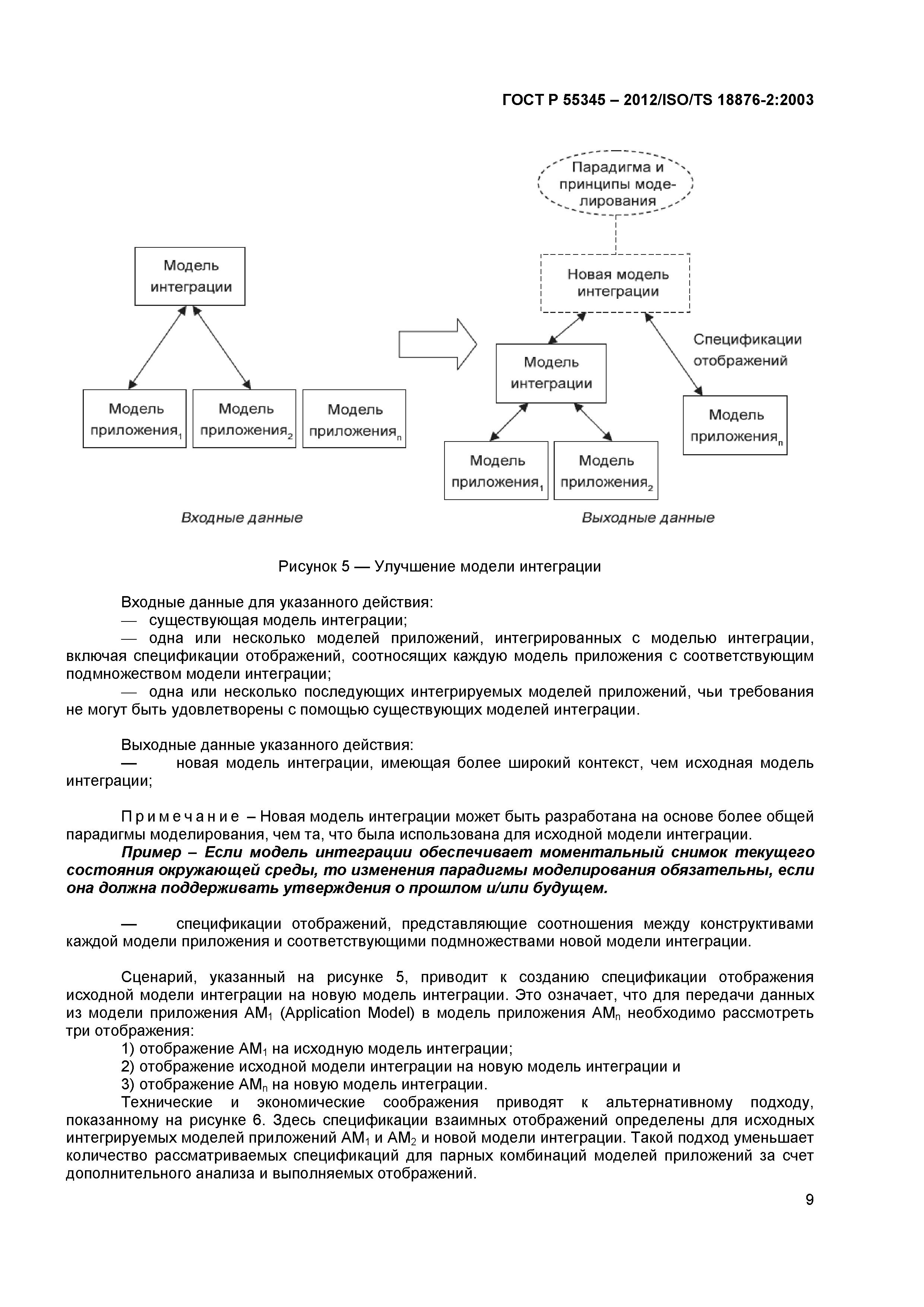
| Область применения: | Стандарт определяет архитектуру, методологию и другие спецификации для интеграции промышленных данных с целью их обмена, организации доступа и коллективного использования. Настоящий стандарт распространяется на: - интеграцию данных, которые могут быть: - взяты из различных источников для различного контекста модели, - описаны различными моделями; - определены на различных языках моделирования; - коллективное использование данных различными приложениями с помощью архитектуры системы интеграции; - разрешение конфликтов между моделями, разработанными с различными целями; - транслирование данных из одной системы кодирования в другую; транслирование модели с одного языка моделирования на другой. |
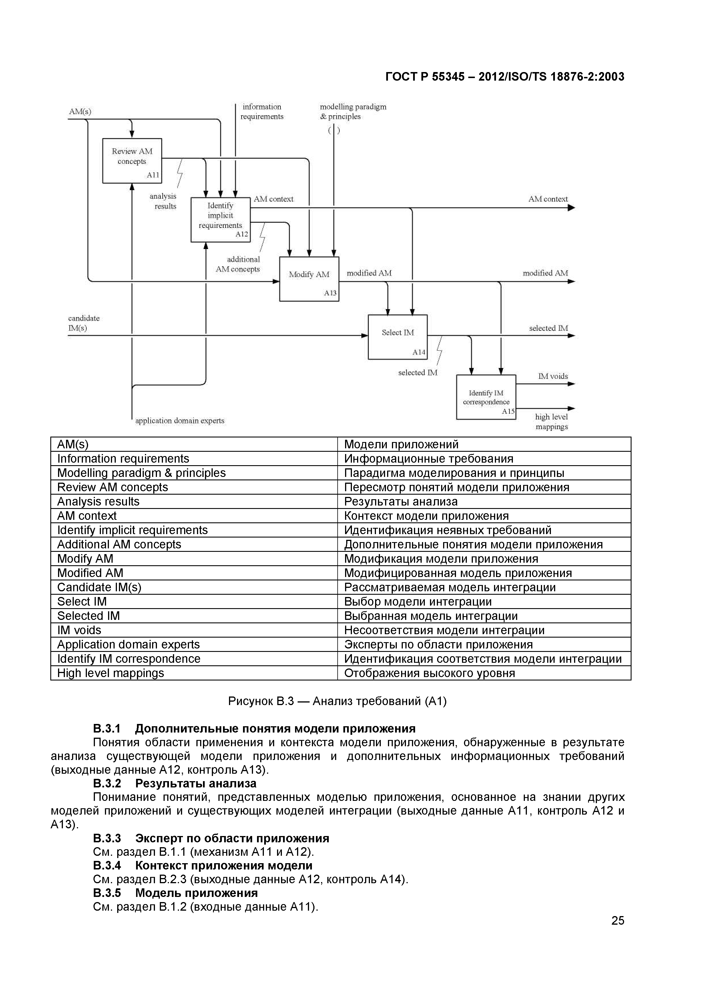
| Оглавление: | 1 Область применения 2 Нормативные ссылки 3 Термины, определения и аббревиатуры 4 Сценарии использования 5 Методы интеграции моделей приложений Приложение А (обязательное) Регистрация информационного объекта Приложение В (справочное) Описание процесса интеграции Приложение С (справочное) Перечень опций процесса интеграции и отображения Приложение D (справочное) Технические замечания Приложение ДА (справочное) Сведения о соответствии ссылочных международных стандартов ссылочным национальным стандартам Российской Федерации Библиография |
| Разработан: | АНО Международная академия менеджмента и качества бизнеса |
| Утверждён: | 29.11.2012 Росстандарт (1706-ст) |
| Издан: | Стандартинформ (2014 г. ) |
| Нормативные ссылки: |
|











































