Скачать ГОСТ Р 55347-2012 Системы управления проектированием. Руководство по менеджменту инновацийДата актуализации: 01.01.2021
|
| Обозначение: | ГОСТ Р 55347-2012 |
| Обозначение англ: | GOST R 55347-2012 |
| Статус: | введен впервые |
| Название рус.: | Системы управления проектированием. Руководство по менеджменту инноваций |
| Название англ.: | Design management systems. Guide to managing innovation |
| Дата добавления в базу: | 21.05.2015 |
| Дата актуализации: | 01.01.2021 |
| Дата введения: | 01.01.2014 |
| Область применения: | Стандарт устанавливает рекомендации по управлению инновациями, особенно - этапами проектирования и разработки инновационной и конкурентоспособной продукции, отвечающей потребностям потребителей и стремлениям к долгосрочной перспективе, что позволяет расширить горизонт планирования по крайней мере на два поколения вперед по отношению к находящейся в разработке продукции. Рекомендации включают описание существующего опыта и преимущества инноваций, а также применение общих принципов и методов управления инновациями, исходя из разработки концепций, создания, изготовления, поставки и поддержки продукции на рынке, прав на ее изъятие, конечную утилизацию, вторичное использование и разработку последующих поколений продукции. Стандарт применим ко всем типам предприятий (в том числе к малым и средним) в различных промышленных секторах, строительстве, сфере услуг, а также в общественных и некоммерческих секторах. |
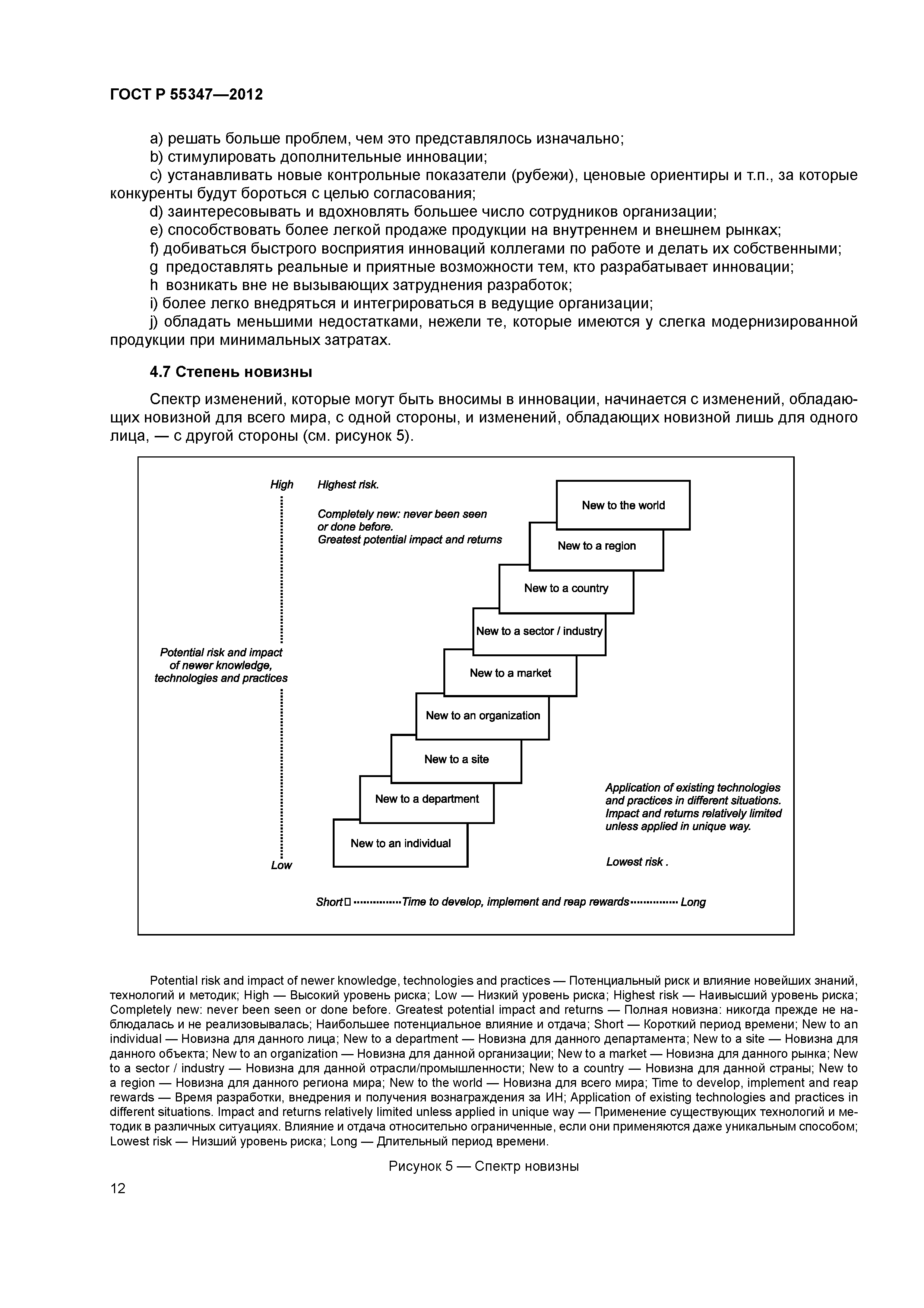
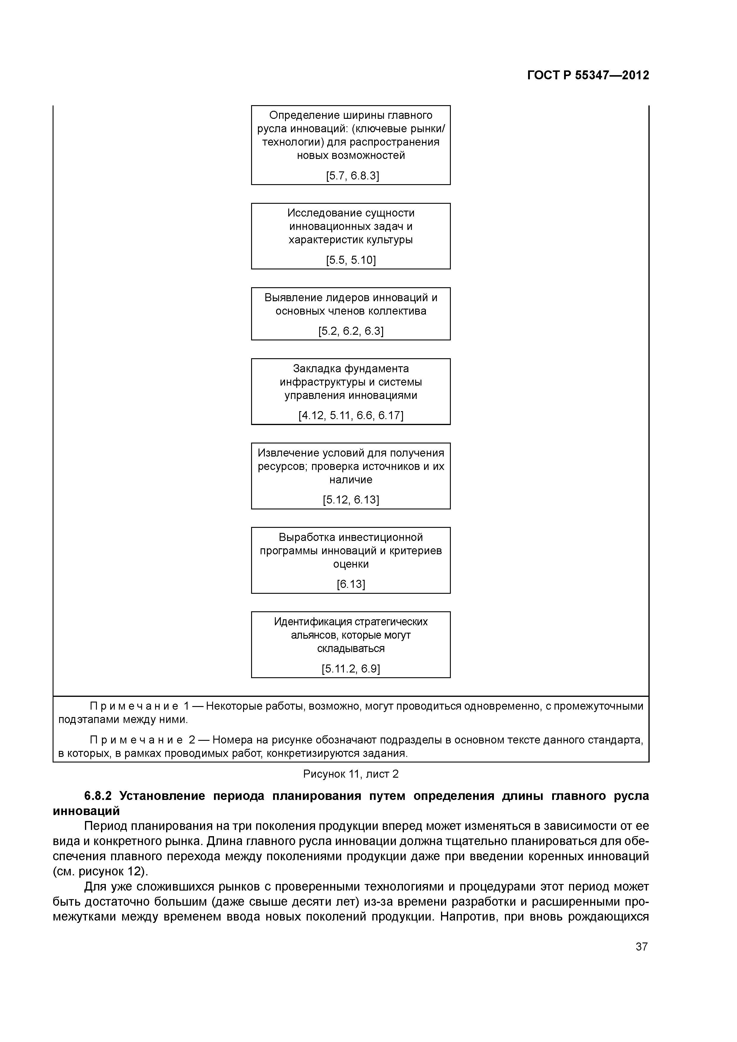
| Оглавление: | 1 Область применения 2 Нормативные ссылки 3 Термины и определения 4 Инновация, новизна и обзор основ менеджмента инноваций 4.1 Блок-схема полной структуры менеджмента инноваций 4.2 Планирование за пределами видимого горизонта 4.3 Координация краткосрочных и долгосрочных работ 4.4 Природа инновации 4.5 Причины инноваций 4.6 Высокопродуктивная инновация 4.7 Степень новизны 4.8 Источники новизны 4.9 Производственно-сбытовая цепочка 4.10 Порядок внесения изменений стечением времени 4.11 Менеджмент инноваций и их изменений 4.12 Основы эффективного менеджмента инноваций 5 Менеджмент инноваций на организационном уровне 5.1 Общие положения 5.2 Распределение обязанностей при инновациях 5.3 Этап 1. Анализ существующих методик инноваций для определения потенциала совершенствования 5.4 Этап 2. Формирование перспективного видения 5.5 Этап 3. Формулировка задач, связанных с инновациями 5.6 Этап 4. Выделение задач и стратегий инноваций из общих задач и стратегий организации 5.7 Этап 5. Определение главного русла инновации 5.8 Этап 6. План введения нового подхода к инновациям 5.9 Этап 7. Информирование о сущности целей, задач и стратегий инновации 5.10 Этап 8. Воспитание и совершенствование культуры инноваций 5.11 Этап 9. Укрепление инфраструктуры и повышение квалификации при менеджменте инноваций 5.12 Этап 10. Составление основной программы инноваций 5.13 Этап 11. Внедрение программы и поддержка нового подхода к инновациям 5.14 Этап 12. Оценка выполнения основной программы инноваций и вклада в нее 5.15 Этап 13. Формирование отличительных особенностей продукции и конкурентных преимуществ посредством инноваций 5.16 Этап 14. документирование, распределение, обнародование и оценка достижений, получаемых в результате инновации 5.17 Этап 15. Повышение репутации организации благодаря инновациям 5.18 Этап 16. Анализ и корректировка общего подхода к инновациям 6 Работа базовой структуры управления инновациями: дополнительный подробный анализ 6.1 Общие положения 6.2 Идентификация лидеров инноваций 6.3 Выбор основного инновационного коллектива 6.4 Стремление к перспективному будущему 6.5 Гарантии занятости 6.6 Проекты управления инновациями с жесткой проверкой этапов и пунктов 6.7 Область проверки существующих инновационных методик 6.8 Проверки на высоком уровне и сеансы поиска творческих идей для инноваций/Анализ возможностей инноваций 6.9 Формирование инновационных альянсов 6.10 Сеансы группового поиска инновационных идей и проверка проектов 6.11 Экологические аспекты процесса инновационного менеджмента 6.12 Юридические аспекты процесса инновационного менеджмента 6.13 Источники долгосрочного финансирования: инвестиции в инновации 6.14 Применение ускоренных методов 6.15 "Поглощение" продукции 6.16 План изъятия и смены продукции 6.17 Оценка процессов и инфраструктуры 6.18 Темпы оперативных и гибких изменений (при необходимости) направления инноваций 7 Методы и средства инновационного менеджмента 7.1 Регистрация и архивирование идей 7.2 Ретроспективный анализ 7.3 Сеансы группового поиска инновационных идей 7.4 Циклы получения потребителем опыта применения продукции 7.5 Этнографические исследования 7.6 Всестороннее проектирование 7.7 Интеллектуальная собственность 7.8 Менеджмент знаний 7.9 Оперативное макетирование 7.10 Оценка рисков 7.11 Планирование сценариев 7.12 Интернет, Интранет, Экстранет и вики-сайты 7.13 Ориентированное на пользователя проектирование 7.14 Визуальное представление идей Приложение А (справочное) Вопросники для оценки инновационной деятельности |
| Разработан: | АНО Международная академия менеджмента и качества бизнеса |
| Утверждён: | 29.11.2012 Федеральное агентство по техническому регулированию и метрологии (1713-ст) |
| Издан: | Стандартинформ (2014 г. ) |
| Нормативные ссылки: |




































































