Скачать Типовой проект 901-4-62.83 Альбом III. Конструкции железобетонныеДата актуализации: 01.01.2021
|
| Обозначение: | Типовой проект 901-4-62.83 |
| Обозначение англ: | 901-4-62.83 |
| Статус: | действует |
| Название рус.: | Альбом III. Конструкции железобетонные |
| Дата добавления в базу: | 01.10.2014 |
| Дата актуализации: | 01.01.2021 |
| Дата введения: | 23.06.1983 |
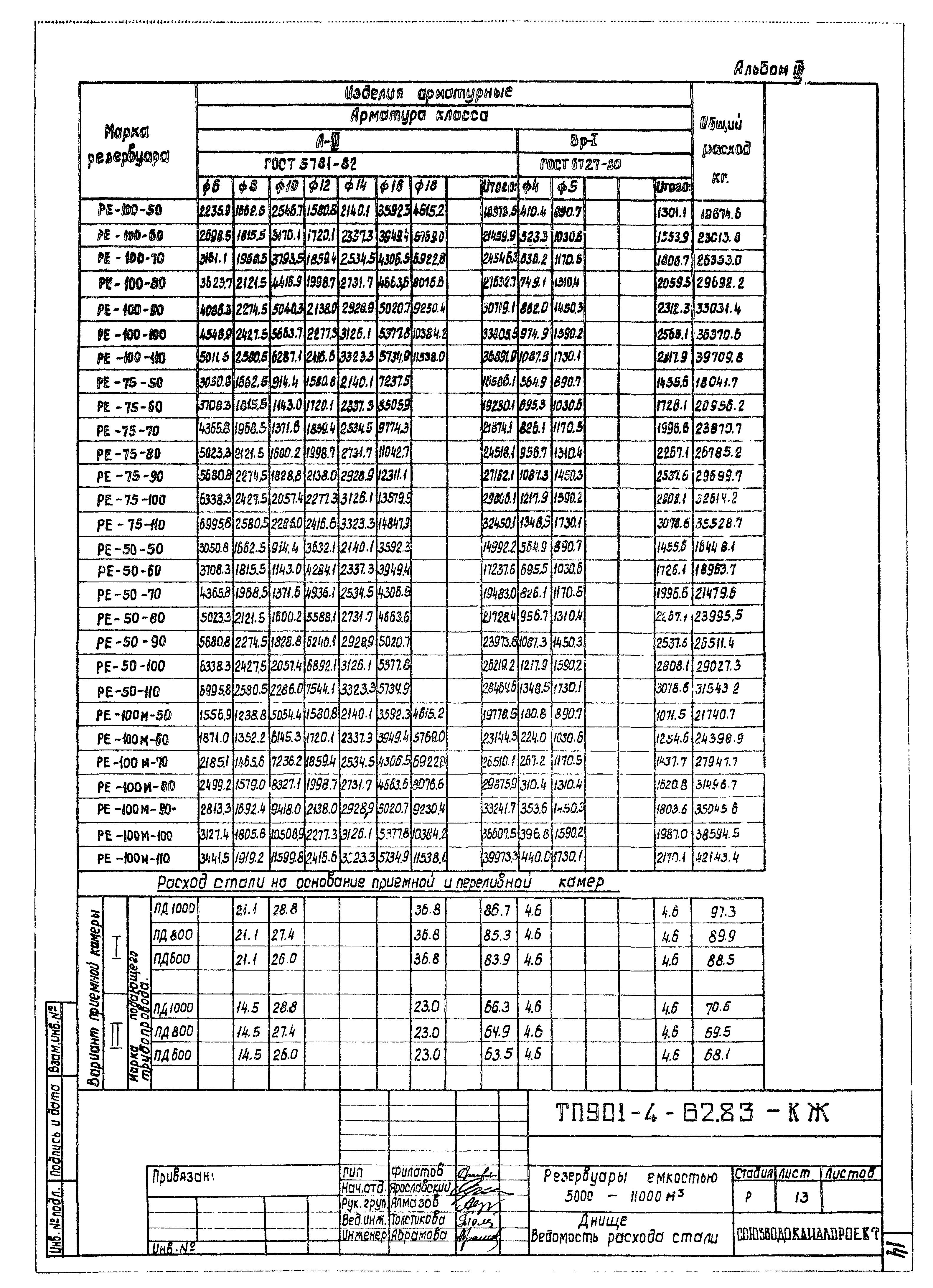
| Оглавление: | Чертежи основного комплекта марки КЖ Общие данные План. Разрезы Спецификация к схемам расположения элементов сборных конструкций резервуара РЕ-100, 75, 50 Спецификация к схемам расположения элементов сборных конструкций резервуара РЕ-100м Схемы расположения элементов сборных конструкций Схема установки перегородочных панелей Камера переливания Камера приемная Днище. Спецификация элементов Днище. Ведомость расхода стали Днище. Опалубочный чертеж Днище. Основание под приемную камеру Днище. План раскладки нижних, верхних сеток и каркасов фиксаторов Днище. Фрагмент раскладки верхних сеток. План раскладки каркасов КП и КР Днище. Разрезы |
| Разработан: | ЦНИИпромзданий НИИЖБ ГПИ Союзводоканалпроект |
| Утверждён: | 17.11.1978 Госстрой СССР (2/3-409) |
| Заменяет собой: |
|




















