Скачать ГОСТ Р ИСО 13937-4-2012 Материалы текстильные. Прочность ткани на раздирание. Часть 4. Определение усилия на раздирания для испытуемых образцов в форме языка (метод двойного раздирания)Дата актуализации: 01.01.2021
|
| Обозначение: | ГОСТ Р ИСО 13937-4-2012 |
| Обозначение англ: | GOST R ISO 13937-4-2012 |
| Статус: | введен впервые |
| Название рус.: | Материалы текстильные. Прочность ткани на раздирание. Часть 4. Определение усилия на раздирания для испытуемых образцов в форме языка (метод двойного раздирания) |
| Название англ.: | Textiles. Tear properties of fabrics. Part 4. Determination of tear force of tongue-shaped test specimens (double tear method) |
| Дата добавления в базу: | 21.05.2015 |
| Дата актуализации: | 01.01.2021 |
| Дата введения: | 01.01.2016 |
| Область применения: | Стандарт устанавливает требования к методу определения прочности ткани на раздирание с помощью метода двойного раздирания, известного как метод испытания образцов в форме языка. Измеряемое усилие раздирания является усилием, необходимым для продолжения заранее подготовленного раздирания. Настоящее испытание в основном предназначено для тканей. Оно может применяться к материалам, произведенным по другим технологиям, например, некоторым нетканым полотнам (с теми же упомянутыми ниже ограничениями, что и для тканых материалов). |
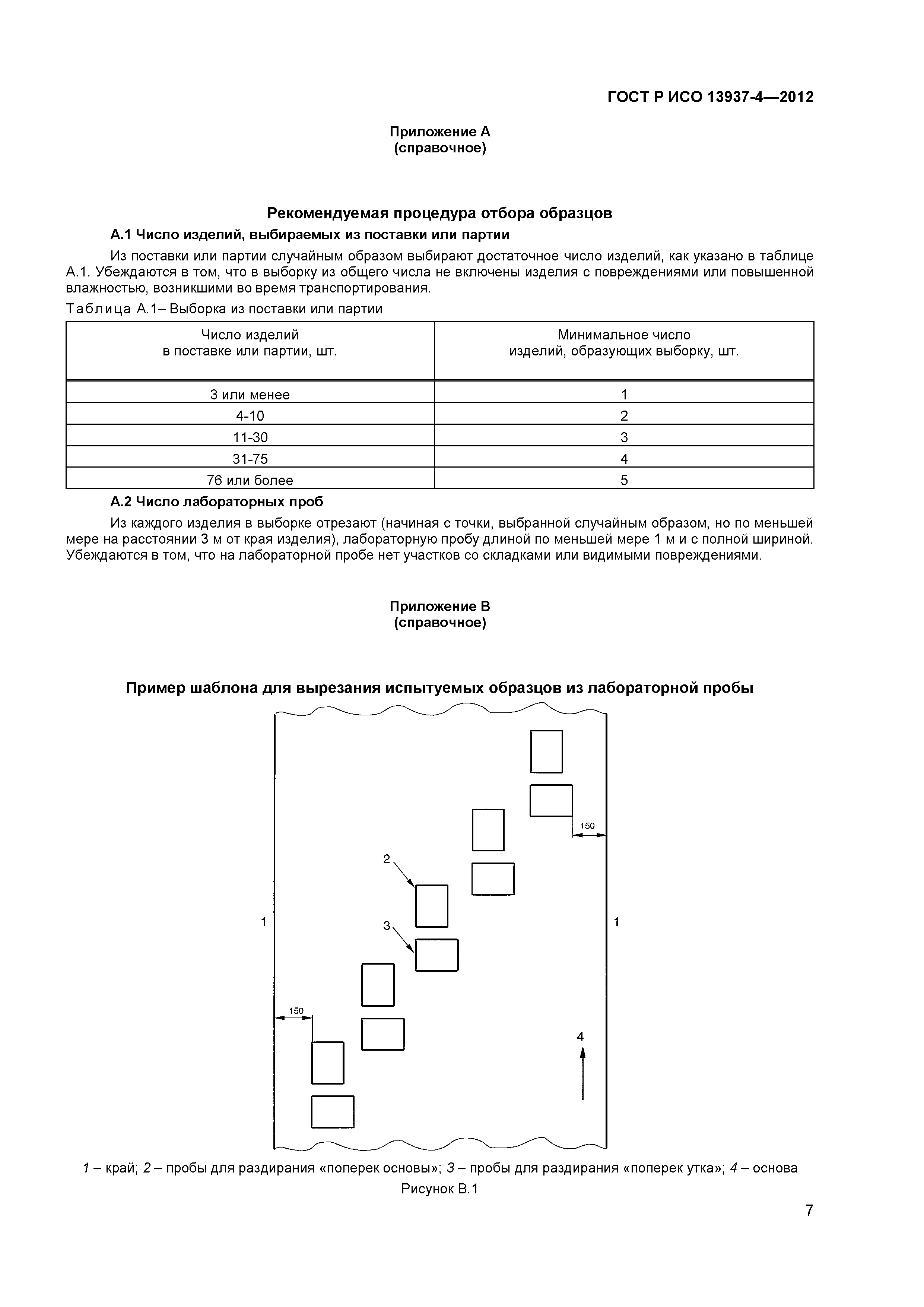
| Оглавление: | 1 Область применения 2 Нормативные ссылки 3 Термины и определения 4 Принцип проведения испытаний 5 Отбор образцов для испытаний 6 Аппаратура 7 Атмосферные условия для кондиционирования и испытаний 8 Подготовка образцов 9 Процедура испытаний 10 Вычисления и представление результатов 11 Протокол испытаний Приложение А (справочное) Рекомендуемая процедура отбора образцов Приложение В (справочное) Пример шаблона для вырезания испытуемых образцов из лабораторной пробы Приложение С (справочное) Пример вычисления усилия на раздирание Приложение ДА (справочное) Сведения о соответствии ссылочных международных стандартов национальным стандартам Российской Федерации Библиография |
| Разработан: | ОАО ВНИИС ТК 412 Текстиль |
| Утверждён: | 28.09.2012 Федеральное агентство по техническому регулированию и метрологии (459-ст) |
| Издан: | Стандартинформ (2015 г. ) |
| Нормативные ссылки: |











