Скачать ГОСТ Р ИСО 20242-4-2012 Системы промышленной автоматизации и интеграция. Служебный интерфейс для испытательных прикладных программ. Часть 4. Шаблон профиля возможностей устройствДата актуализации: 01.01.2021
|
| Обозначение: | ГОСТ Р ИСО 20242-4-2012 |
| Обозначение англ: | GOST R ISO 20242-4-2012 |
| Статус: | введен впервые |
| Название рус.: | Системы промышленной автоматизации и интеграция. Служебный интерфейс для испытательных прикладных программ. Часть 4. Шаблон профиля возможностей устройств |
| Название англ.: | Industrial automation systems and integration. Service interface for testing applications. Part 4. Device capability profile template |
| Дата добавления в базу: | 21.05.2015 |
| Дата актуализации: | 01.01.2021 |
| Дата введения: | 01.01.2014 |
| Область применения: | В стандарте определены правила форматирования, а также синтаксические и семантические правила, предназначенные для описания: - функциональных возможностей устройства и координатора (согласующего устройства) с использованием XML схем и - конфигурации устройств на языке XML. |
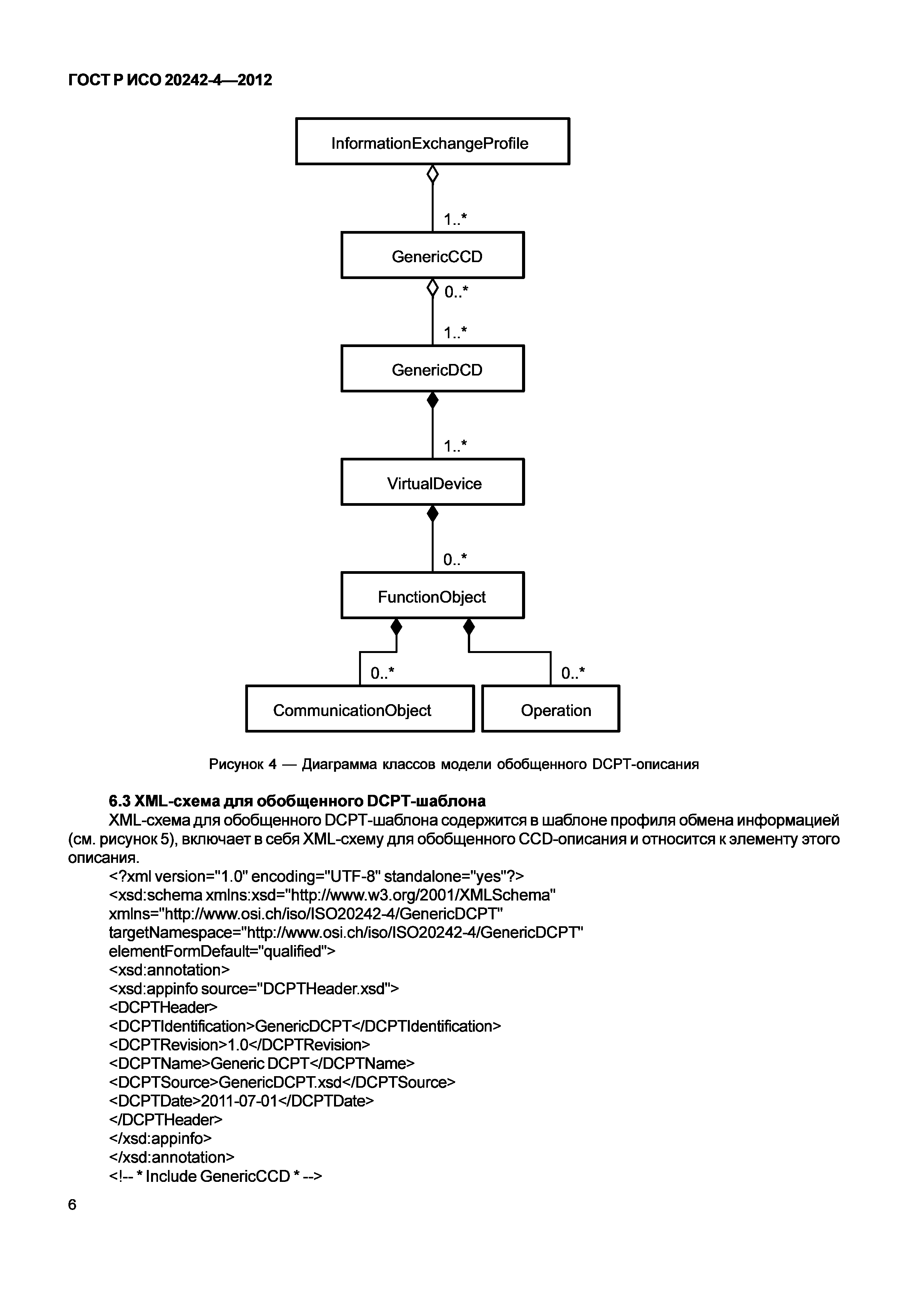
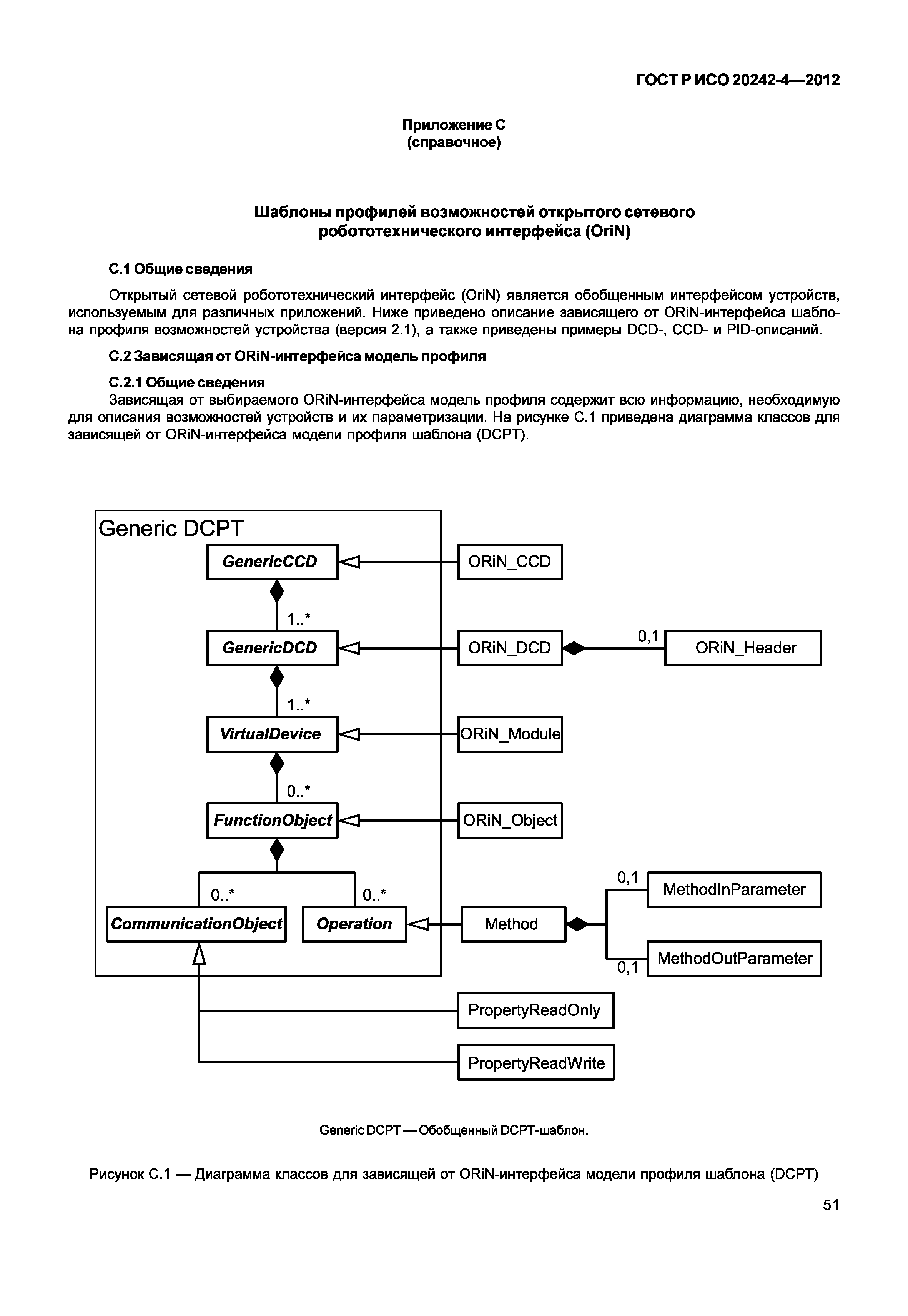
| Оглавление: | 1 Область применения 2 Нормативные ссылки 3 Термины и определения 4 Сокращения 5 Концепция профиля возможностей устройства 5.1 Общие положения 5.2 Процедура создания DCD-, CCD- и PID-описаний 6 Обобщенный шаблон профиля возможностей устройства 6.1 Общие сведения 6.2 Модель обобщенного DCPT-шаблона 6.3 XML-схема для обобщенного DCPT-шаблона 7 Общие правила применения DCPT-шаблона 7.1 Общие сведения 7.2 Заголовок DCPT-шаблона 7.3 Дополнение шаблона профиля 7.4 Закрепление текстовой информации 7.5 Создание PID-описания 8 Многоязычные текстовые элементы Приложение А (справочное) Шаблон профиля возможностей GDI-интерфейса ASAM Приложение В (справочное) Шаблоны профилей возможностей устройства для промышленного применения Приложение С (справочное) Шаблоны профилей возможностей открытого сетевого робототехнического интерфейса (OriN) Приложение ДА (справочное) Сведения о соответствии ссылочных международных стандартов ссылочным национальным стандартам Российской Федерации Библиография |
| Разработан: | АНО Международная академия менеджмента и качества бизнеса |
| Утверждён: | 29.11.2012 Федеральное агентство по техническому регулированию и метрологии (1716-ст) |
| Издан: | Стандартинформ (2014 г. ) |
| Нормативные ссылки: |
|









































































