Скачать ГОСТ Р ИСО 10572-2012 Канаты из смешанных полиолефиновых волокон. Общие технические требованияДата актуализации: 01.01.2021
|
| Обозначение: | ГОСТ Р ИСО 10572-2012 |
| Обозначение англ: | GOST R ISO 10572-2012 |
| Статус: | введен впервые |
| Название рус.: | Канаты из смешанных полиолефиновых волокон. Общие технические требования |
| Название англ.: | Ropes from mixed polyolefin fibers. General technical requirements |
| Дата добавления в базу: | 12.02.2016 |
| Дата актуализации: | 01.01.2021 |
| Дата введения: | 01.01.2016 |
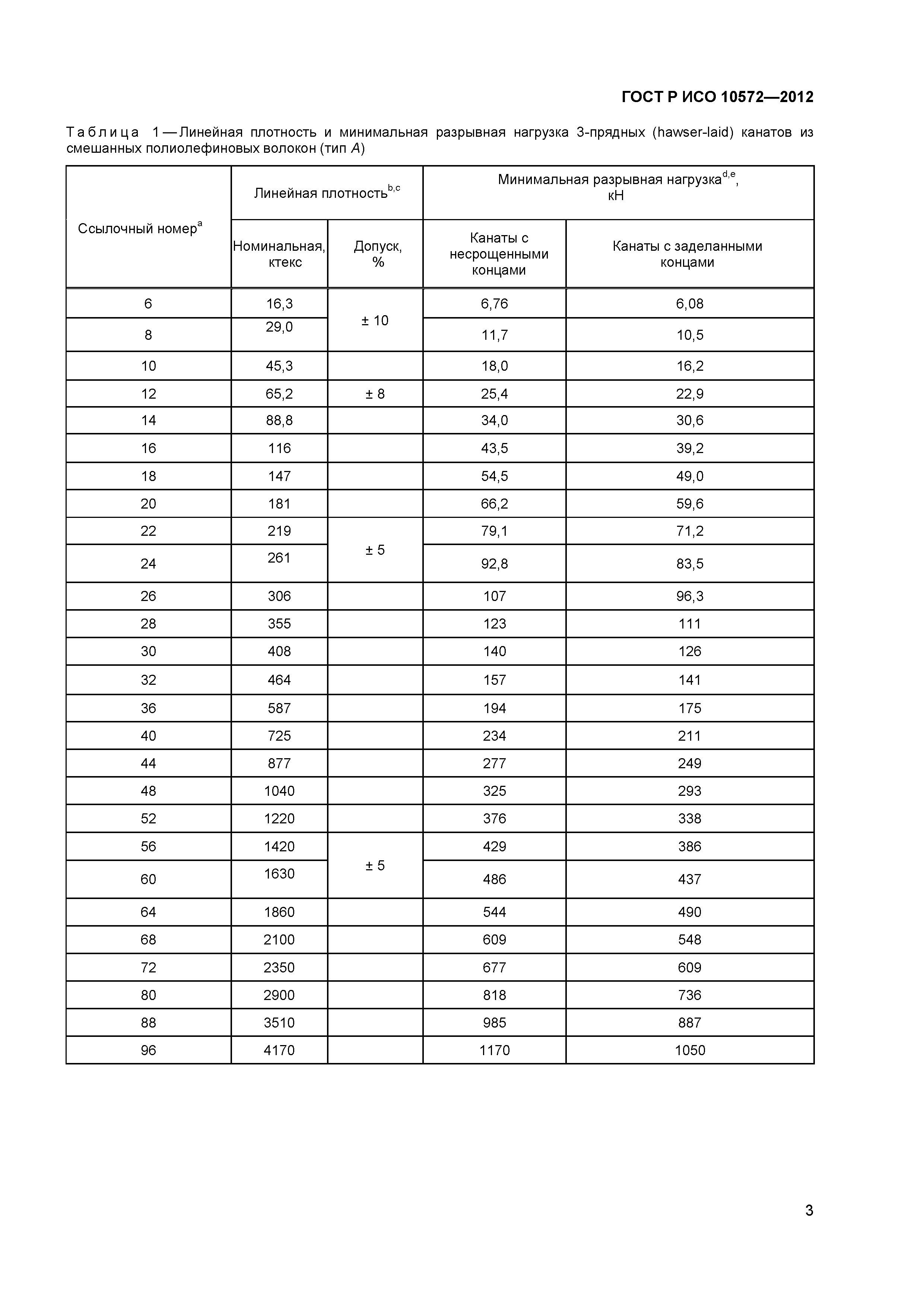
| Область применения: | Стандарт распространяется на 3-прядные (hawser-laid), 4-прядные (shroud-laid), 8-прядные плетеные и 12-прядные плетеные канаты, изготовленные из смешанных полиолефиновых волокон, и устанавливает общие технические требования к ним и правила их обозначения. |
| Оглавление: | 1 Область применения 2 Нормативные ссылки 3 Термины и определения 4 Обозначение 5 Материалы 6 Общие требования 7 Физические свойства 8 Маркировка Приложение ДА (справочное) Сведения о соответствии ссылочных международных стандартов национальным стандартам Российской Федерации |
| Разработан: | ОАО ВНИИС ТК 412 Текстиль |
| Утверждён: | 28.09.2012 Федеральное агентство по техническому регулированию и метрологии (449-ст) |
| Издан: | Стандартинформ (2015 г. ) |









