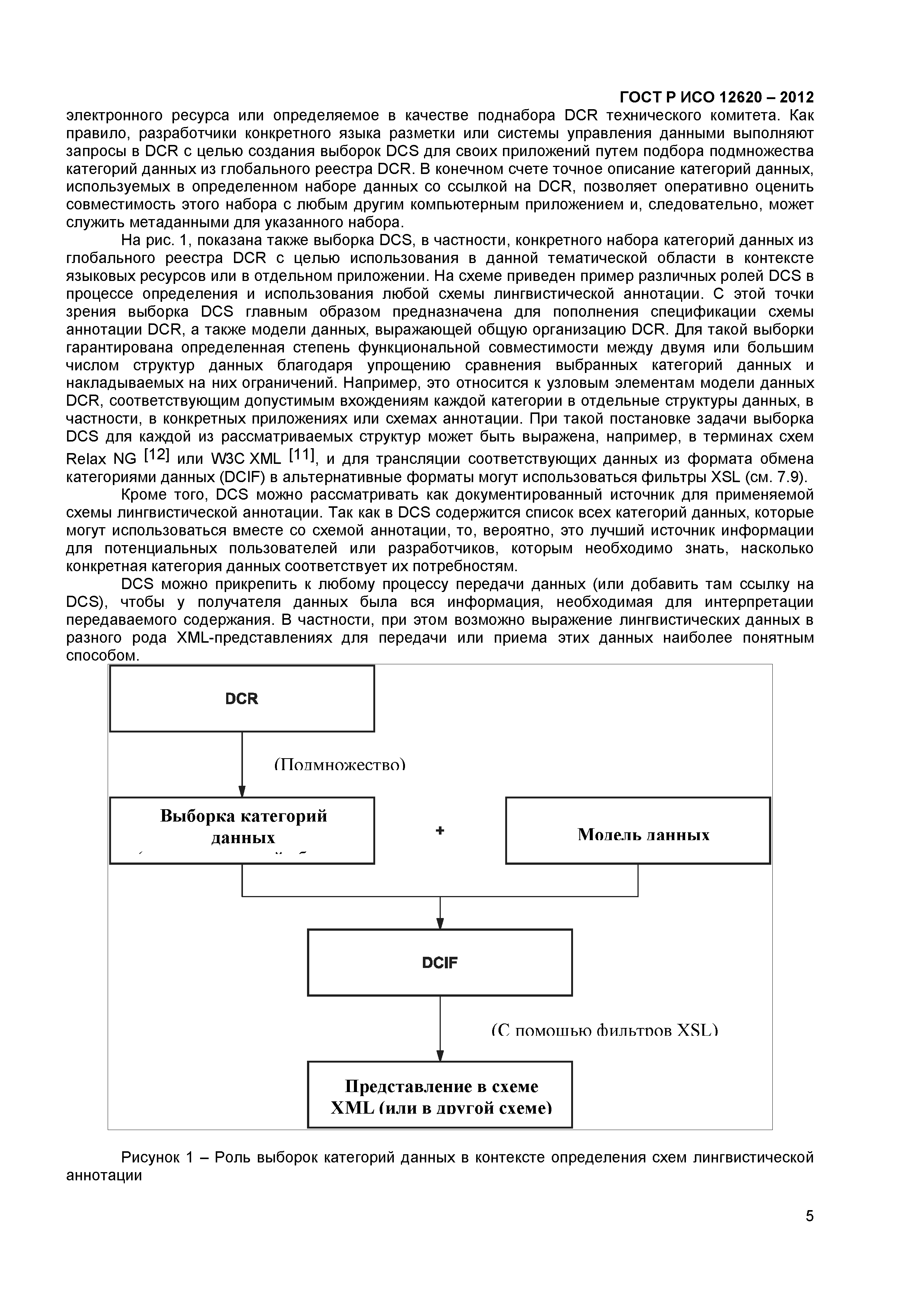
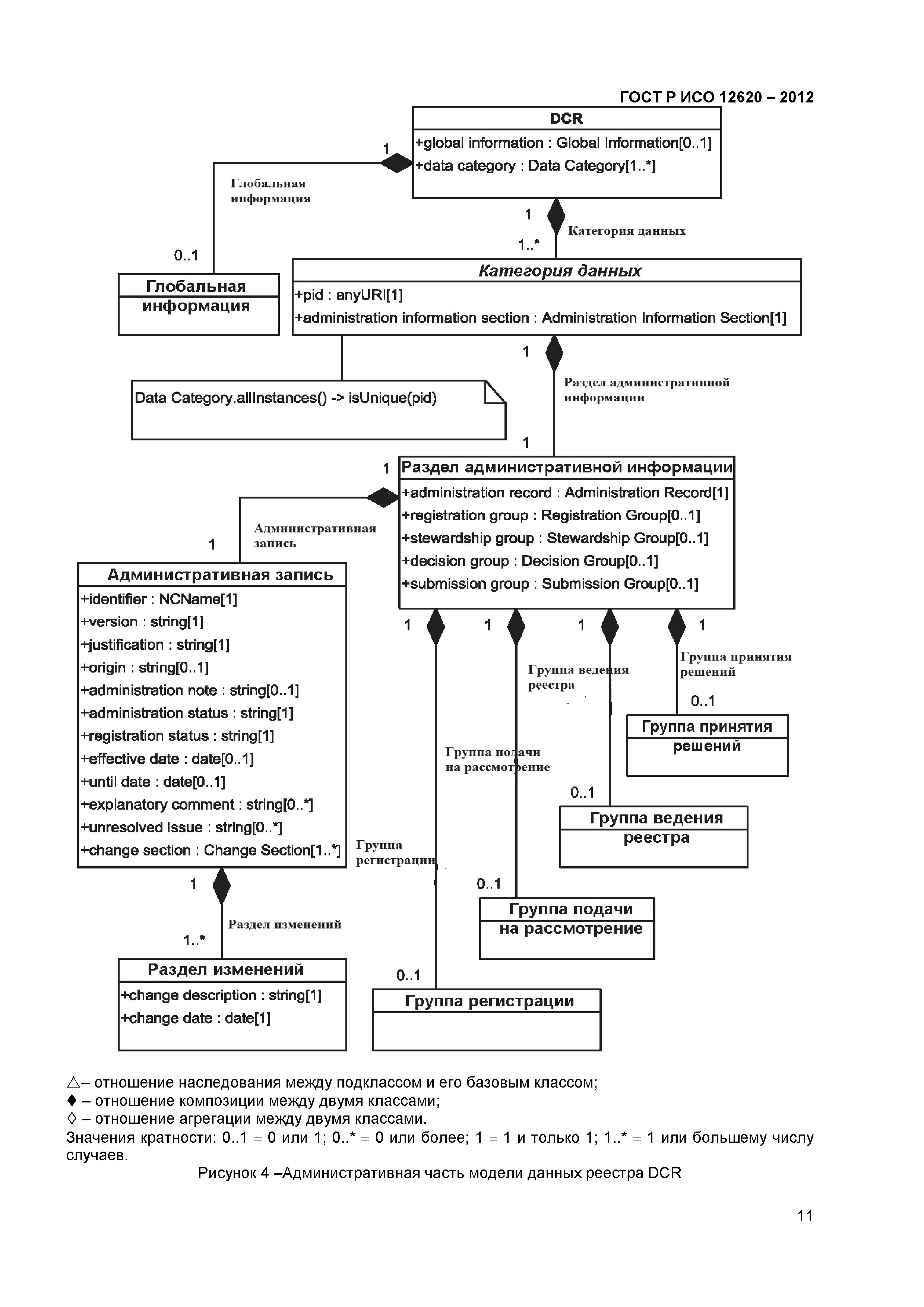
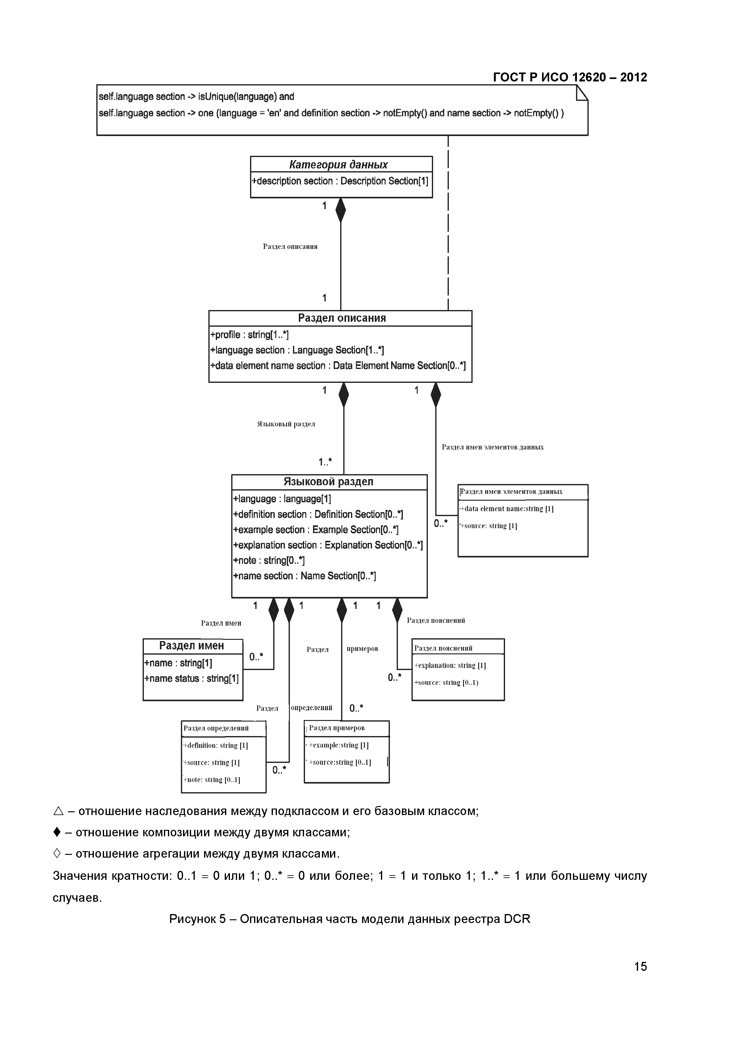
Скачать ГОСТ Р ИСО 12620-2012 Терминология, другие языковые ресурсы и ресурсы содержания. Спецификация категорий данных и ведение реестра категорий данных для языковых ресурсовДата актуализации: 01.01.2021
|
| Обозначение: | ГОСТ Р ИСО 12620-2012 |
| Обозначение англ: | GOST R ISO 12620-2012 |
| Статус: | введен впервые |
| Название рус.: | Терминология, другие языковые ресурсы и ресурсы содержания. Спецификация категорий данных и ведение реестра категорий данных для языковых ресурсов |
| Название англ.: | Terminology and other language and content resources. Specification of data categories and management of a data category registry for language resources |
| Дата добавления в базу: | 01.11.2014 |
| Дата актуализации: | 01.01.2021 |
| Дата введения: | 01.01.2014 |
| Область применения: | В стандарте приведены руководящие указания относительно ограничений реализации реестра категорий данных (DCR) для любых типов языковых ресурсов, например, терминологических, лексикографических, основанных на использовании сборников или машинного перевода и т.д. В стандарте определены механизмы создания, выбора и ведения категорий данных, а также формат обмена для представления этих категорий. |
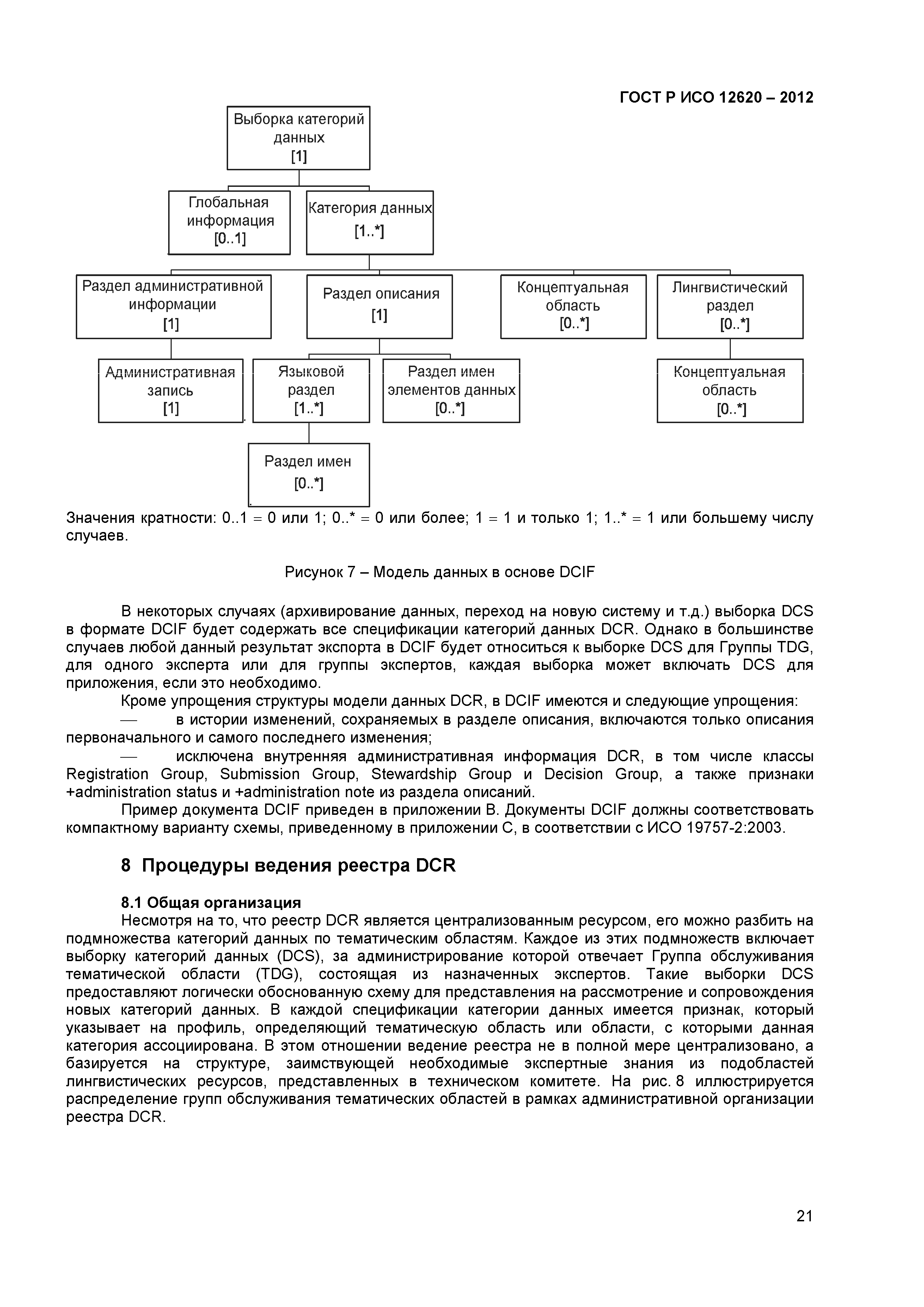
| Оглавление: | 1 Область применения 2 Нормативные ссылки 3 Термины и определения 4 Роль категорий данных в управлении языковыми ресурсами 5 Требования к реализации реестра DCR для языковых ресурсов 6 Орган регистрации реестра DCR ИСО/ТК 37 7 Представление категорий данных, используемых в языковых ресурсах 8 Процедуры ведения реестра DCR Приложение А (обязательное) Компактная схема RELAX NG для ссылок на категории данных Приложение В (справочное) Пример представления DCIF Приложение С (обязательное) Компактная схема DCIF RELAX NG Приложение D (справочное) Алфавитный список определений Приложение ДА (справочное) Сведения о соответствии ссылочных международных стандартов ссылочным национальным стандартам Российской Федерации Библиография |
| Разработан: | ЗАО Проспект |
| Утверждён: | 20.11.2012 Федеральное агентство по техническому регулированию и метрологии (970-ст) |
| Издан: | Стандартинформ (2014 г. ) |










































