Скачать ГОСТ Р 53556.8-2013 Звуковое вещание цифровое. Кодирование сигналов звукового вещания с сокращением избыточности для передачи по цифровым каналам связи. Часть III (MPEG–4 AUDIO). Параметрическое кодирование высококачественных звуковых сигналов (SSC)Дата актуализации: 01.01.2021
|
| Обозначение: | ГОСТ Р 53556.8-2013 |
| Обозначение англ: | GOST R 53556.8-2013 |
| Статус: | введен впервые |
| Название рус.: | Звуковое вещание цифровое. Кодирование сигналов звукового вещания с сокращением избыточности для передачи по цифровым каналам связи. Часть III (MPEG–4 AUDIO). Параметрическое кодирование высококачественных звуковых сигналов (SSC) |
| Название англ.: | Sound broadcasting digital. Coding of signals of sound broadcasting with reduction of redundancy for transfer on digital communication channels. A part III (MPEG–4 audio). Technical description of parametric coding for high quality audio |
| Дата добавления в базу: | 01.11.2014 |
| Дата актуализации: | 01.01.2021 |
| Дата введения: | 01.09.2014 |
| Область применения: | Стандарт описывает схему параметрического кодирования для сжатия высококачественного аудио MPEG–4 audio. Краткое наименование - SSC (SinuSoidal Coding). При скоростях передачи приблизительно 24 Кбит/с стерео и на частоте дискретизации 44,1 кГц схема кодирования SSC предлагает качество, которое необходимо для многих приложений. |
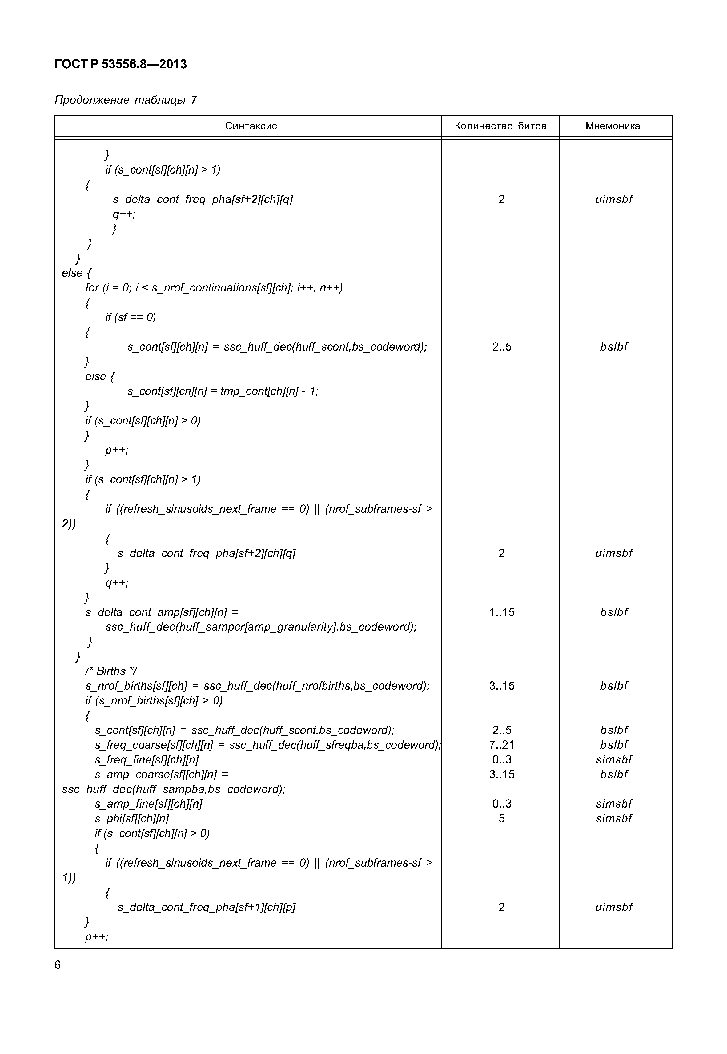
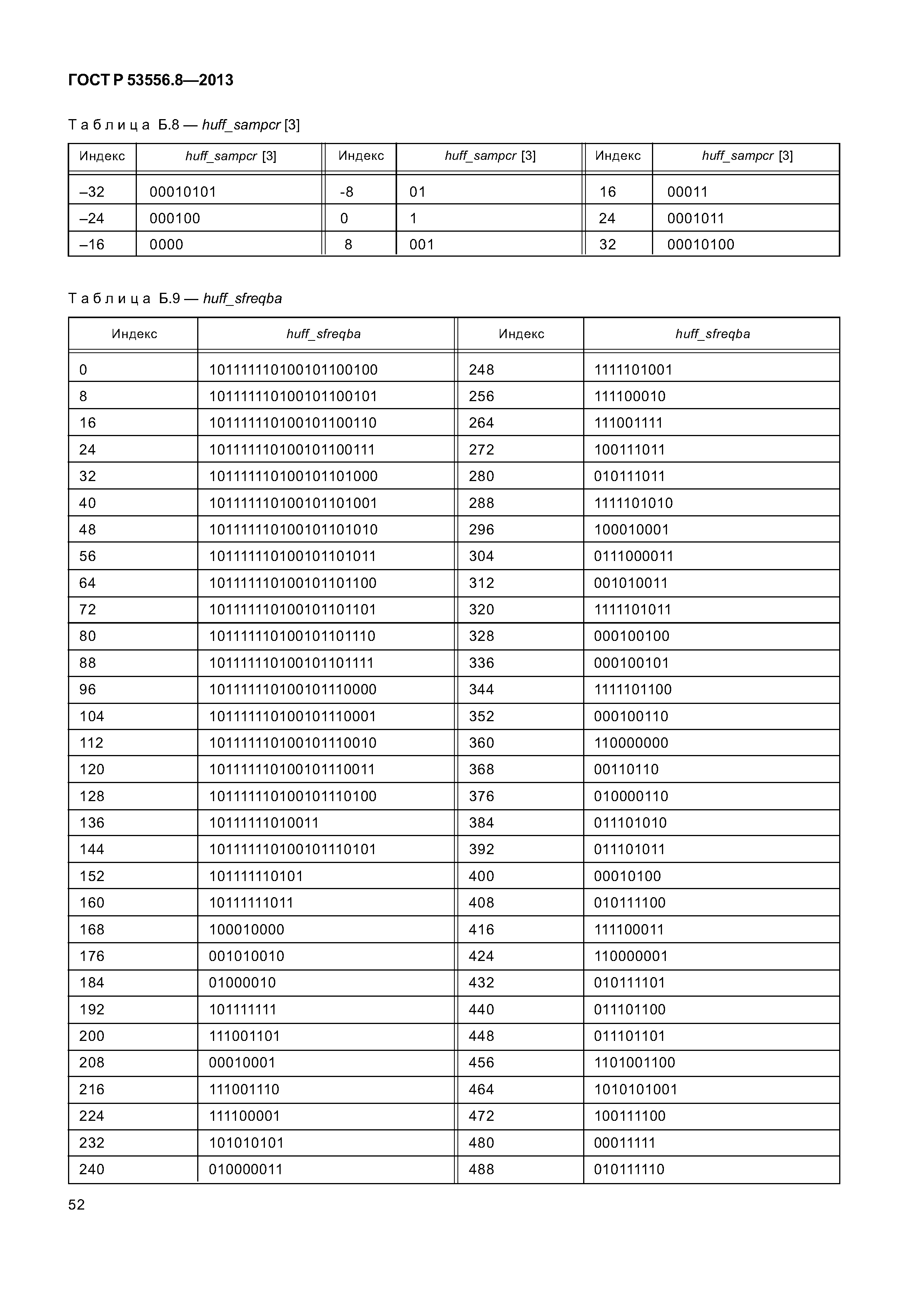
| Оглавление: | 1 Область применения 2 Термины и определения 3 Символы и сокращения 3.1 Арифметические операторы 3.2 Операторы отношения 3.3 Мнемоники 3.4 Диапазоны 3.5 Численное представление 3.6 Определения 4 Полезные нагрузки для SSC аудио объектного типа 4.1 Конфигурация декодера (SSCSpecificConfig) 4.2 Полезная нагрузка потока битов SSC 5 Семантика 5.1 SSCSpecificConfig 5.2 Декодирование полезной нагрузки потока битов SSC 5.3 Индексация подфреймов 6 Процесс декодирования 6.1 Переходные процессы 6.2 Синусоиды 6.3 Шум 6.4 Параметрическое стерео 6.5 Ситуации запуска/остановки для декодирования Приложение А (обязательное) Комбинация инструмента SBR с параметрическим инструментом стерео Приложение Б (обязательное) Нормативные таблицы Приложение В (справочное) Темп и подача, масштабируемые в декодере Библиография |
| Разработан: | ФГУП ЛО ЦНИИС |
| Утверждён: | 25.10.2013 Федеральное агентство по техническому регулированию и метрологии (1212-ст) |
| Издан: | Стандартинформ (2014 г. ) |




















































































