Скачать ГОСТ Р 55712-2013 Телевидение вещательное цифровое. Домашняя мультимедийная платформа. Класс 1.1. Основные параметрыДата актуализации: 01.01.2021
|
| Обозначение: | ГОСТ Р 55712-2013 |
| Обозначение англ: | GOST R 55712-2013 |
| Статус: | введен впервые |
| Название рус.: | Телевидение вещательное цифровое. Домашняя мультимедийная платформа. Класс 1.1. Основные параметры |
| Название англ.: | Digital broadcast television. Multimedia home platform. Classes 1.1. Basic parameters |
| Дата добавления в базу: | 21.05.2015 |
| Дата актуализации: | 01.01.2021 |
| Дата введения: | 01.09.2014 |
| Область применения: | Стандарт распространяется на аппаратно-программный комплекс - домашняя мультимедийная платформа (multimedia home platform MHP), поддерживающий совокупность стандартов цифрового телевизионного вещания (digital video broadcasting; DVB). Стандарты DVB обеспечивают широкий набор спецификаций цифровых систем вещания для различных сред передачи, включающих спутниковые, кабельные, наземные. Стандарт предназначен для разработчиков программных и аппаратных платформ и для разработчиков приложений, использующих функциональные возможности МНР. |
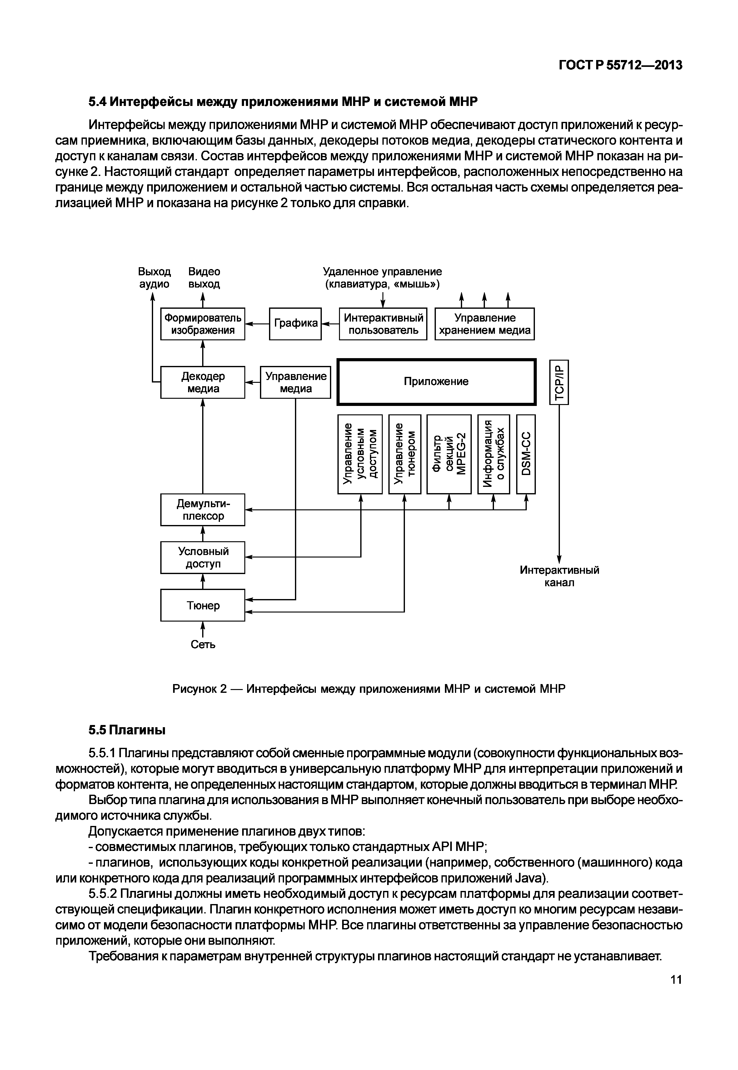
| Оглавление: | 1 Область применения 2 Нормативные ссылки 3 Термины, определения и сокращения 4 Классы домашней мультимедийной платформы 5 Основные параметры домашней мультимедийной платформы 5.1 Базовая структура МНР 5.2 Контекст применения МНР 5.3 Базовая архитектура МНР 5.4 Интерфейсы между приложениями МНР и системой МНР 5.5 Плагины 6 Параметры транспортных протоколов 6.1 Параметры транспортных протоколов каналов вещания и интерактивных каналов 6.2 Транспортные протоколы для загрузки приложений через интерактивный канал 7 Параметры форматов контента, поддерживаемых МНР 8 Параметры моделей приложений МНР 8.1 Общие характеристики приложений вещания 8.2 Параметры модели приложений DVB-J 8.3 Параметры модели приложений DVB-HTML 9 Параметры сигнализации приложения МНР 9.1 Общие параметры сигнализации приложения МНР 9.2 Параметры сигнализации программно-зависимой информации 9.3 Параметры сигнализации таблицы информации 9.4 Параметры сигнализации идентификации 9.5 Параметры сигнализации механизма управления жизненным циклом 9.6 Параметры универсальных дескрипторов сигнализации 9.7 Параметры дескрипторов транспортного протокола 9.8 Параметры специфичных дескрипторов DVB-J 9.9 Параметры специфичных дескрипторов приложения DVB-HTML 9.10 Параметры констант дескрипторов 9.11 Дескриптор идентификатора службы 10 Параметры DVB-J 10.1 Параметры виртуальной машины DVB-J 10.2 Правила применения программных интерфейсов приложений DVB-J 10.3 Параметры основных программных интерфейсов приложений DVB-J 10.4 Параметры программных интерфейсов приложений представления (воспроизведения) 10.5 Параметры программных интерфейсов приложений доступа к данным 10.6 Параметры программных интерфейсов приложений информации о службе и выбора службы 10.7 Параметры общей инфраструктуры программных интерфейсов приложений DVB-J 10.8 Параметры АРI, обеспечивающие безопасность приложений DVB-J 10.9 Программные интерфейсы приложений DVB-J поддержки таймера, установок и предпочтений пользователя 10.10 Параметры полномочий приложений DVB-J 10.11 Параметры соответствия между объектами, типами локатора и их текстовыми представлениями 10.12 Параметры автономных приложений 10.13 Параметры поддержки DVB-HTML 10.14 доступ в Интернет 11 Безопасность МНР 11.1 Состав параметров безопасности МНР 11.2 Параметры аутентификации приложений 11.3 Параметры передачи сообщений безопасности 11.4 Параметры профилирования приложений 11.5 Политика безопасности для приложений 11.6 Пример создания приложения, которое может быть аутентифицировано 11.7 Процедуры сертификации МНР 11.8 Процесс управления сертификатом 11.9 Параметры безопасности обратного канала 11.10 Параметры профиля Интернет 11.11 Аппаратная реализация МНР 11.12 Безопасность применения плагинов 11.13 Безопасность загрузки приложений из интерактивного канала 11.14 Хранение приложений 11.15 Безопасность внутренних приложений и контента, встроенного в другие приложения 12 Параметры эталонной модели графики МНР 13 Требования к аспектам системной интеграции МНР 14 Определения профилей МНР 15 Параметры системы хранения контента на персональном устройстве видеозаписи в составе МНР 15.1 Базовая архитектура персонального устройства видеозаписи в составе МНР 15.2 Параметры процесса записи и воспроизведения в системе МНР-РVR 15.3 Метаданные системы МНР-РVR 15.4 Параметры модели приложения системы МНР-РVR 15.5 Параметры сигнализации приложения в системе МНР-РVR 15.6 Параметры платформы DVB-J в системе МНР-РVR 15.7 Безопасность в системе МНР-РVR 15.8 Вопросы совместного использования систем TV-Anytime и телевизионного вещания платформой МНР-РVR 15.9 детализированные определения профиля платформы МНР-РVR 15.10 Минимально допустимые возможности системы МНР-РVR 16 Требования к константам МНР 17 Доступ Интернет-клиентов МНР в сеть Интернет 17.1 Ссылки служб DVB и контента на контент WWW 17.2 Требования к Интернет-клиентам 17.3 Обработка потокового медиа из сети Интернет Библиография |
| Разработан: | АНО НТЦИ |
| Утверждён: | 08.11.2013 Федеральное агентство по техническому регулированию и метрологии (1366-ст) |
| Издан: | Стандартинформ (2014 г. ) |
| Нормативные ссылки: |
|







































