Скачать ГОСТ Р ИСО/МЭК 15408-2-2013 Информационная технология. Методы и средства обеспечения безопасности. Критерии оценки безопасности информационных технологий. Часть 2. Функциональные компоненты безопасностиДата актуализации: 01.01.2021
|
| Обозначение: | ГОСТ Р ИСО/МЭК 15408-2-2013 |
| Обозначение англ: | GOST R ISO/IEC 15408-2-2013 |
| Статус: | взамен |
| Название рус.: | Информационная технология. Методы и средства обеспечения безопасности. Критерии оценки безопасности информационных технологий. Часть 2. Функциональные компоненты безопасности |
| Название англ.: | Information technology. Security techniques. Evaluation criteria for IT security. Part 2. Security functional components |
| Дата добавления в базу: | 01.10.2014 |
| Дата актуализации: | 01.01.2021 |
| Дата введения: | 01.09.2014 |
| Область применения: | Стандарт устанавливает структуру и содержание компонентов функциональных требований безопасности для оценки безопасности. Он также включает в себя каталог функциональных компонентов, отвечающих общим требованиям к функциональным возможностям безопасности многих продуктов ИТ. |
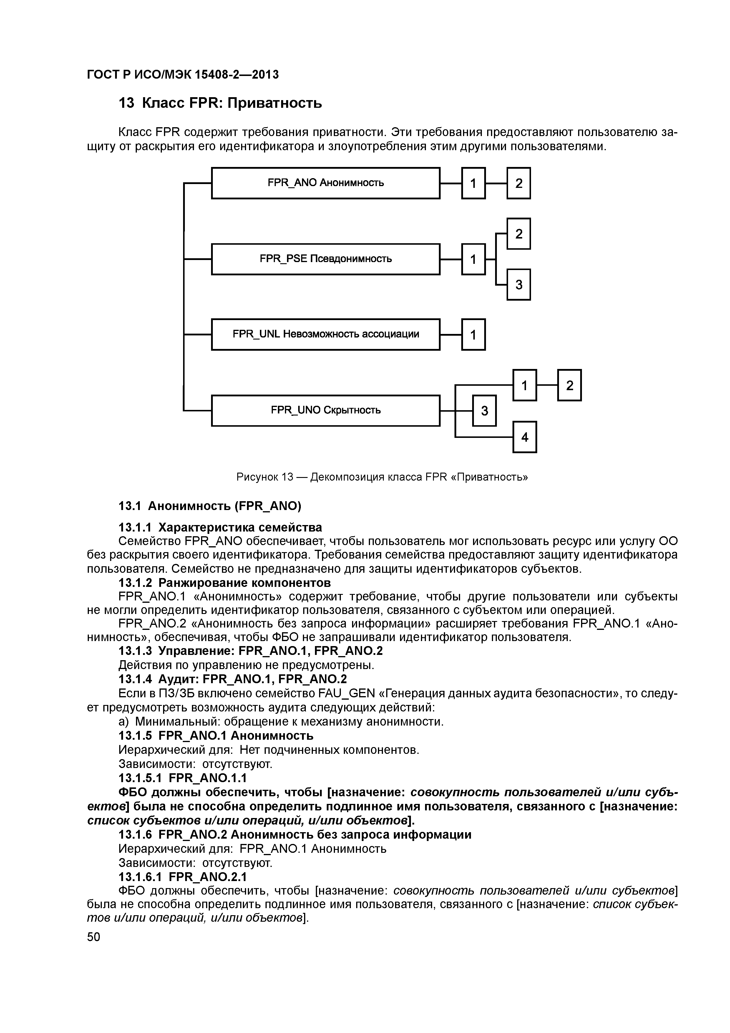
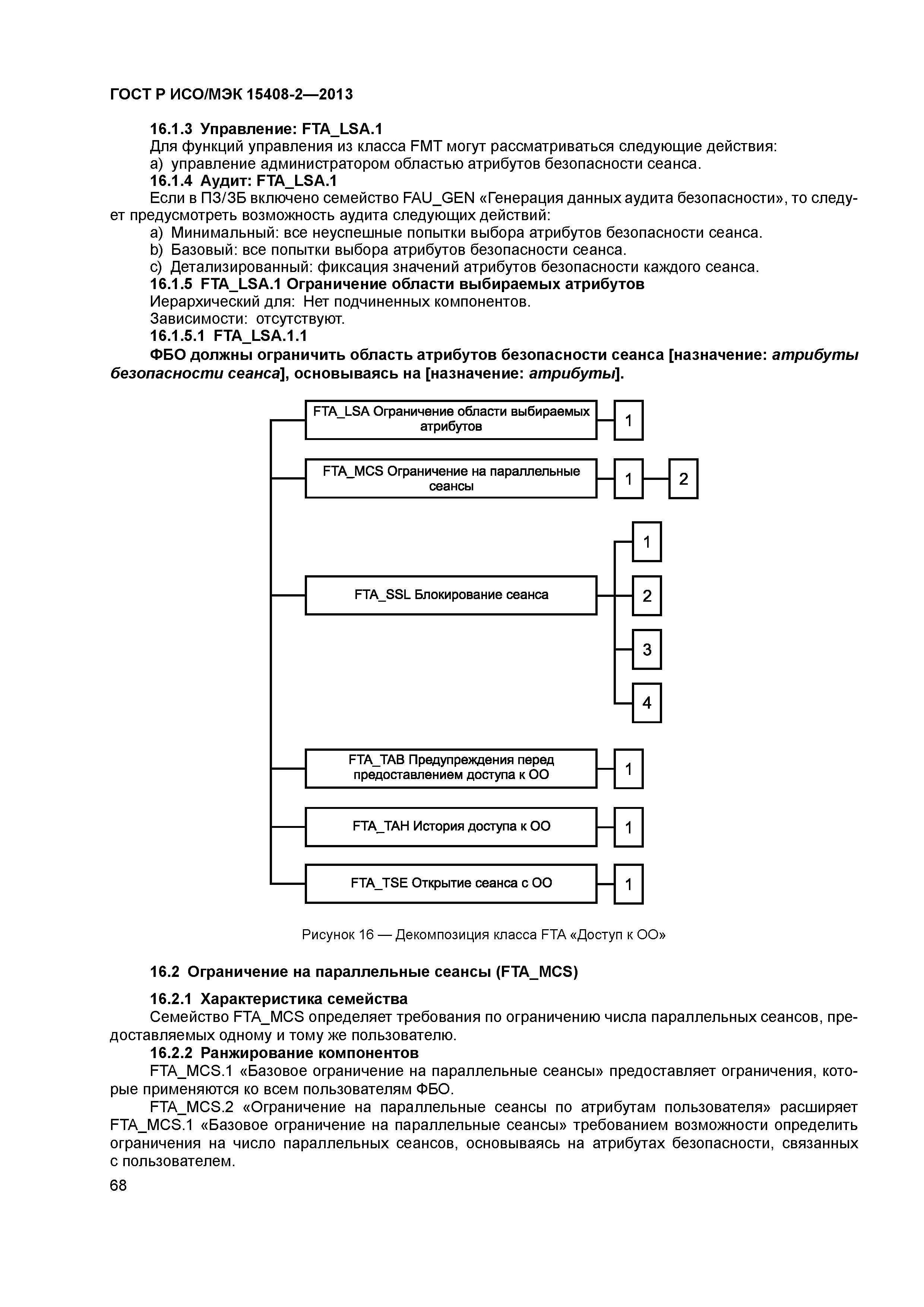
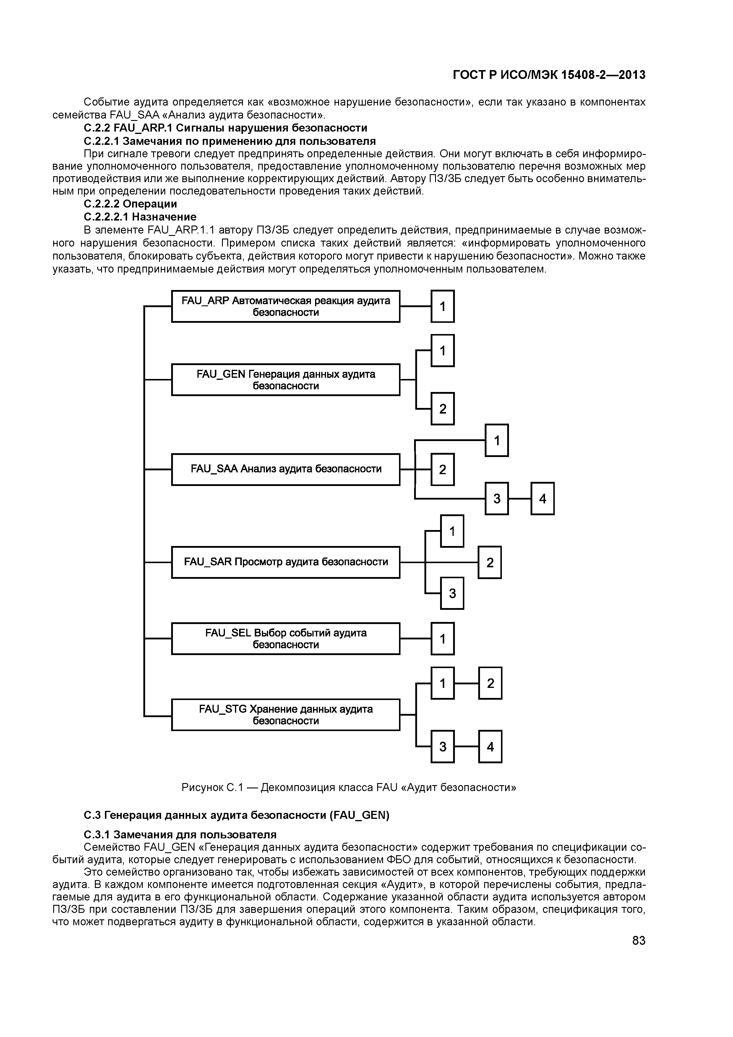
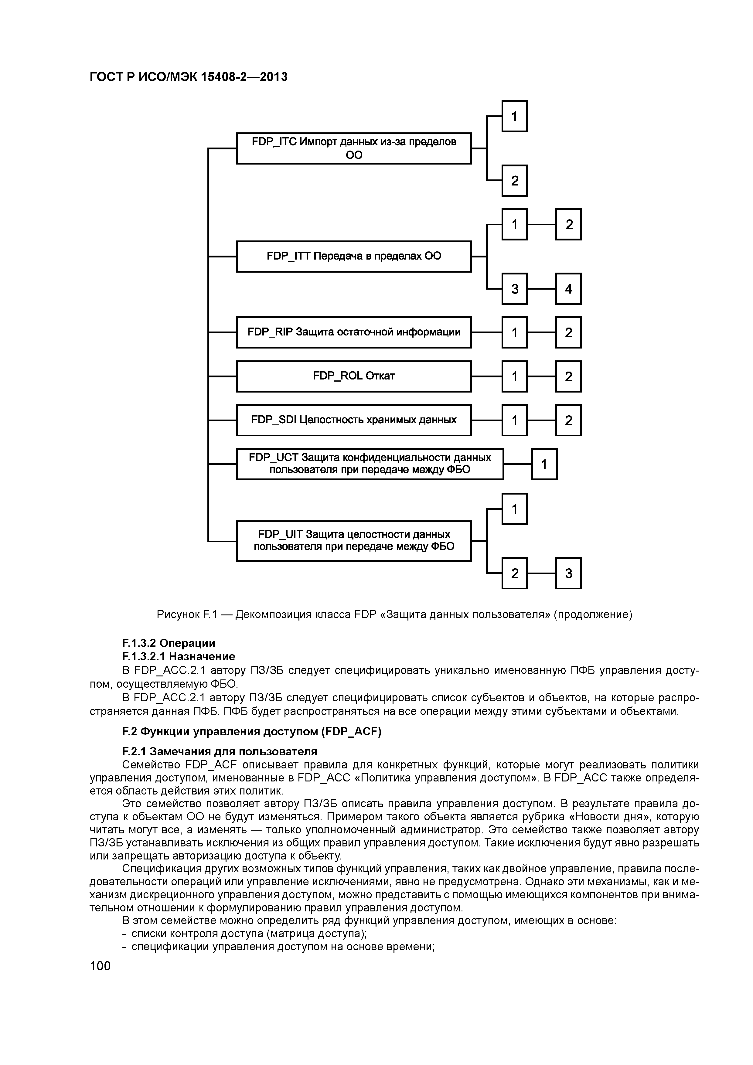
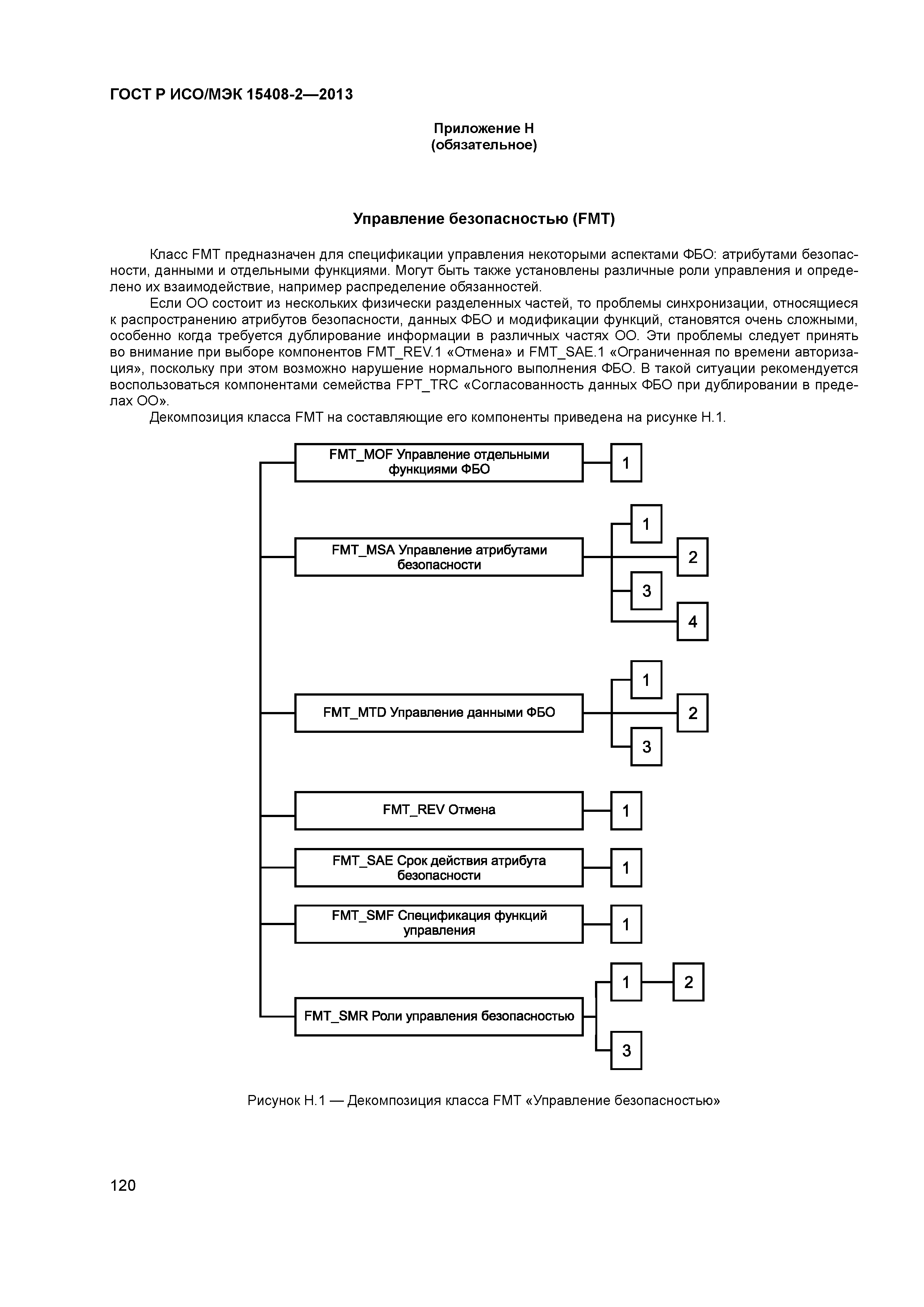
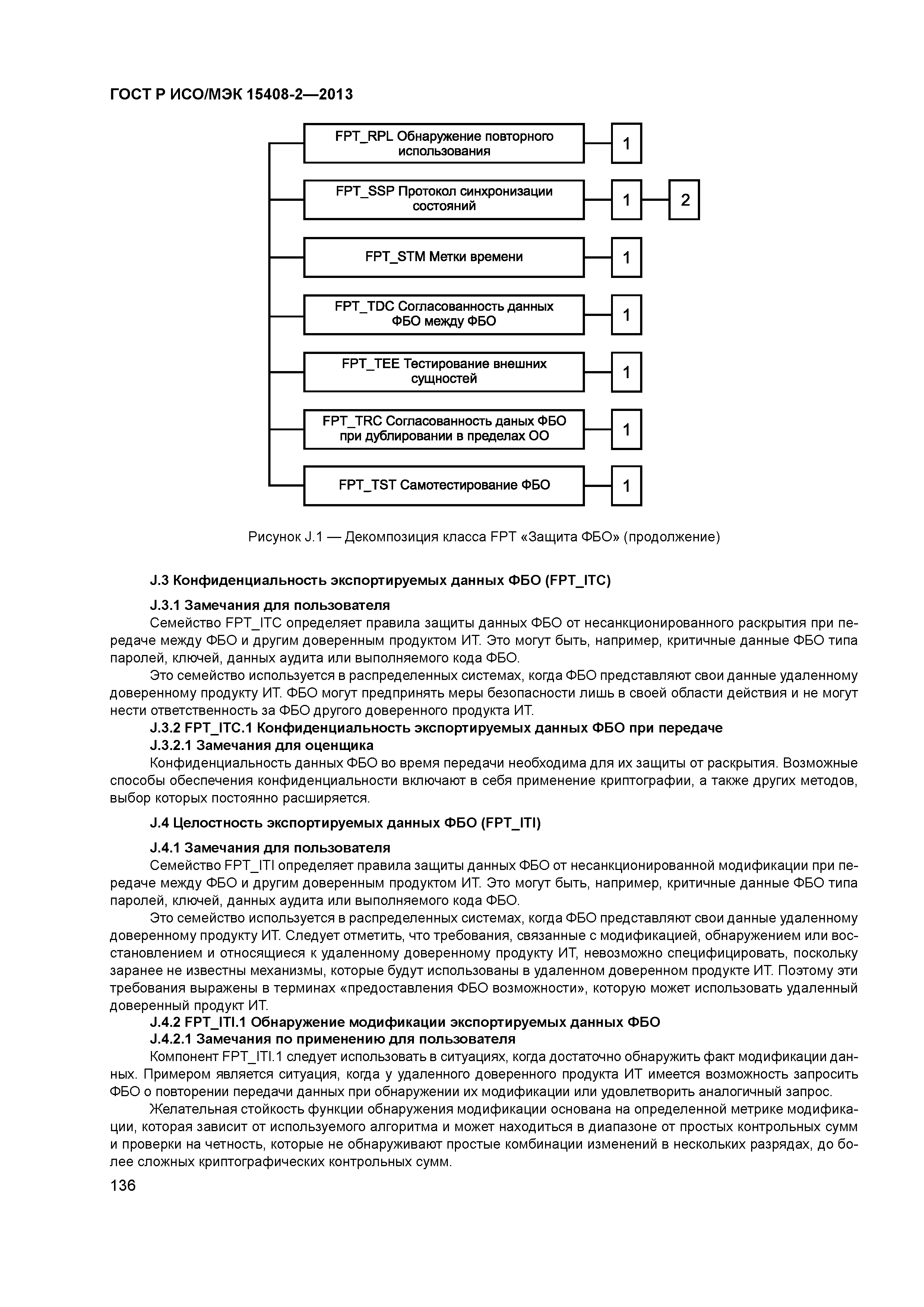
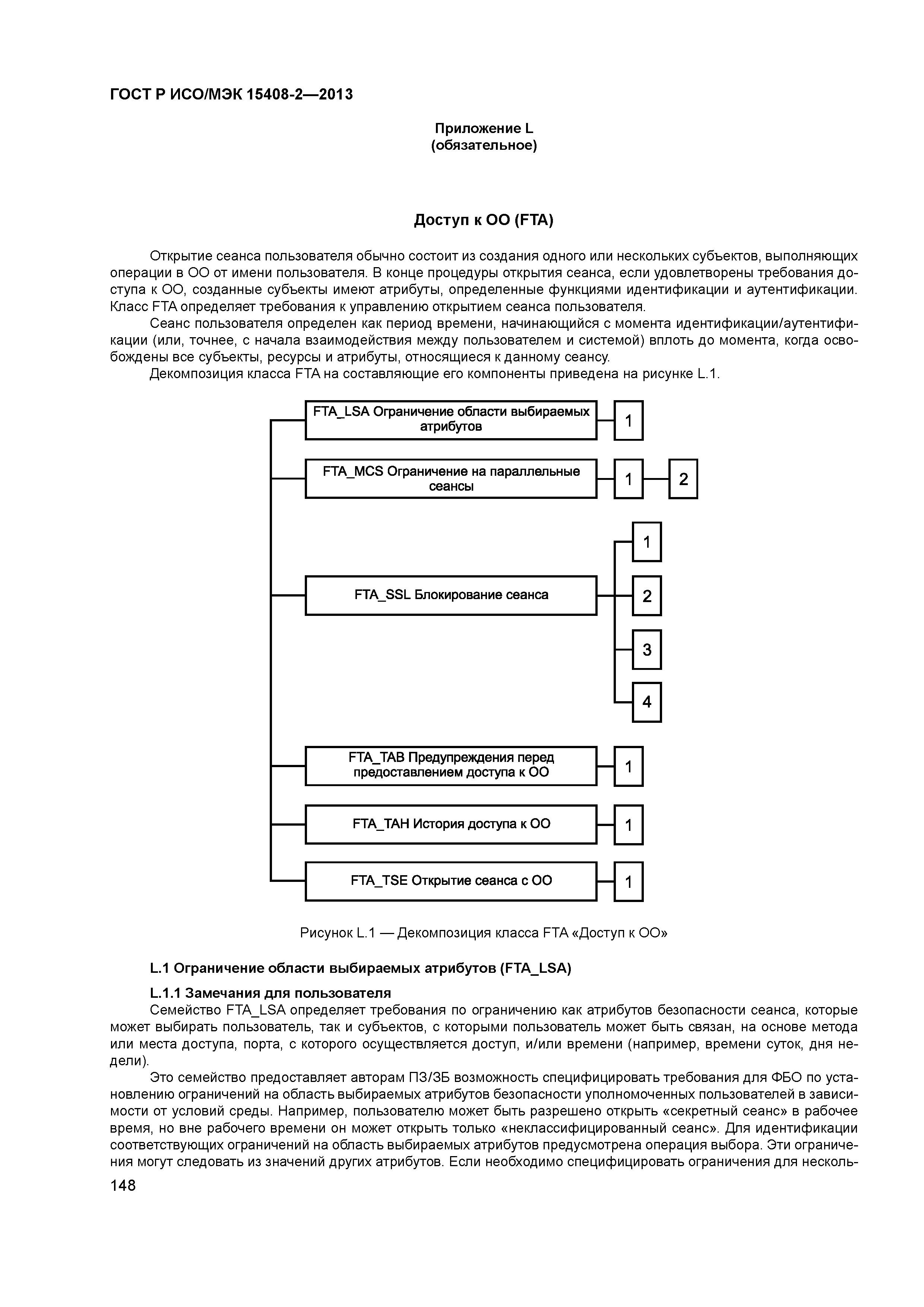
| Оглавление: | 1 Область применения 2 Нормативные ссылки 3 Термины и определения, обозначения и сокращения 4 Краткий обзор 4.1 Структура данной части ИСО/МЭК 15408 5 Парадигма функциональных требований 6 Функциональные компоненты безопасности 6.1 Краткий обзор 6.2 Каталог компонентов 7 Класс FAU: Аудит безопасности 7.1 Автоматическая реакция аудита безопасности (FAU_ARP) 7.2 Генерация данных аудита безопасности (FAU_GEN) 7.3 Анализ аудита безопасности (FAU_SAA) 7.4 Просмотр аудита безопасности (FAU_SAR) 7.5 Выбор событий аудита безопасности (FAU_SEL) 7.6 Хранение данных аудита безопасности (FAU_STG) 8 Класс FCO: Связь 8.1 Неотказуемость отправления (FCO_NRO) 8.2 Неоказуемость получения (FCO_NRR) 9 Класс FCS: Криптографическая поддержка 9.1 Управление криптографическими ключами (FCS_СКМ) 9.2 Криптографические операции (FCS_СОР) 10 Класс FDP: Защита данных пользователя 10.1 Политика управления доступом (FDP_АСС) 10.2 Функции управления доступом (FDP_АСF) 10.3 Аутентификация данных (FDP_DAU) 10.4 Экспорт данных из ОО (FDP_ETC) 10.5 Политика управления информационными потоками (FDP_IFС) 10.6 Функции управления информационными потоками (FDP_IFF) 10.7 Импорт данных из-за пределов ОО (FDP_IТС) 10.8 Передача в пределах ОО (FDP_IТТ) 10.9 Защита остаточной информации (FDP_RIP) 10.10 Откат (FDP_ROL) 10.11 Целостность хранимых данных (FDP_SDI) 10.12 Защита конфиденциальности данных пользователя при передаче между ФБО (FDP_UCT) 10.13 Защита целостности данных пользователя при передаче между ФБО (FDP_UIT) 11 Класс FIA: Идентификация и аутентификация 11.1 Отказы аутентификации (FIA_АFL) 11.2 Определение атрибутов пользователя (FIA_АТD) 11.3 Спецификация секретов (FIA_SOS) 11.4 Аутентификация пользователя (FIA_UAU) 11.5 Идентификация пользователя (FIA_UID) 11.6 Связывание пользователь-субъект (FIA_USB) 12 Класс FMT: Управление безопасностью 12.1 Управление отдельными функциями ФБО (FMT_МОF) 12.2 Управление атрибутами безопасности (FMT_МSА) 12.3 Управление данными ФБО (FMT_МТD) 12.4 Отмена (FMT_REV) 12.5 Срок действия атрибута безопасности (FMT_SAE) 12.6 Спецификация функций управления (FMT_SМF) 12.7 Роли управления безопасностью (FMT_SMR) 13 Класс FPR: Приватность 13.1 Анонимность (FPR_ANO) 13.2 Псевдонимность (FPR_РSE) 13.3 Невозможность ассоциации (FPR_UNL) 13.4 Скрытность (FPR_UNO) 14 Класс FPT: Защита ФБО 14.1 Безопасность при сбое (FPT_FLS) 14.2 доступность экспортируемых данных ФБО (FPT_IТА) 14.3 Конфиденциальность экспортируемых данных ФБО (FPT_IТС) 14.4 Целостность экспортируемых данных ФБО (FPT_IТI) 14.5 Передача данных ФБО в пределах ОО (FPT_IТТ) 14.6 Физическая защита ФБО (FPT_РНР) 14.7 Надежное восстановление (FPT_RCV) 14.8 Обнаружение повторного использования (FPT_RPL) 14.9 Протокол синхронизации состояний (FPT_SSP) 14.10 Метки времени (FPT_STM) 14.11 Согласованность данных ФБО между ФБО (FPT_TDC) 14.12 Тестирование внешних сущностей (FPT_ТEE) 14.13 Согласованность данных ФБО при дублировании в пределах 00 (FPT_ТRС) 14.14 Самотестирование ФБО (FPT_ТSТ) 15 Класс FRU: Использование ресурсов 15.1 Отказоустойчивость (FRU_FLТ) 15.2 Приоритет обслуживания (FRU_РRS) 15.3 Распределение ресурсов (FRU_RSA) 16 Класс FTA: Доступ к ОО 16.1 Ограничение области выбираемых атрибутов (FTA_LSА) 16.2 Ограничение на параллельные сеансы (FTA_МСS) 16.3 Блокирование и завершение сеанса (FTA_SSL) 16.4 Предупреждения перед предоставлением доступа к ОО (FTA_ТАВ) 16.5 История доступа к ОО (FTA_ТАН) 16.6 Открытие сеанса с ОО (FTA_ТSE) 17 Класс FTP: Доверенный маршрут/канал 17.1 Доверенный канал передачи между ФБО (FTP_ITC) 17.2 Доверенный маршрут (FTP_TRP) Приложение А (обязательное) Замечания по применению функциональных требований безопасности Приложение В (обязательное) Функциональные классы, семейства и компоненты Приложение С (обязательное) Аудит безопасности (FAU) Приложение D (обязательное) Связь (FСО) Приложение Е (обязательное) Криптографическая поддержка (FCS) Приложение F (обязательное) Защита данных пользователя (FDP) Приложение G (обязательное) Идентификация и аутентификация (FIА) Приложение Н (обязательное) Управление безопасностью (FМТ) Приложение I (обязательное) Приватность (FPR) Приложение J (обязательное) Защита ФБО (FPT) Приложение К (обязательное) Использование ресурсов (FRU) Приложение L (обязательное) Доступ к 00 (FТА) Приложение М (обязательное) Доверенный маршрут/канал (FТР) Приложение ДА (справочное) Сведения о соответствии ссылочных международных стандартов ссылочным национальным стандартам Российской Федерации Библиография |
| Разработан: | ООО ЦБИ ФАУ ГНИИИ ПТЗИ ФСТЭК России |
| Утверждён: | 08.11.2013 Федеральное агентство по техническому регулированию и метрологии (1319-ст) |
| Издан: | Стандартинформ (2014 г. ) |
| Заменяет собой: | |
| Нормативные ссылки: |
































































































































































