Скачать ФЕР 81-02-Пр(1)-2001 Приложения. Книга 1 (редакция 2014 года). Приложения. Федеральные единичные расценки на строительные работыДата актуализации: 01.01.2021
|
| Обозначение: | ФЕР 81-02-Пр(1)-2001 |
| Обозначение англ: | FER 81-02-Пр(1)-2001 |
| Статус: | не подлежит применению |
| Название рус.: | Приложения. Книга 1 (редакция 2014 года). Приложения. Федеральные единичные расценки на строительные работы |
| Дата добавления в базу: | 01.10.2014 |
| Дата актуализации: | 01.01.2021 |
| Дата введения: | 01.04.2014 |
| Дата окончания срока действия: | 28.04.2017 |
| Область применения: | Федеральные единичные расценки на строительные и специальные строительные работы предназначены для определения затрат при выполнении строительных работ и составления на их основе сметных расчетов (смет) на производство указанных работ. |
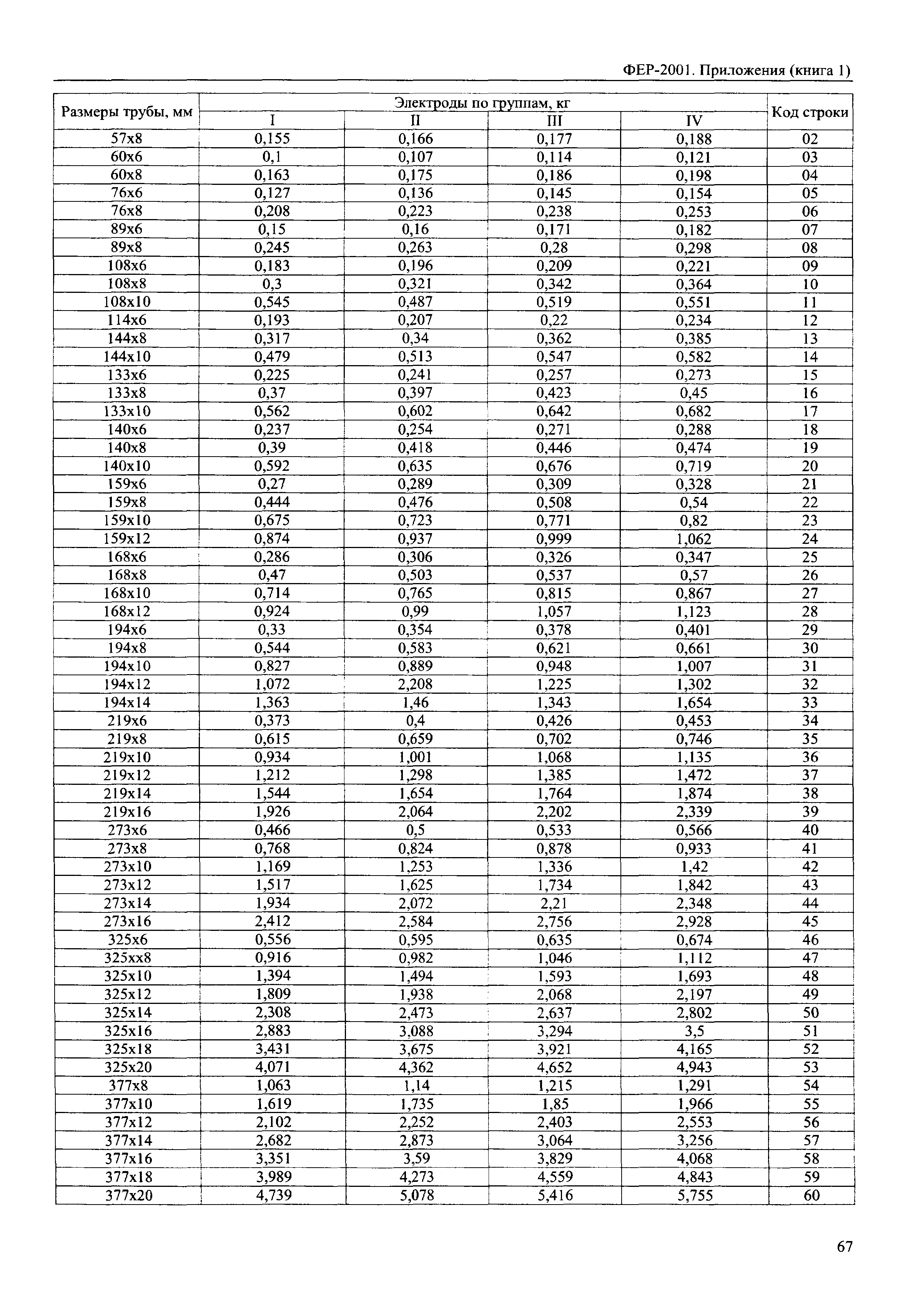
| Оглавление: | Земляные работы Горно-вскрышные работы Буровзрывные работы Скважины Свайные работы, опускные колодцы, закрепление грунтов Бетонные и железобетонные конструкции монолитные Бетонные и железобетонные конструкции сборные Конструкции из кирпича и блоков Строительные металлические конструкции Деревянные конструкции Полы Кровли Защита строительных конструкций и оборудования от коррозии Отделочные работы Трубопроводы внутренние Водопровод и канализация - внутренние устройства Отопление - внутренние устройства Газоснабжение - внутренние устройства Вентиляция и кондиционирование воздуха Временные сборно-разборные здания и сооружения Водопровод - наружные сети Канализация - наружные сети Теплоснабжение и газопроводы - наружные сети Теплоизоляционные работы Автомобильные дороги |
| Разработан: | Федеральный центр ценообразования в строительстве и промышленности строительных материалов |
| Утверждён: | 30.01.2014 Минстрой России (Russian Federation Minstroy 31/пр) |
| Издан: | ООО Стройинформиздат (2014 г. ) |
| Список изменений: |
|
| Нормативные ссылки: |






















































































































Текстовое изменение № 81-02-2001-И2(10) от 11.12.2015









Текстовое изменение № от 01.02.2017

