Скачать ГОСТ 32500-2013 Нефтепродукты. Вычисление индекса вязкости по кинематической вязкости при температурах 40 °С и 100 °СДата актуализации: 01.01.2021
|
| Обозначение: | ГОСТ 32500-2013 |
| Обозначение англ: | GOST 32500-2013 |
| Статус: | введен впервые |
| Название рус.: | Нефтепродукты. Вычисление индекса вязкости по кинематической вязкости при температурах 40 °С и 100 °С |
| Название англ.: | Petroleum products. Calculating viscosity index from kinematic viscosity at 40 °С and 100 °C |
| Дата добавления в базу: | 01.11.2014 |
| Дата актуализации: | 01.01.2021 |
| Дата введения: | 01.01.2015 |
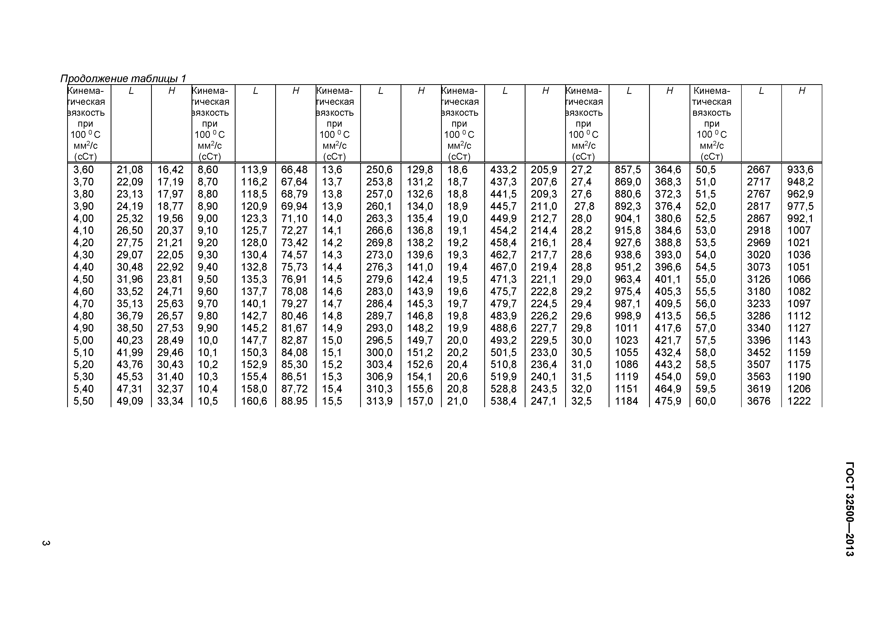
| Область применения: | Стандарт устанавливает метод вычисления индекса вязкости по кинематической вязкости при температурах 40 °С и 100 °С нефтепродуктов, таких, как смазочные масла и аналогичные материалы. Стандарт не распространяется на нефтепродукты с кинематической вязкостью менее 2,0 мм кв./с (сСт) при температуре 100 °С. |
| Оглавление: | 1 Область применения 2 Нормативные ссылки 3 Термины и определения 4 Назначение и применение 5 Проведение испытания 6 Оформление результатов Приложения Х (справочные) Х1 Вычисление индекса вязкости по значению кинематической вязкости при нестандартных температурах Х2 другие методы вычисления Х3 Прецизионность индекса вязкости Приложение Д.А (справочное) Сведения о соответствии межгосударственных стандартов ссылочным стандартам |
| Разработан: | ОАО ВНИИНП |
| Утверждён: | 05.11.2013 Межгосударственный Совет по стандартизации, метрологии и сертификации (Inter-Governmental Council on Standardization, Metrology, and Certification 61-П) 22.11.2013 Федеральное агентство по техническому регулированию и метрологии (694-ст) |
| Издан: | Стандартинформ (2014 г. ) |
| Нормативные ссылки: |














