Скачать ГОСТ Р 55938-2014 Телевидение вещательное цифровое. Методы канального кодирования и модуляции для второго поколения систем кабельного телевидения (DVB-C2). Основные параметрыДата актуализации: 01.01.2021
|
| Обозначение: | ГОСТ Р 55938-2014 |
| Обозначение англ: | GOST R 55938-2014 |
| Статус: | введен впервые |
| Название рус.: | Телевидение вещательное цифровое. Методы канального кодирования и модуляции для второго поколения систем кабельного телевидения (DVB-C2). Основные параметры |
| Название англ.: | Digital Video Broadcasting (DVB). Methods of channel coding and modulation for a second generation of cable television systems (DVB-C2). Basic parameters |
| Дата добавления в базу: | 12.02.2016 |
| Дата актуализации: | 01.01.2021 |
| Дата введения: | 01.09.2014 |
| Область применения: | Стандарт устанавливает требования и рекомендации к методам канального кодирования и модуляции для второго поколения систем кабельного телевидения DVB-C2 |
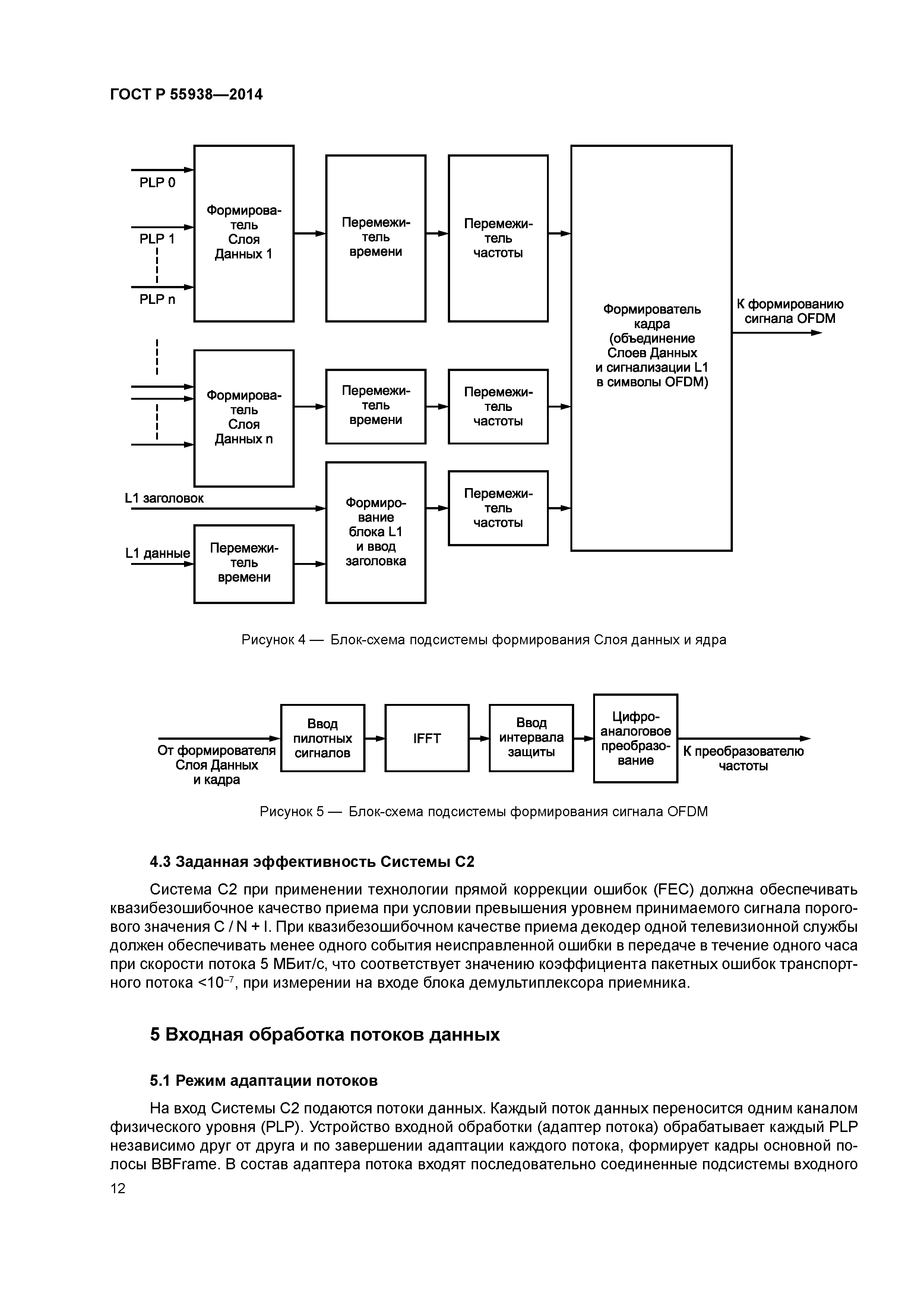
| Оглавление: | 1 Область применения 2 Нормативные ссылки 3 Термины, определения, сокращения, обозначения и символы 4 Архитектура системы DVB-С2 4.1 Общее представление о Системе С2 4.2 Архитектура Системы 4.3 Заданная эффективность Системы С2 5 Входная обработка потоков данных 5.1 Режим адаптации потоков 5.2 Адаптация потока к каналу 6 Кодирование с перемежением битов и модуляция 6.1 Кодирование FEC 6.2 Параметры отображения битов в модуляционные созвездия 7 Формирование Пакета Слоя данных 7.1 Пакеты Слоя данных Тип 1 7.2 Пакеты Слоя данных Тип 2 8 Формирование Символов Преамбулы сигнализации layer-part2 8.1 Краткий обзор 8.2 Параметры заголовка преамбулы 8.3 данные сигнализации L1-part2 8.4 Кодирование с коррекцией ошибок и модуляция данных L1-part2 8.5 Перемежение времени данных сигнализации L1-part2 9 Формирование Кадра С2 9.1 Структура Кадра С2 9.2 Последовательность опорных пилот-сигналов 9.3 Символ Преамбулы 9.4 Формирование Слоя данных 9.5 Слои данных наполнения 9.6 Ввод пилот-сигналов 9.7 Резервирование фиктивных несущих 10 Формирование OFDM 10.1 Параметры модуляции OFDM 10.2 Характеристики спектра Приложение А (обязательное) Синхронизатор входного потока Приложение Б обязательное) Подсистема входного ремультиплексирования: Разделение входных транспортных потоков MPEG-2 на PLP данных; формирование Общего PLP группы PLP; вставка нулевых пакетов в транспортные потоки Приложение В (обязательное) Вычисление слова CRC Приложение Г (обязательное) Группирование PLP Приложение Д (справочное) Регенерация транспортного потока и использование ISCR для восстановления тактовой частоты Приложение Е (справочное) Шаблоны размещения пилот-сигнала Библиография |
| Разработан: | ФГУП Ордена Трудового Красного Знамени научно-исследовательский институт радио, Самарский филиал Самарское отделение научно-исследовательского института радио |
| Утверждён: | 28.01.2014 Федеральное агентство по техническому регулированию и метрологии (5-ст) |
| Издан: | Стандартинформ (2015 г. ) |
| Нормативные ссылки: |
|
































































































