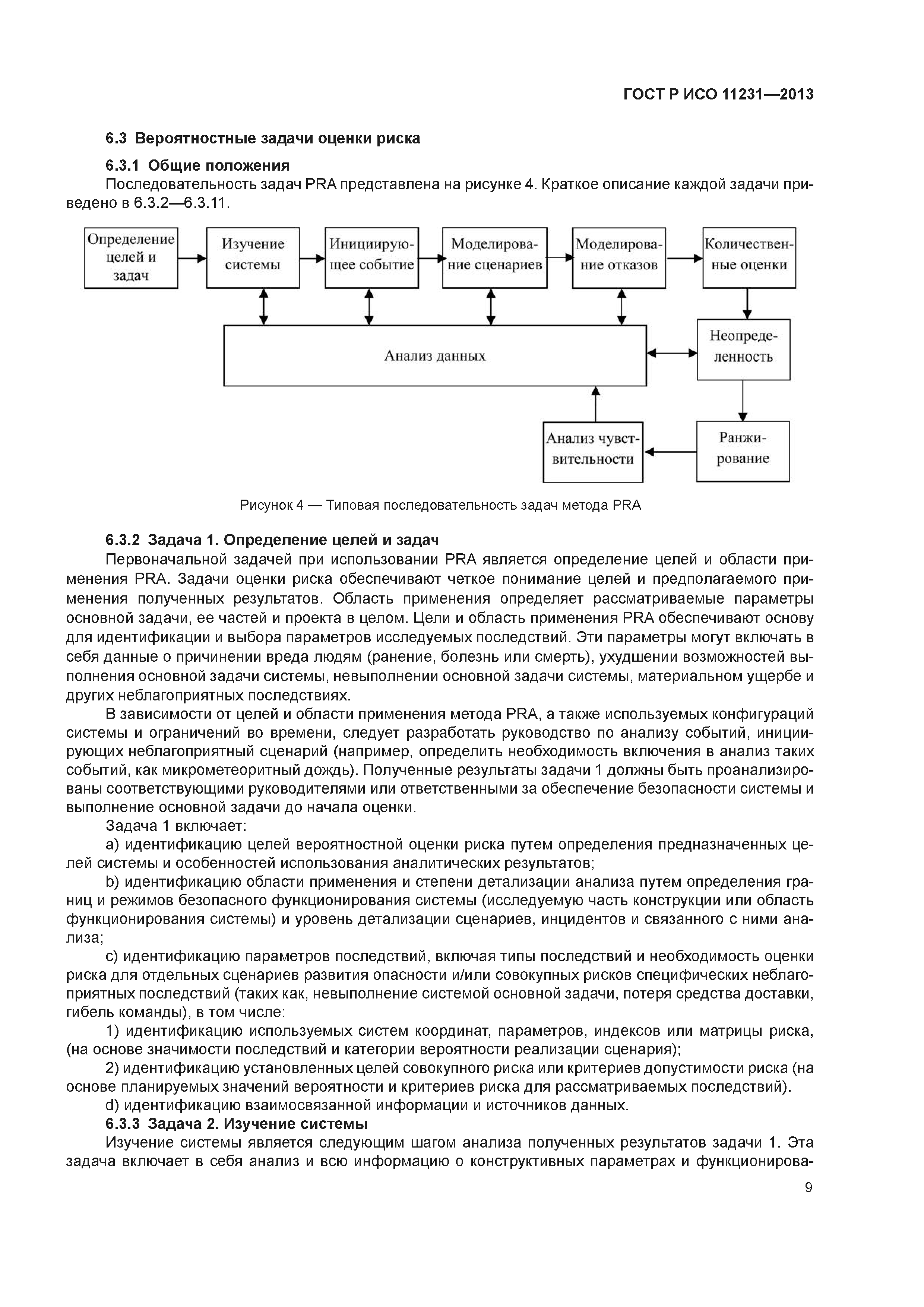
Скачать ГОСТ Р ИСО 11231-2013 Менеджмент риска. Вероятностная оценка риска на примере космических системДата актуализации: 01.01.2021
|
| Обозначение: | ГОСТ Р ИСО 11231-2013 |
| Обозначение англ: | GOST R ISO 11231-2013 |
| Статус: | введен впервые |
| Название рус.: | Менеджмент риска. Вероятностная оценка риска на примере космических систем |
| Название англ.: | Risk management. Probabilistic risk assessment on example with space systems |
| Дата добавления в базу: | 01.10.2014 |
| Дата актуализации: | 01.01.2021 |
| Дата введения: | 01.12.2014 |
| Область применения: | Стандарт обеспечивает выполнение требований к процессу менеджмента риска, установленных в ИСО 17666, и дополняет их в ситуациях, когда необходимо применение количественной оценки риска. В стандарте определены принципы, процесс, способы выполнения и требования к количественной оценке риска, а также приведено детальное описание метода вероятностной оценки риска (PRA) применительно к обеспечению безопасности. Метод PRA может быть использован в менеджменте риска проекта, однако пояснение деталей такого использования не входит в область применения стандарта. В стандарте установлены основные требования и процедуры использования метода PRA для оценки безопасности и вероятности выполнения (или невыполнения) основной цели разработки. Стандарт может быть применен при оценке риска любого проекта, в том числе космического проекта, включая: - разработку космических транспортных средств для перемещения людей в космическом пространстве; - разработку космических и внеземных планетарных обитаемых станций; - разработку космических средств выведения на орбиту, использующих для работы или транспортирующих ядерные материалы; - другие виды разработок в соответствии с требованиями руководства или потребителей. |
| Оглавление: | 1 Область применения 2 Нормативные ссылки 3 Термины, определения и сокращения 4 Принципы вероятностной оценки риска 5 Цели, способы применения и преимущества метода вероятностной оценки риска 6 Требования и процесс PRA 7 Экспертиза 8 Отчет о вероятностной оценке риска. Требования к данным Приложение ДА (справочное) Сведения о соответствии ссылочных международных стандартов ссылочным национальным стандартам Российской Федерации (и действующим в этом качестве межгосударственным стандартам) Библиография |
| Разработан: | АНО НИЦ КД |
| Утверждён: | 22.11.2013 Федеральное агентство по техническому регулированию и метрологии (1669-ст) |
| Издан: | Стандартинформ (2014 г. ) Стандартинформ (2016 г. ) |
| Нормативные ссылки: |






















