Скачать ГОСТ Р 53556.11-2014 Звуковое вещание цифровое. Кодирование сигналов звукового вещания с сокращением избыточности для передачи по цифровым каналам связи. Часть III (MPEG-4 audio). Аудиокодирование без потерьДата актуализации: 01.01.2021
|
| Обозначение: | ГОСТ Р 53556.11-2014 |
| Обозначение англ: | GOST R 53556.11-2014 |
| Статус: | введен впервые |
| Название рус.: | Звуковое вещание цифровое. Кодирование сигналов звукового вещания с сокращением избыточности для передачи по цифровым каналам связи. Часть III (MPEG-4 audio). Аудиокодирование без потерь |
| Название англ.: | Digital sound broadcasting. Coding of signals of sound broadcasting with reduction of redundancy for transfer on digital communication channels. A part III (MPEG-4 audio). Audio lossless coding |
| Дата добавления в базу: | 12.02.2016 |
| Дата актуализации: | 01.01.2021 |
| Дата введения: | 01.01.2015 |
| Область применения: | Этот стандарт описывает алгоритм кодирования аудиосигналов без потерь: аудиокодирование без потерь MPEG-4 (ALS). MPEG–4 ALS являются схемой сжатия данных цифрового аудио без потерь, то есть декодируемые данные являются разрядно-идентичной реконструкцией исходных входных данных. Входные сигналы могут быть целочисленными данными PCM от 8 до 32-разрядной длины слова или 32-разрядными данными IEEE с плавающей точкой. MPEG-4 ALS обеспечивает широкий диапазон гибкости с точки зрения компромисса сжатия - сложности, поскольку комбинация нескольких инструментов позволяет определить уровень компрессии с различными степенями сложности. |
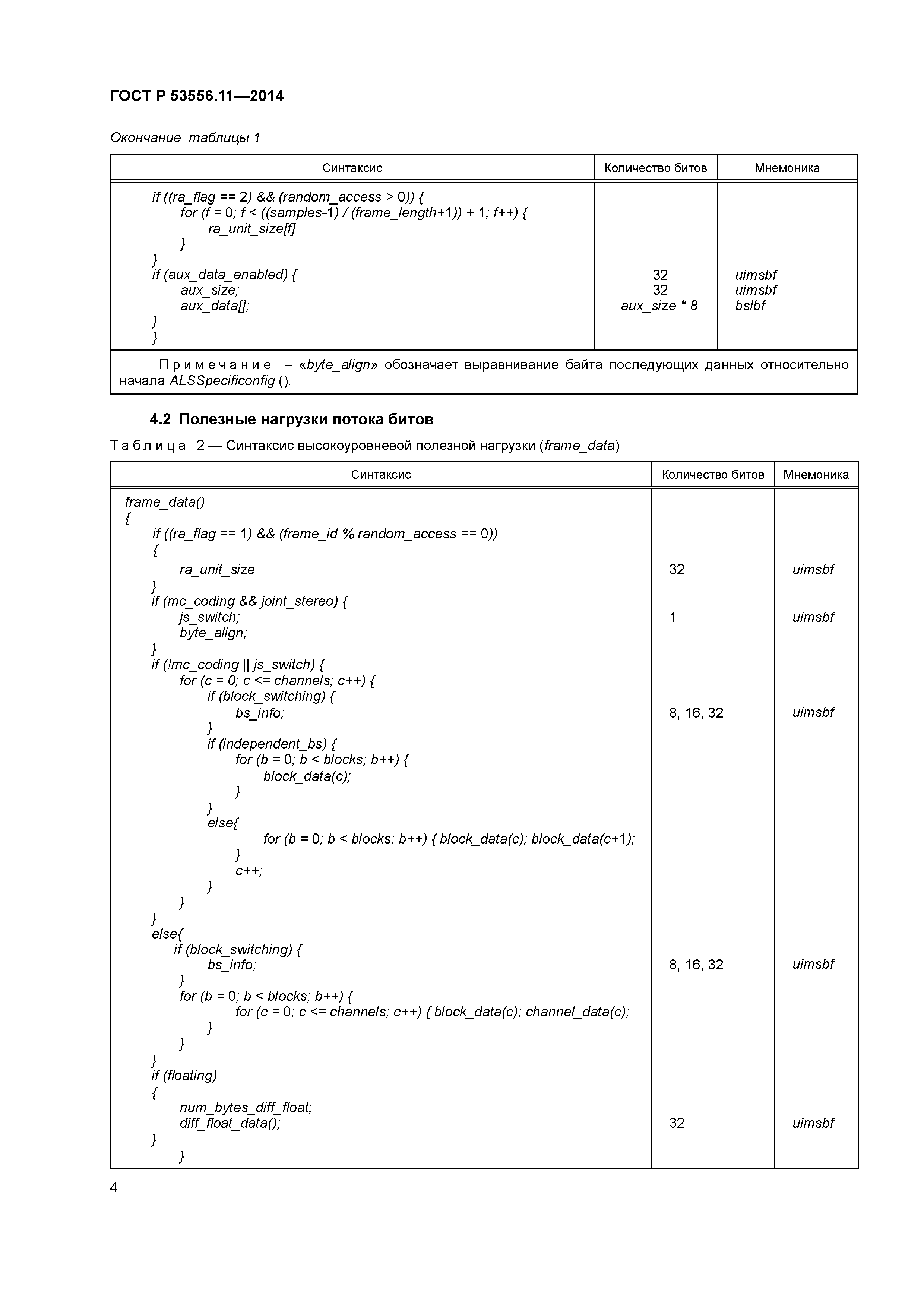
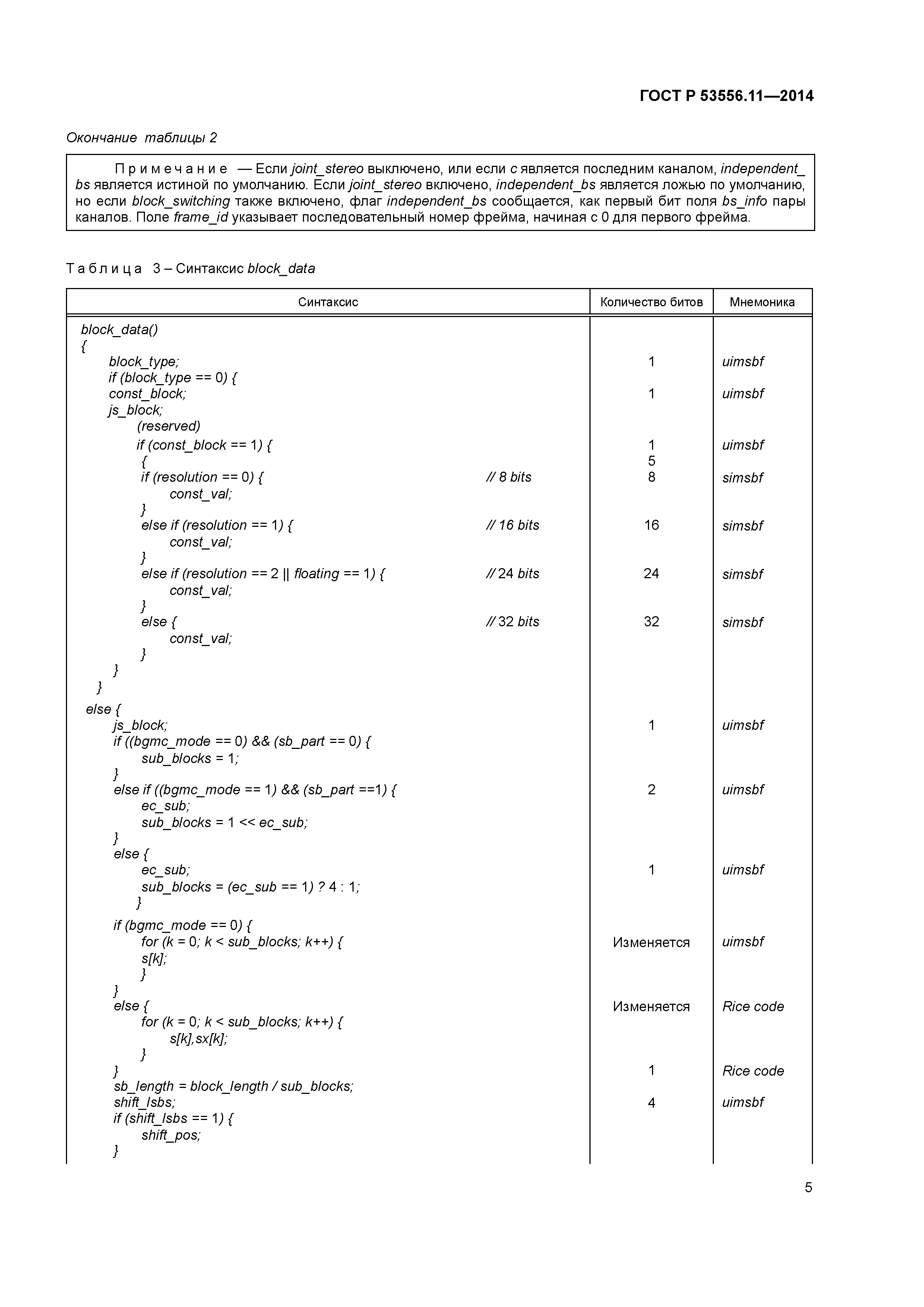
| Оглавление: | 1 Область применения 2 Технический обзор 2.1 Структура кодера и декодера 2.2 Расширения с плавающей точкой 3 Термины и определения 3.1 Определения 3.2 Мнемоника 3.3 Типы данных 3.4 Замечания по реализации 4 Синтаксис 4.1 Конфигурация декодера 4.2 Полезные нагрузки потока битов 4.3 Полезные нагрузки для данных с плавающей точкой 5 Семантика 5.1 Общая семантика 5.2 Семантика для данных с плавающей точкой 6 Инструменты ALS 6.1 Краткий обзор 6.2 Переключение блоков 6.3 Прогноз 6.4 Долгосрочный прогноз (LTP) 6.5 Прогнозирующее устройство RLS-LMS 6.6 Кодированный остаток 6.7 Объединенное кодирование пар каналов 6.8 Многоканальное кодирование (MCC) 6.9 Расширение для данных с плавающей точкой Библиография |
| Разработан: | ТК 480 Связь |
| Утверждён: | 17.03.2014 Федеральное агентство по техническому регулированию и метрологии (148-ст) |
| Издан: | Стандартинформ (2015 г. ) |




































































