Скачать Государственная программа Российской Федерации Развитие промышленности и повышение ее конкурентоспособностиДата актуализации: 01.01.2021 |
| Статус: | действует |
| Название рус.: | Государственная программа Российской Федерации "Развитие промышленности и повышение ее конкурентоспособности" |
| Дата добавления в базу: | 01.10.2014 |
| Дата актуализации: | 01.01.2021 |
| Дата введения: | 02.05.2014 |
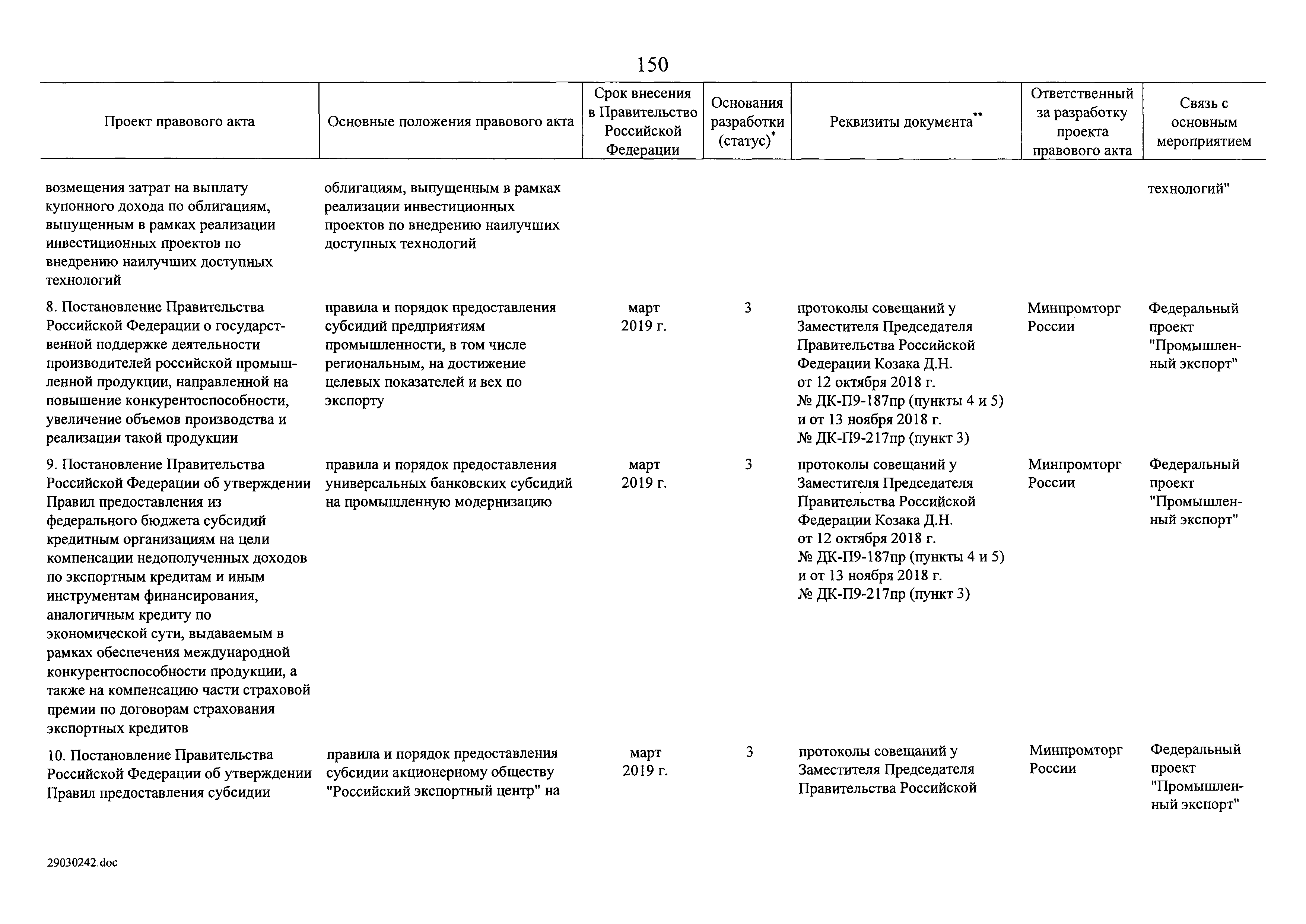
| Оглавление: | Паспорт государственной программы Российской Федерации "Развитие промышленности и повышение ее конкурентоспособности" Паспорт подпрограммы 1 "Автомобильная промышленность" государственной программы Российской Федерации "Развитие промышленности и повышение ее конкурентоспособности" Паспорт подпрограммы 2 "Сельскохозяйственное машиностроение" государственной программы Российской Федерации "Развитие промышленности и повышение ее конкурентоспособности" Паспорт подпрограммы 3 "Машиностроение специализированных производств (строительно-дорожная и коммунальная техника, пожарная, аэродромная, лесная техника)" государственной программы Российской Федерации "Развитие промышленности и повышение ее конкурентоспособности" Паспорт подпрограммы 4 "Легкая промышленность и народные художественные промыслы" государственной программы Российской Федерации "Развитие промышленности и повышение ее конкурентоспособности" Паспорт подпрограммы 5 "Ускоренное развитие оборонно-промышленного комплекса" государственной программы Российской Федерации "Развитие промышленности и повышение ее конкурентоспособности" Паспорт подпрограммы 6 "Транспортное машиностроение" государственной программы Российской Федерации "Развитие промышленности и повышение ее конкурентоспособности" Паспорт подпрограммы 7 "Станкоинструментальная промышленность" государственной программы Российской Федерации "Развитие промышленности и повышение ее конкурентоспособности" Паспорт подпрограммы 8 "Тяжелое машиностроение" государственной программы Российской Федерации "Развитие промышленности и повышение ее конкурентоспособности" Паспорт подпрограммы 9 "Силовая электротехника и энергетическое машиностроение" государственной программы Российской Федерации "Развитие промышленности и повышение ее конкурентоспособности" Паспорт подпрограммы 10 "Металлургия" государственной программы Российской Федерации "Развитие промышленности и повышение ее конкурентоспособности" Паспорт подпрограммы 11 "Лесопромышленный комплекс" государственной программы Российской Федерации "Развитие промышленности и повышение ее конкурентоспособности" Паспорт подпрограммы 12 "Развитие системы технического регулирования, стандартизации и обеспечение единства измерений" государственной программы Российской Федерации "Развитие промышленности и повышение ее конкурентоспособности" Паспорт подпрограммы 13 "Химический комплекс" государственной программы Российской Федерации "Развитие промышленности и повышение ее конкурентоспособности" Паспорт подпрограммы 14 "Развитие производства композиционных материалов (композитов) и изделий из них" государственной программы Российской Федерации "Развитие промышленности и повышение ее конкурентоспособности" Паспорт подпрограммы 15 "Развитие промышленности редких и редкоземельных металлов" государственной программы Российской Федерации "Развитие промышленности и повышение ее конкурентоспособности" Паспорт подпрограммы 16 "Современные средства индивидуальной защиты и системы жизнеобеспечения подземного персонала угольных шахт" государственной программы Российской Федерации "Развитие промышленности и повышение ее конкурентоспособности" Паспорт подпрограммы 17 "Обеспечение реализации государственной программы" государственной программы Российской Федерации "Развитие промышленности и повышение ее конкурентоспособности" Паспорт подпрограммы 18 "Промышленные биотехнологии" государственной программы Российской Федерации "Развитие промышленности и повышение ее конкурентоспособности" Паспорт подпрограммы 19 "Развитие инжиниринговой деятельности и промышленного дизайна" государственной программы Российской Федерации "Развитие промышленности и повышение ее конкурентоспособности" Паспорт подпрограммы 20 "Индустриальные парки" государственной программы Российской Федерации "Развитие промышленности и повышение ее конкурентоспособности" Паспорт подпрограммы 21 "Индустрия детских товаров" государственной программы Российской Федерации "Развитие промышленности и повышение ее конкурентоспособности" I. Описание приоритетов и целей государственной политики, в том числе общие требования к государственной политике субъектов Российской Федерации в соответствующей сфере II. Результаты реализации Программы Приложение № 1. Перечень ведомственных целевых программ и основных мероприятий государственной программы Российской Федерации "Развитие промышленности и повышение ее конкурентоспособности" Приложение № 2. Сведения о мерах правового регулирования в сфере реализации государственной программы Российской Федерации "Развитие промышленности и повышение ее конкурентоспособности" Приложение № 3. Сведения о показателях (индикаторах) государственной программы Российской Федерации "Развитие промышленности и повышение ее конкурентоспособности" Приложение № 4. Ресурсное обеспечение реализации государственной программы Российской Федерации "Развитие промышленности и повышение ее конкурентоспособности" за счет бюджетных ассигнований федерального бюджета |
| Утверждён: | 15.04.2014 Правительство Российской Федерации (328) |
| Издан: | Официальный интернет-портал правовой информации (www.pravo.gov.ru) (от 24.04.2014 г. Номер опубликования: 0001201404240003) |
| Список изменений: |
|
| Нормативные ссылки: |














































































































































































































































































































































































Текстовое изменение № 1 от 18.04.2017



















































































































































































































































Текстовое изменение № 2 от 21.02.2018





Текстовое изменение № 3 от 13.04.2018

























































































































































































































































































































































Текстовое изменение № 4 от 11.10.2018






Текстовое изменение № 5 от 26.12.2018



















Текстовое изменение № 6 от 16.04.2019







































































































































































































































































































































Текстовое изменение № 7 от 17.12.2019


















Текстовое изменение № 8 от 31.12.2019





Текстовое изменение № 9 от 15.04.2020

































































































































































































































