Скачать Типовой проект 901-5-39.87 Альбом VI. Ведомости потребности в материалахДата актуализации: 01.01.2021
|
| Обозначение: | Типовой проект 901-5-39.87 |
| Обозначение англ: | 901-5-39.87 |
| Статус: | не определен законодательством |
| Название рус.: | Альбом VI. Ведомости потребности в материалах |
| Дата добавления в базу: | 01.10.2014 |
| Дата актуализации: | 01.01.2021 |
| Дата введения: | 27.05.1986 |
| Дата окончания срока действия: | 30.06.2003 |
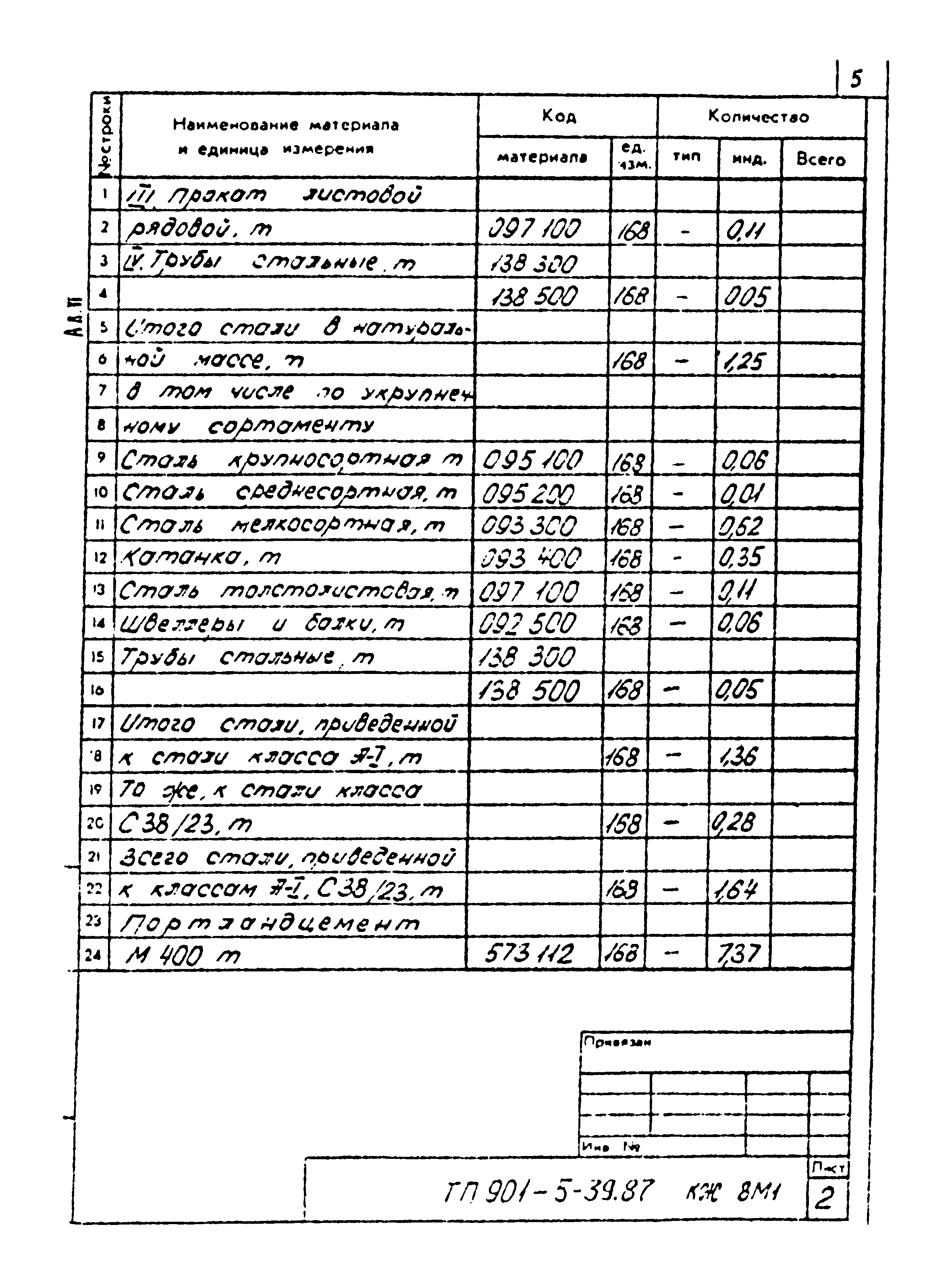
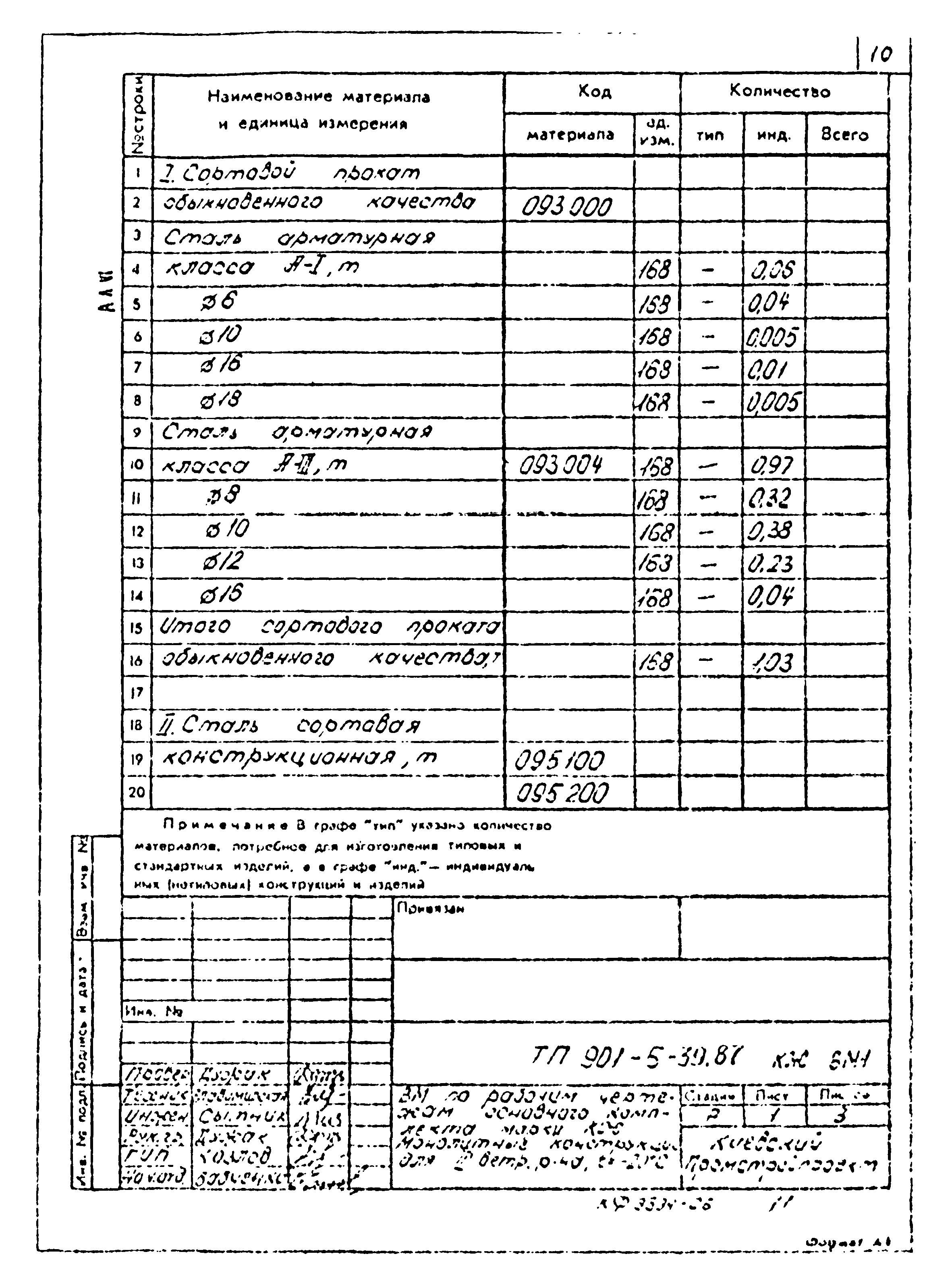
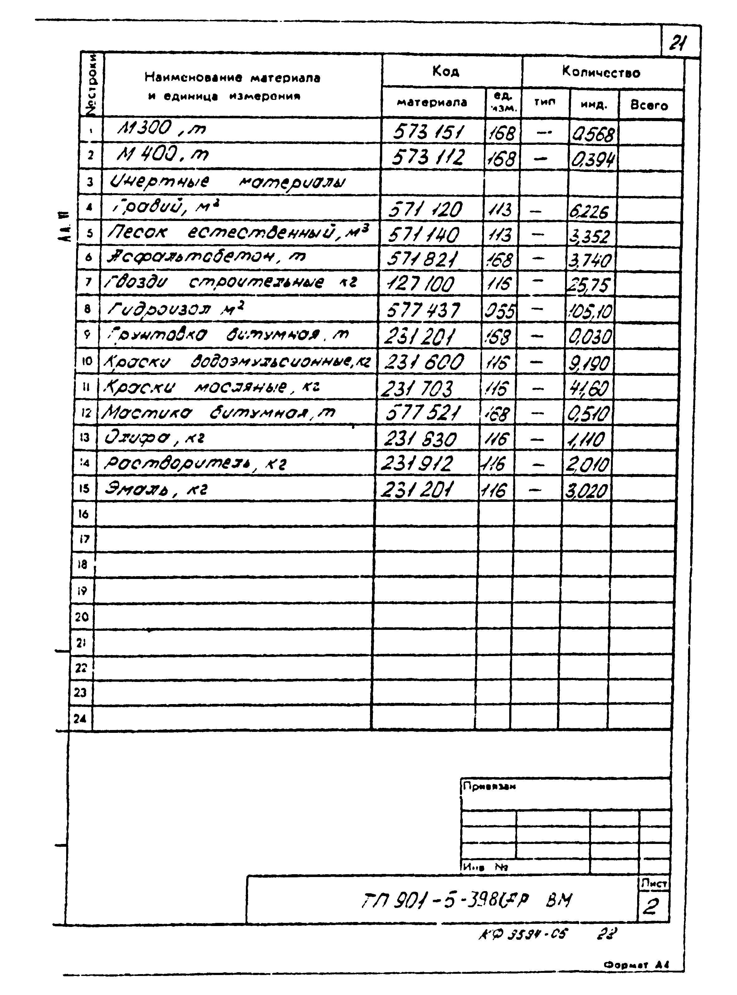
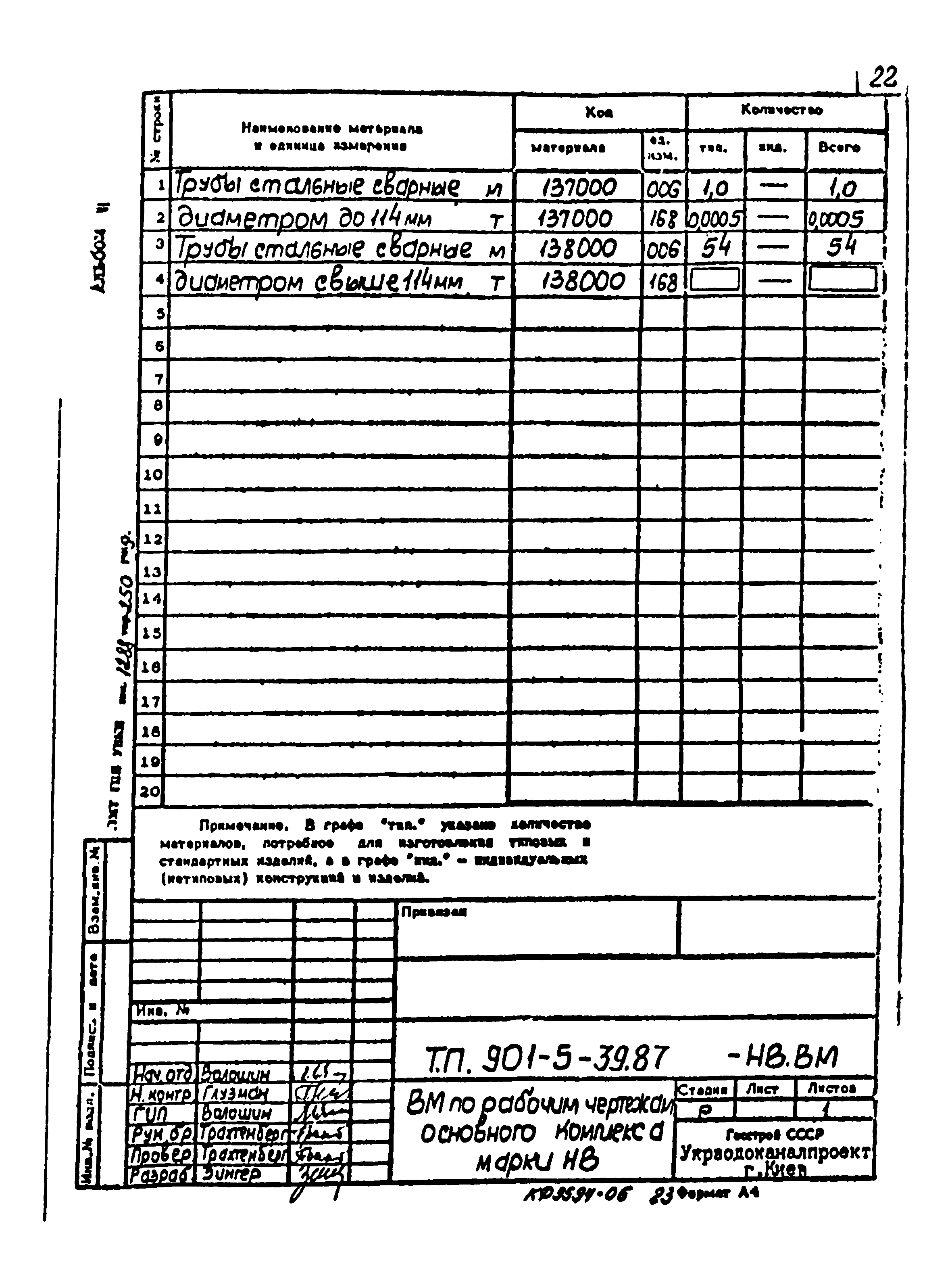
| Оглавление: | Содержание альбома КЖ.ВМ1 Ведомость потребности в материалах по рабочим чертежам основного комплекта марки КЖ. Монолитные конструкции для II ветрового района, t = минус 20 градусов Цельсия КЖ.ВМ1 Ведомость потребности в материалах по рабочим чертежам основного комплекта марки КЖ. Монолитные конструкции для II ветрового района, t = минус 30 градусов Цельсия КЖ.ВМ1 Ведомость потребности в материалах по рабочим чертежам основного комплекта марки КЖ. Монолитные конструкции для III ветрового района, t = минус 20 градусов Цельсия КЖ.ВМ1 Ведомость потребности в материалах по рабочим чертежам основного комплекта марки КЖ. Монолитные конструкции для III ветрового района, t = минус 30 градусов Цельсия КЖ.ВМ2 Ведомость потребности в материалах по рабочим чертежам основного комплекта марки КЖ. Сборные конструкции для II ветрового района КЖ.ВМ2 Ведомость потребности в материалах по рабочим чертежам основного комплекта марки КЖ. Сборные конструкции для III ветрового района АР.ВМ Ведомость потребности в материалах по рабочим чертежам основного комплекта марки АР НВ.ВМ Ведомость потребности в материалах по рабочим чертежам основного комплекта марки НВ ЭЛ.ВМ Ведомость потребности в материалах по рабочим чертежам основного комплекта марки ЭЛ ЭЛ.ВП Ведомость потребности в монтажных изделиях по рабочим чертежам основного комплекта марки ЭЛ |
| Разработан: | Киевский Промстройпроект |
| Утверждён: | 29.04.1986 Госстрой СССР (АЧ-25) |

























