Скачать ГОСТ ISO 21549-8-2013 Информатизация здоровья. Структура данных на пластиковой карте пациента. Часть 8. СсылкиДата актуализации: 01.01.2021
|
| Обозначение: | ГОСТ ISO 21549-8-2013 |
| Обозначение англ: | 21549-8-2013 |
| Статус: | введен впервые |
| Название рус.: | Информатизация здоровья. Структура данных на пластиковой карте пациента. Часть 8. Ссылки |
| Название англ.: | Health informatics. Patient health card data. Part 8. Links |
| Дата добавления в базу: | 21.05.2015 |
| Дата актуализации: | 01.01.2021 |
| Дата введения: | 01.07.2015 |
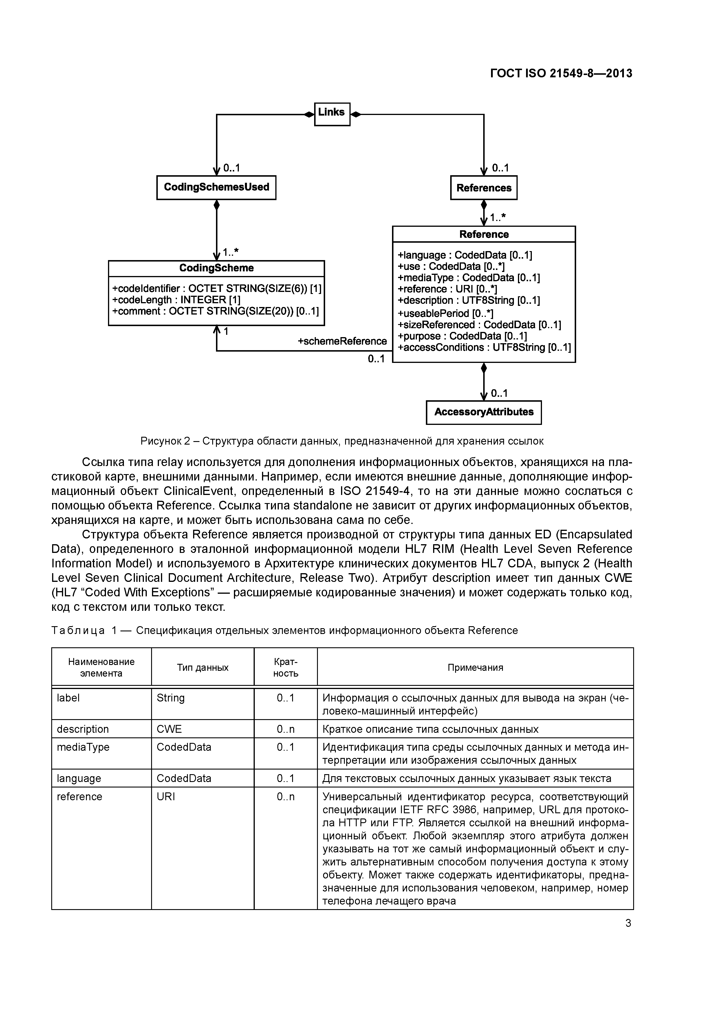
| Область применения: | В стандарте определен способ облегчения доступа к распределенным данным о здоровье или к административной информации с помощью пластиковой карты пациента. В нем определены структура и элементы ссылок, обычно хранящихся на пластиковой карте и задающих связи с конкретными записями о здоровье пациента или с их субкомпонентами. Механизмы контроля доступа, защиты данных, а также методы доступа и другие средства обеспечения безопасности данных не входят в область применения стандарта. |
| Оглавление: | 1 Область применения 2 Нормативные ссылки 3 Термины и определения 4 Условные обозначения и сокращения 5 Требования 6 Структура Приложение А (обязательное) Описание данных на языке ASN.1 Приложение В (справочное) Примеры Приложение ДА (справочное) Сведения о соответствии ссылочных международных стандартов межгосударственным стандартам Библиография |
| Разработан: | ООО Корпоративные электронные системы ЦНИИОИЗ Росздрава ФБУ Консультационно-внедренческая фирма в области международной стандартизации и сертификации - Фирма ИНТЕРСТАНДАРТ |
| Утверждён: | 05.11.2013 Межгосударственный Совет по стандартизации, метрологии и сертификации (Inter-Governmental Council on Standardization, Metrology, and Certification 61-П) 03.06.2014 Федеральное агентство по техническому регулированию и метрологии (495-ст) |
| Издан: | Стандартинформ (2014 г. ) Стандартинформ (2018 г. ) |














