Скачать ГОСТ Р 56047-2014 Системы охранные телевизионные. Компрессия оцифрованных аудиоданных. Классификация. Общие требования и методы оценки алгоритмовДата актуализации: 01.01.2021
|
| Обозначение: | ГОСТ Р 56047-2014 |
| Обозначение англ: | GOST R 56047-2014 |
| Статус: | введен впервые |
| Название рус.: | Системы охранные телевизионные. Компрессия оцифрованных аудиоданных. Классификация. Общие требования и методы оценки алгоритмов |
| Название англ.: | Video surveillance systems. Digital audio data compression. Classification. General requirements and evaluation algorithm methods |
| Дата добавления в базу: | 12.02.2016 |
| Дата актуализации: | 01.01.2021 |
| Дата введения: | 01.09.2015 |
| Область применения: | Стандарт распространяется на цифровые системы охранные телевизионные и устанавливает классификацию, общие требования и методы оценки алгоритмов компрессии оцифрованных аудиоданных. Стандарт устанавливает методику сравнения различных алгоритмов компрессии и декомпрессии оцифрованных аудиоданных. Стандарт применяют к алгоритмам компрессии и декомпрессии аудиоданных независимо от их реализации на аппаратном уровне. Стандарт применяют совместно c ГОСТ Р 51558. |
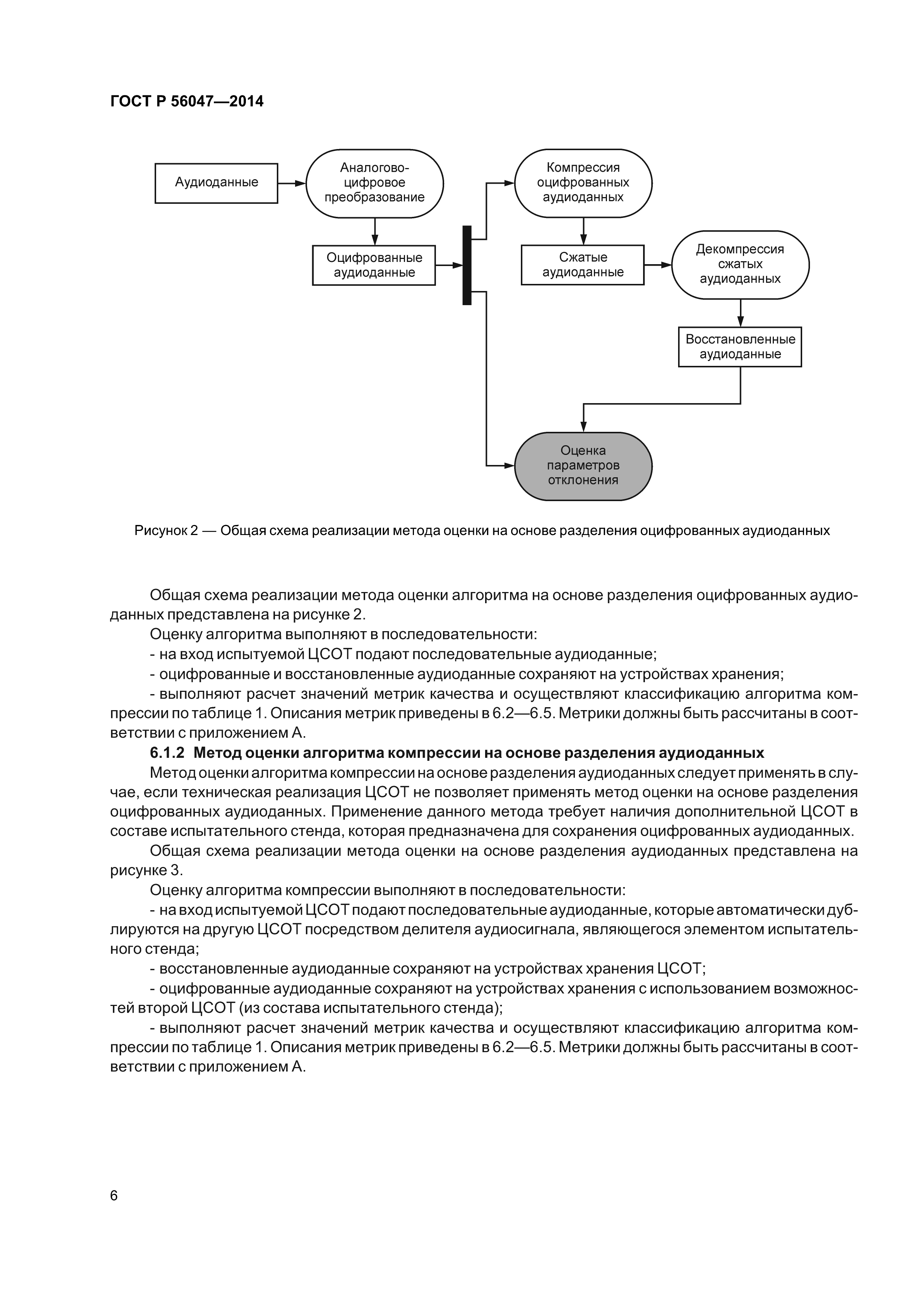
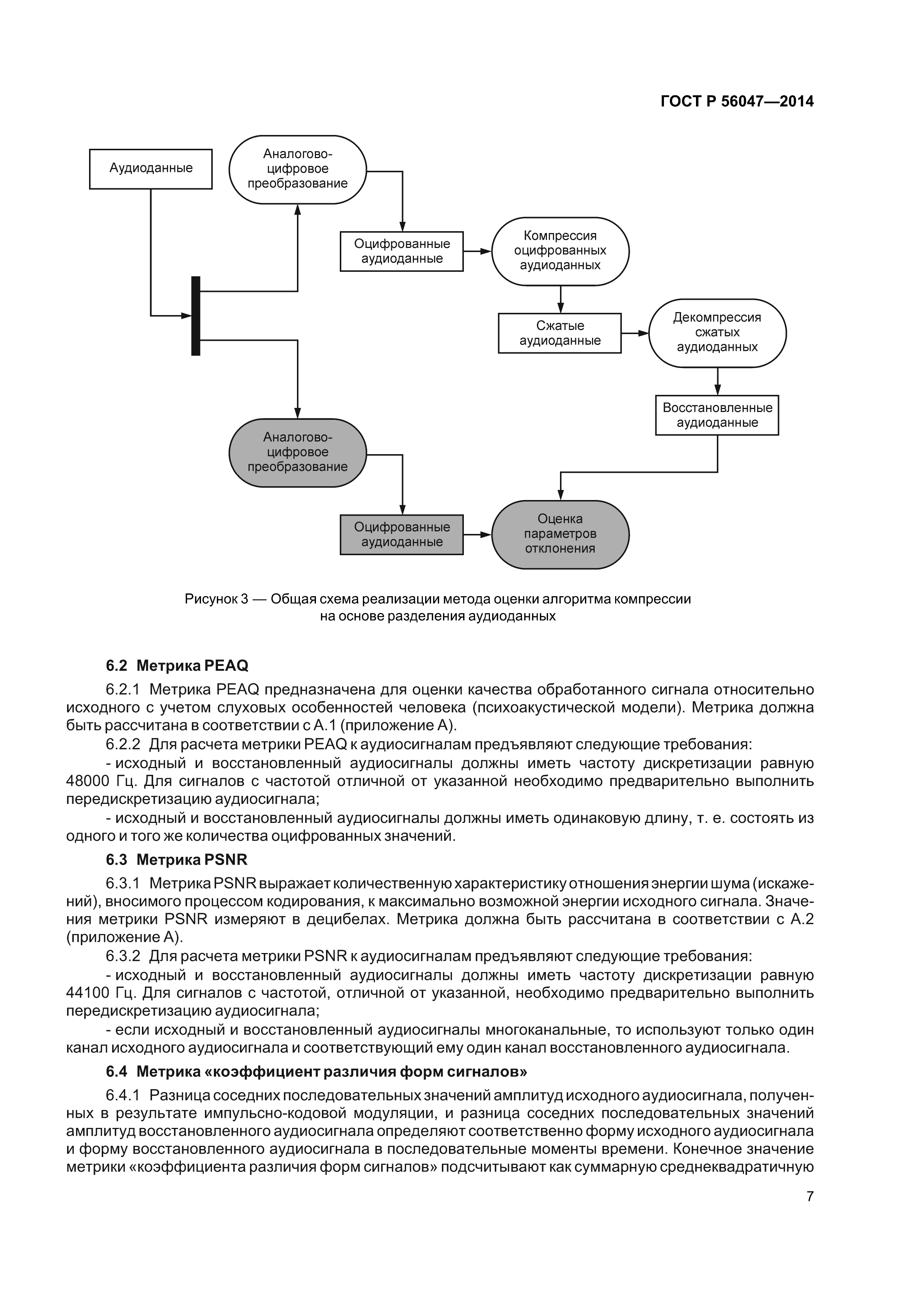
| Оглавление: | 1 Область применения 2 Нормативные ссылки 3 Термины и определения 4 Общие требования 5 Классификация 6 Методы оценки алгоритмов компрессии 6.1 Общее описание методов оценки 6.2 Метрика PEAQ 6.3 Метрика PSNR 6.4 Метрика «коэффициент различия форм сигналов» 6.5 Метрика «коэффициент сжатия» 7 Методы сравнения алгоритмов компрессии оцифрованных аудиоданных Приложение А (обязательное) Математическое описание алгоритмов расчета метрик оценки качества алгоритмов компрессии аудиоданных А.1 Алгоритм расчета метрики PEAQ А.2 Алгоритм расчета метрики PSNR А.3 Алгоритм расчета метрики «коэффициент различия форм сигналов» А.4 Алгоритм расчета коэффициента сжатия Приложение Б (рекомендуемое) Листинги программ расчета метрик качества аудиоданных Б.1 Листинг программы расчета метрики PEAQ на языке Matlab Б.2 Листинг программы расчета метрики PEAQ на языке С Б.3 Листинг программы расчета метрики PSNR на языке Matlab Б.4 Листинг программы расчета метрики PSNR на языке С Б.5 Листинг программы расчета метрики «Коэффициент различия форм сигналов» на языке Ма1аЬ Б.6 Листинг программы расчета метрики «Коэффициент различия форм сигналов» на языке С |
| Разработан: | ВНИИНМАШ ЗАО Нордавинд |
| Утверждён: | 30.06.2014 Федеральное агентство по техническому регулированию и метрологии (677-ст) |
| Издан: | Стандартинформ (2015 г. ) |
| Нормативные ссылки: |






























































































