Скачать ГОСТ Р ИСО 26262-3-2014 Дорожные транспортные средства. Функциональная безопасность. Часть 3. Стадия формирования концепцииДата актуализации: 01.01.2021
|
| Обозначение: | ГОСТ Р ИСО 26262-3-2014 |
| Обозначение англ: | GOST R ISO 26262-3-2014 |
| Статус: | введен впервые |
| Название рус.: | Дорожные транспортные средства. Функциональная безопасность. Часть 3. Стадия формирования концепции |
| Название англ.: | Road vehicles. Functional safety. Part 3. Concept phase |
| Дата добавления в базу: | 01.02.2017 |
| Дата актуализации: | 01.01.2021 |
| Дата введения: | 01.05.2015 |
| Область применения: | Стандарт применяется к связанным с безопасностью системам, включающим в себя одну или несколько электрических и/или электронных систем, которые установлены в серийно производимых легковых автомобилях с максимальной массой (брутто) транспортного средства до 3500 кг. |
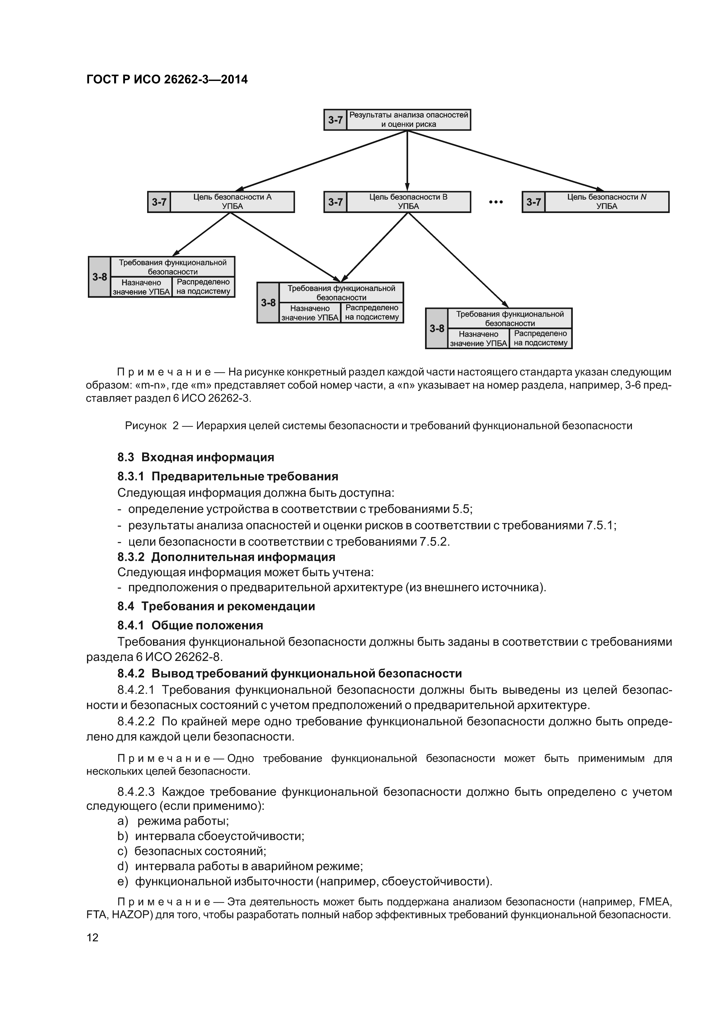
| Оглавление: | 1 Область применения 2 Нормативные ссылки 3 Термины, определения и сокращения 4 Требования соответствия настоящему стандарту 4.1 Общие требования 4.2 Интерпретация таблиц 4.3 Требования и рекомендации, зависимые от значения УПБА 5 Определение устройства 5.1 Цели 5.2 Общие положения 5.3 Входная информация 5.4 Требования и рекомендации 5.5 Результаты работы 6 Начальное формирование жизненного цикла системы безопасности 6.1 Цели 6.2 Общие положения 6.3 Входная информация 6.4 Требования и рекомендации 6.5 Результаты работы 7 Анализ опасностей и оценка рисков 7.1 Цель 7.2 Общие положения 7.3 Входная информация 7.4 Требования и рекомендации 7.5 Результаты работы 8 Концепция функциональной безопасности 8.1 Цель 8.2 Общие положения 8.3 Входная информация 8.4 Требования и рекомендации 8.5 Результаты работы Приложение А (справочное) Обзор и поток документов стадии формирования концепции Приложение В (справочное) Анализ опасностей и оценка рисков Приложение ДА (справочное) Сведения о соответствии ссылочных международных стандартов национальным стандартам Российской Федерации Библиография |
| Разработан: | Фирма Интерстандарт ООО Корпоративные электронные системы |
| Утверждён: | 10.06.2014 Федеральное агентство по техническому регулированию и метрологии (522-ст) |
| Издан: | Стандартинформ (2016 г. ) |






























