Скачать ГОСТ Р ИСО 26262-4-2014 Дорожные транспортные средства. Функциональная безопасность. Часть 4. Разработка изделия на уровне системыДата актуализации: 01.01.2021
|
| Обозначение: | ГОСТ Р ИСО 26262-4-2014 |
| Обозначение англ: | GOST R ISO 26262-4-2014 |
| Статус: | введен впервые |
| Название рус.: | Дорожные транспортные средства. Функциональная безопасность. Часть 4. Разработка изделия на уровне системы |
| Название англ.: | Road vehicles. Functional safety. Part 4. Product development at the system level |
| Дата добавления в базу: | 21.05.2015 |
| Дата актуализации: | 01.01.2021 |
| Дата введения: | 01.05.2015 |
| Область применения: | Стандарт применяется к связанным с безопасностью системам, включающим в себя одну или несколько электрических и/или электронных систем, которые установлены в серийно производимых легковых автомобилях с максимальной массой (брутто) транспортного средства до 3500 кг. Стандарт не применяется для уникальных электрических и/или электронных систем в транспортных средствах специального назначения, таких как транспортные средства, предназначенные для водителей с ограниченными возможностями. |
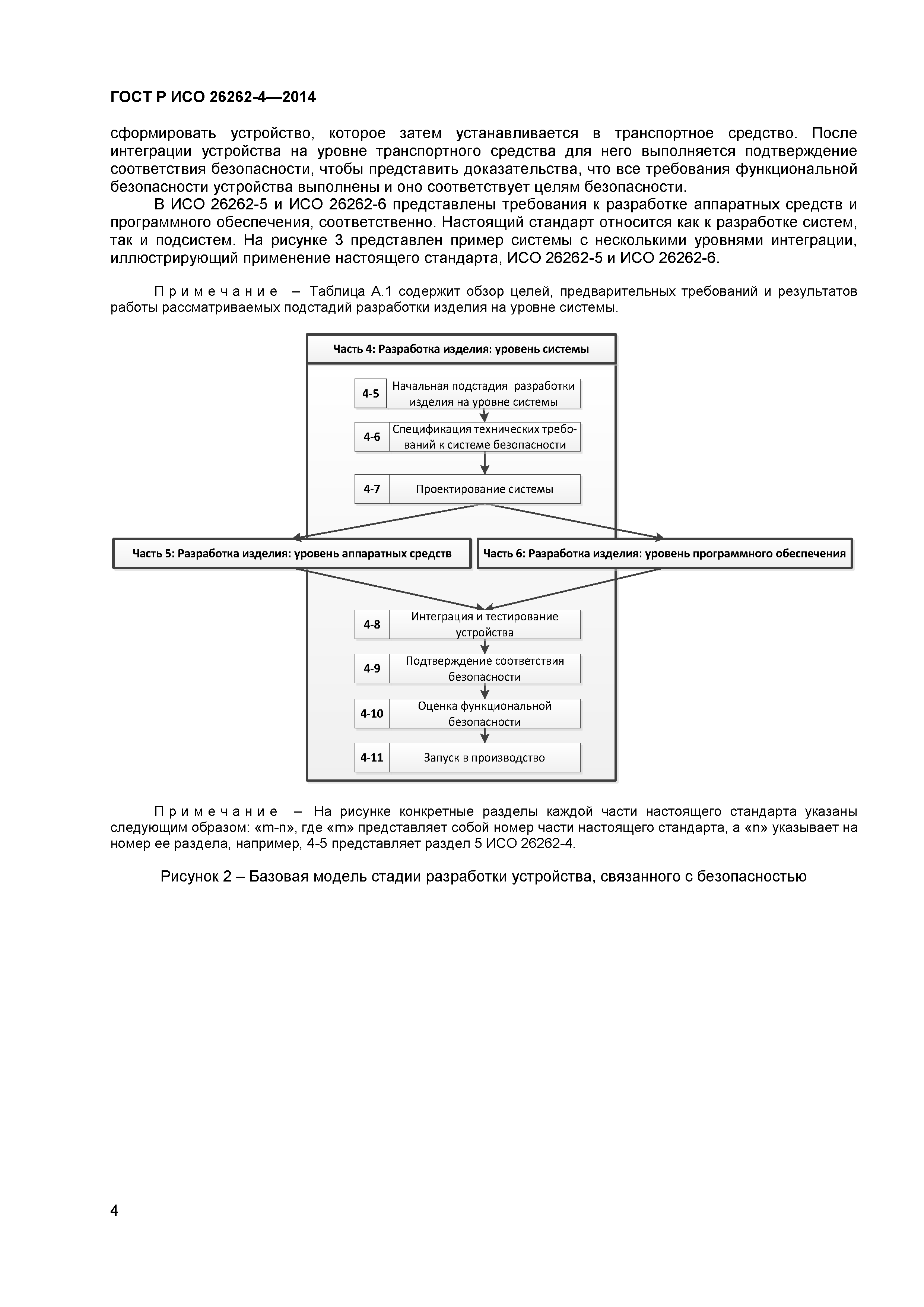
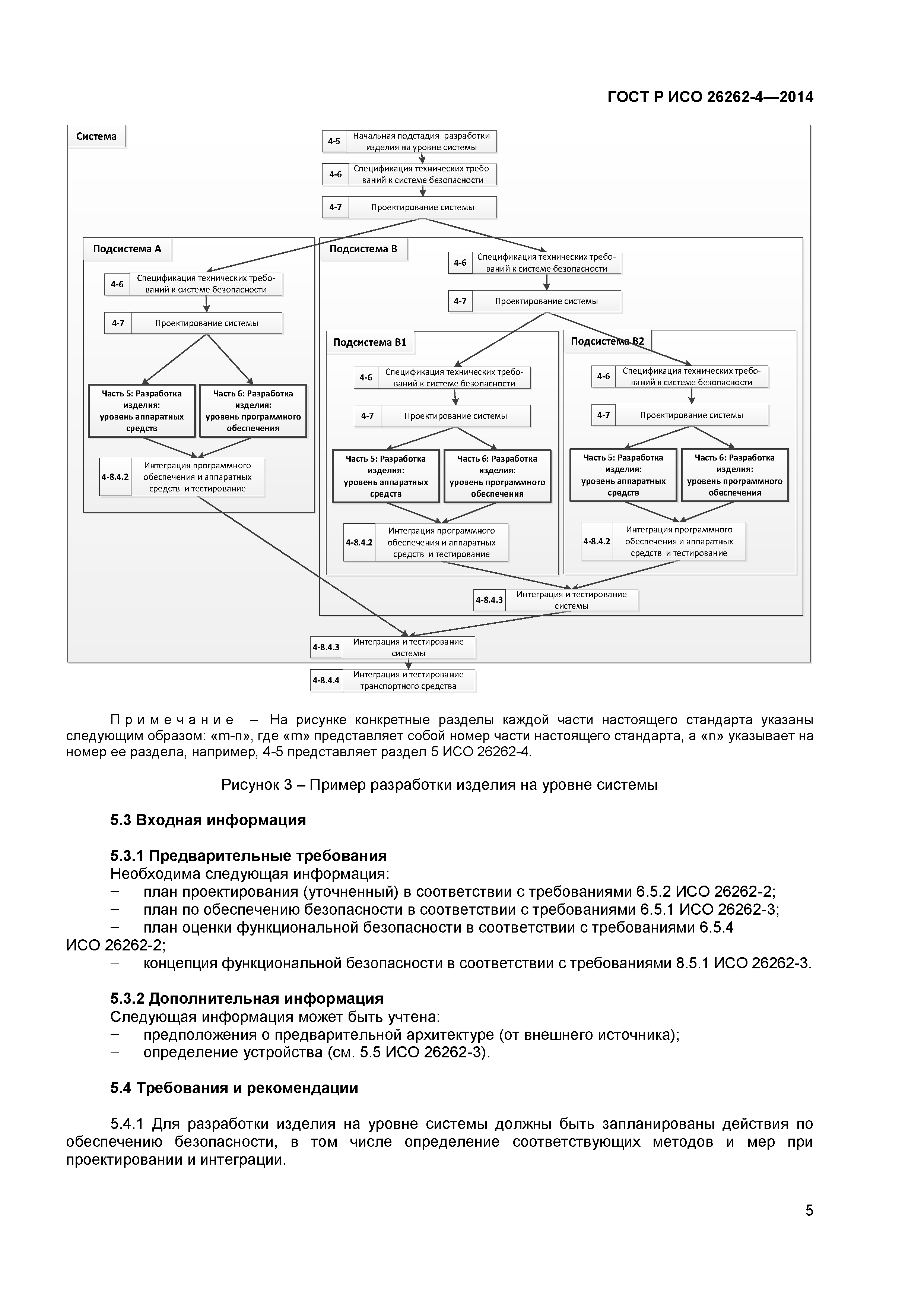
| Оглавление: | 1 Область применения 2 Нормативные ссылки 3 Термины, определения и сокращения 4 Требования соответствия настоящему стандарту 5 Начальная подстадия разработки изделия на уровне системы 6 Спецификация технических требований к системе безопасности 7 Проектирование системы 8 Интеграция и тестирование устройства 9 Подтверждение соответствия безопасности 10 Оценка функциональной безопасности 11 Запуск в производство Приложение А (справочное) Обзор и поток документов подстадии разработки изделия на уровне системы Приложение В (справочное) Пример содержания программно-аппаратного интерфейса Приложение ДА (справочное) Сведения о соответствии ссылочных международных стандартов и документов национальным стандартам Российской Федерации Библиография |
| Разработан: | ООО Корпоративные электронные системы ФГУ Консультационно-внедренческая фирма в области международной стандартизации и сертификации - Фирма ИНТЕРСТАНДАРТ |
| Утверждён: | 10.06.2014 Федеральное агентство по техническому регулированию и метрологии (523-ст) |
| Издан: | Стандартинформ (2015 г. ) |



































