Скачать ГОСТ Р 56073-2014 Воздушный транспорт. Система менеджмента безопасности авиационной деятельности (СМБ-АД). База данных. Структура базы данных. Общие требованияДата актуализации: 01.01.2021
|
| Обозначение: | ГОСТ Р 56073-2014 |
| Обозначение англ: | GOST R 56073-2014 |
| Статус: | введен впервые |
| Название рус.: | Воздушный транспорт. Система менеджмента безопасности авиационной деятельности (СМБ-АД). База данных. Структура базы данных. Общие требования |
| Название англ.: | Air transport. Safety management system of aviation activity of service providers. Database. Structure of database. General requirements |
| Дата добавления в базу: | 21.05.2015 |
| Дата актуализации: | 01.01.2021 |
| Дата введения: | 01.07.2015 |
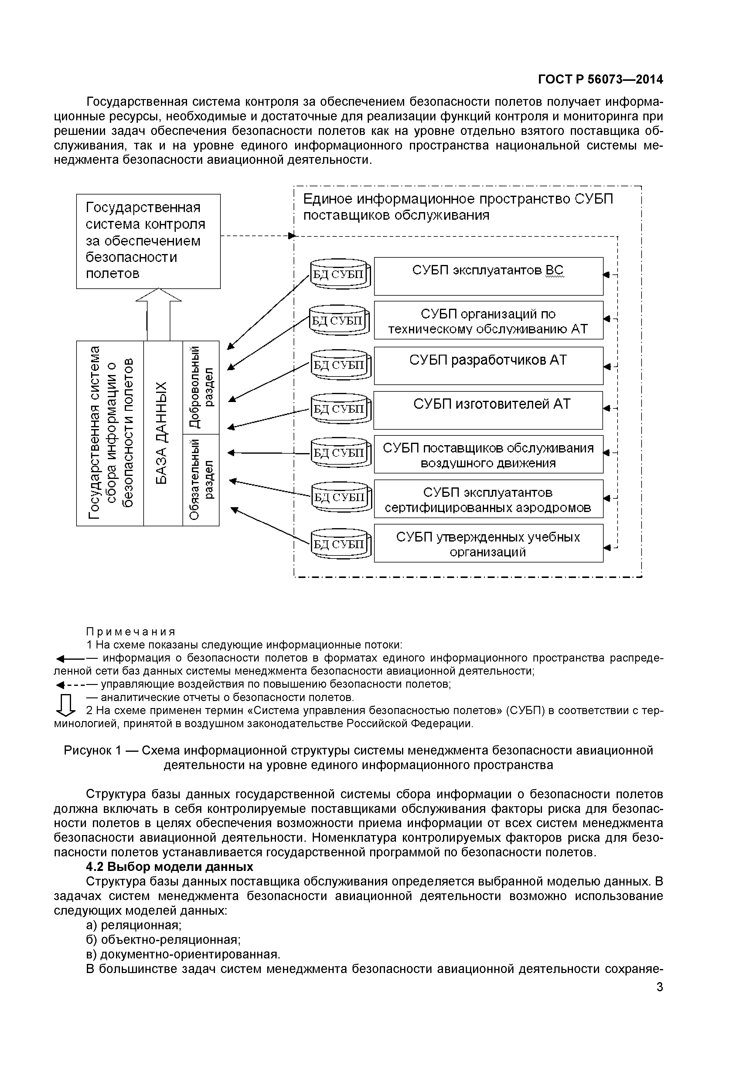
| Область применения: | Стандарт распространяется на базы данных систем менеджмента безопасности авиационной деятельности поставщиков обслуживания и устанавливает общие требования к структуре этих баз данных. |
| Оглавление: | 1 Область применения 2 Нормативные ссылки 3 Термины и определения 4 Требования к структуре базы данных |
| Разработан: | ФГУП ГосНИИ ГА |
| Утверждён: | 09.07.2014 Федеральное агентство по техническому регулированию и метрологии (811-ст) |
| Издан: | Стандартинформ (2015 г. ) |
| Нормативные ссылки: |
|






