Скачать ВСН 33-82/Миннефтепром Инструкция по проектированию инженерной подготовки территорий для нефтепромыслового строительства в районах распространения вечномерзлых грунтовДата актуализации: 01.01.2021
|
| Обозначение: | ВСН 33-82/Миннефтепром |
| Обозначение англ: | VSN 33-82/Миннефтепром |
| Статус: | введен впервые |
| Название рус.: | Инструкция по проектированию инженерной подготовки территорий для нефтепромыслового строительства в районах распространения вечномерзлых грунтов |
| Дата добавления в базу: | 01.10.2014 |
| Дата актуализации: | 01.01.2021 |
| Дата введения: | 01.01.1983 |
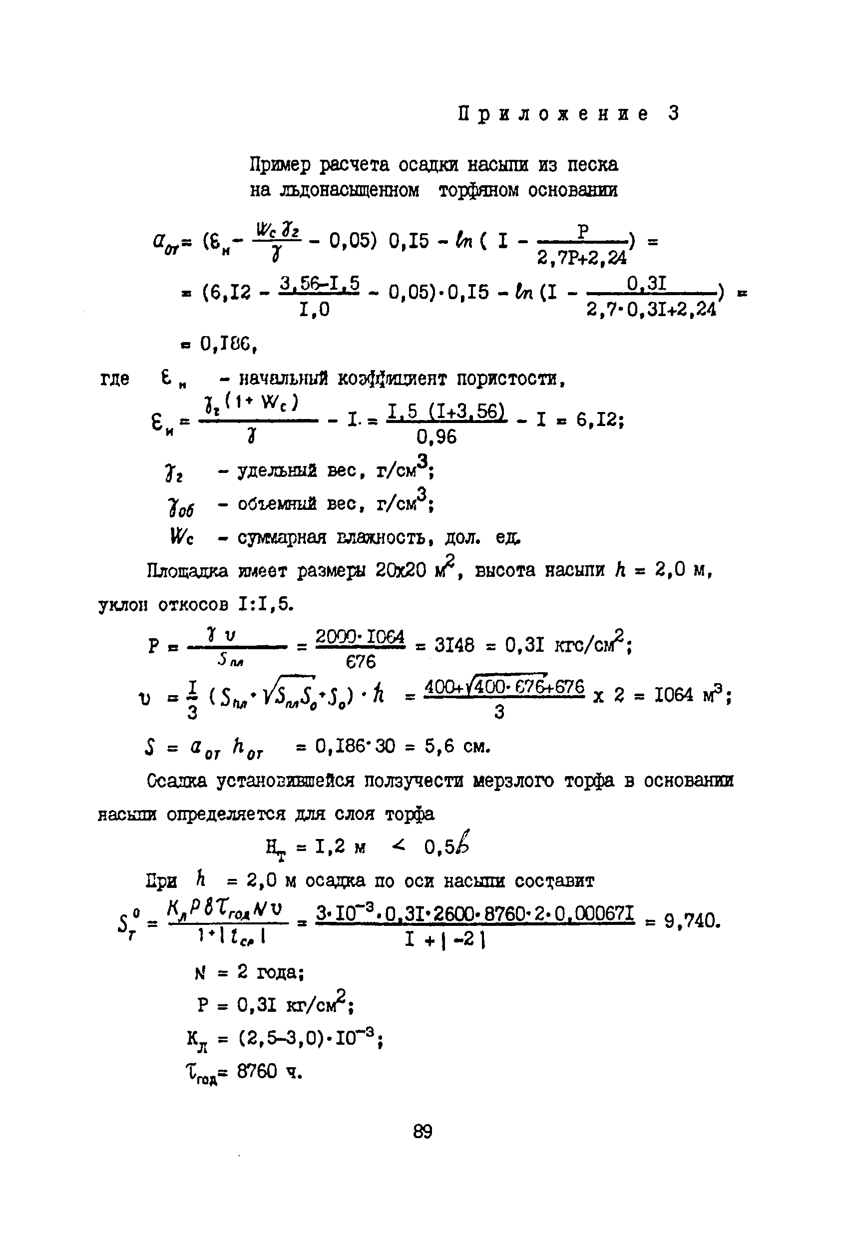
| Область применения: | Инструкция содержит требования к проектированию инженерной подготовки территории для нефтепромыслового строительства в районах распространения вечномерзлых грунтов. В нее включены методы приведения застраиваемых территорий к однородному мерзлотному состоянию; мероприятия по вертикальной планировке территории и организации поверхностного стока, борьбе с наледеобразованием и пучением, противотермокарстовой защите территории; требования к конструированию и теплотехническому расчету теплоизолирующих насыпей, а также требования к организации и технологии производства работ. |
| Оглавление: | 1. Общие положения 2. Методы инженерной подготовки территории, обоснование и выбор 3. Методы приведения застраиваемых территорий к однородному мерзлотному состоянию 4. Вертикальная планировка территории и организации поверхностного стока 5. Противотермокарстовая защита территории, мероприятия по предотвращению пучения и наледеобразования 6. Конструирование теплоизолирующих насыпей 7. Расчет температурного режима и деформации насыпей 8. Особенности организации и технологии производства работ по инженерной подготовке строительных площадок Приложение 1. Методология расчета климатических характеристик и теплофизических свойств грунтов Приложение 2. Примеры теплотехнического расчета насыпей Приложение 3. Пример расчета осадки насыпи из песка на льдонасыщенном торфяном основании Приложение 4. Таблица приведения принятых обозначений к единицам СИ |
| Разработан: | Гипротюменьнефтегаз Омский филиал Союздорнии ПечорНИИнефти Главзарубежпромстрой СИБНИИ |
| Утверждён: | 17.06.1982 Миннефтепром (Minnefteprom ) |
| Принят: | 27.07.1982 Госстрой СССР (1-1665) |
| Нормативные ссылки: |




























































































