Скачать ГОСТ Р 56096-2014 Система передачи космических данных и информации. Пакетная телеметрияДата актуализации: 01.01.2021
|
| Обозначение: | ГОСТ Р 56096-2014 |
| Обозначение англ: | GOST R 56096-2014 |
| Статус: | введен впервые |
| Название рус.: | Система передачи космических данных и информации. Пакетная телеметрия |
| Название англ.: | System of transfer of the space data and the information. Package telemetry |
| Дата добавления в базу: | 21.05.2015 |
| Дата актуализации: | 01.01.2021 |
| Дата введения: | 01.03.2015 |
| Область применения: | Стандарт устанавливает правила построения и организации информационных систем, использующих принципы пакетной передачи данных в измерительных системах на объектах и изделиях ракетно-космической техники и наземной космической инфраструктуры. Стандарт может быть также применен при разработке стандартов организаций. Для использования настоящего стандарта при организации информационных систем, использующих принципы пакетной передачи данных, рекомендуется указывать в соответствующей ссылке, в какой части стандарт следует применять в отношении стандартов данной организации. Стандарт применяется при создании, производстве и эксплуатации изделий космической техники по международным договорам и в ходе реализации международных проектов и программ при условии согласия всех заинтересованных сторон, а также в случаях, когда его применение предписано требованиями технического задания на выполнение работ. |
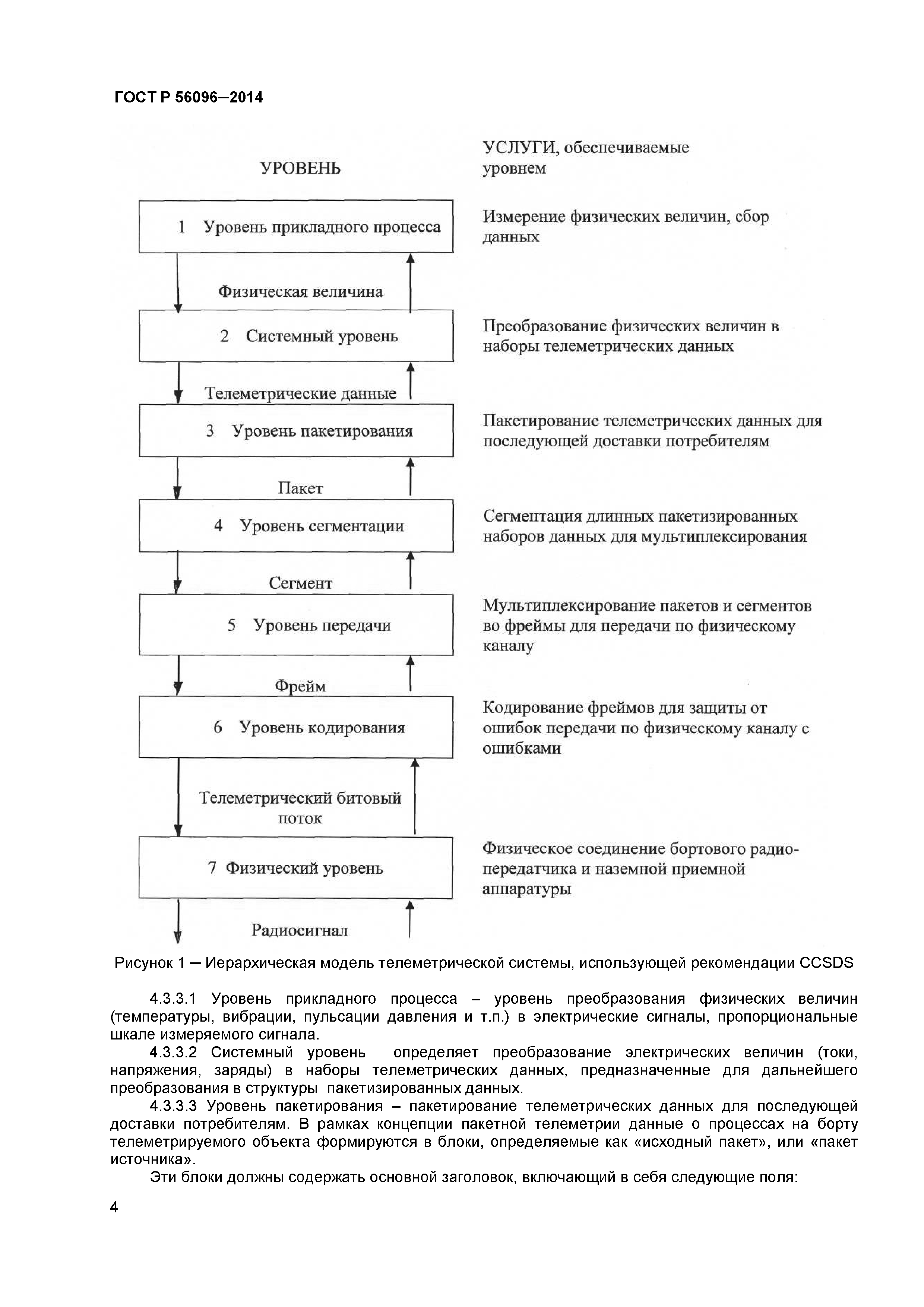
| Оглавление: | 1 Область применения 2 Термины, определения и сокращения 3 Основные положения 4 Структура информационной системы 5 Структура и содержание пакетов Библиография |
| Разработан: | ОАО НПО ИТ |
| Издан: | Стандартинформ (2015 г. ) |



















