Скачать ГОСТ 17229-2014 Самолеты пассажирские и транспортные. Метод определения уровней шума, создаваемого на местностиДата актуализации: 01.01.2021
|
| Обозначение: | ГОСТ 17229-2014 |
| Обозначение англ: | GOST 17229-2014 |
| Статус: | взамен |
| Название рус.: | Самолеты пассажирские и транспортные. Метод определения уровней шума, создаваемого на местности |
| Название англ.: | Passenger and transport aeroplanes. Method for determination of noise levels generated on ground |
| Дата добавления в базу: | 21.05.2015 |
| Дата актуализации: | 01.01.2021 |
| Дата введения: | 01.01.2015 |
| Область применения: | Стандарт распространяется на дозвуковые пассажирские и транспортные самолеты с турбореактивными или турбореактивными двухконтурными двигателями всех массовых категорий с длиной взлетно-посадочной полосы (ВПП) более 610 м, и на самолеты с поршневыми, турбовинтовыми и трубовинтовентиляторными двигателями со взлетной массой более 5700 кг. Стандарт устанавливает метод определения уровней шума, создаваемого вышеуказанными самолетами на местности при взлете, наборе высоты и снижении на посадку. |
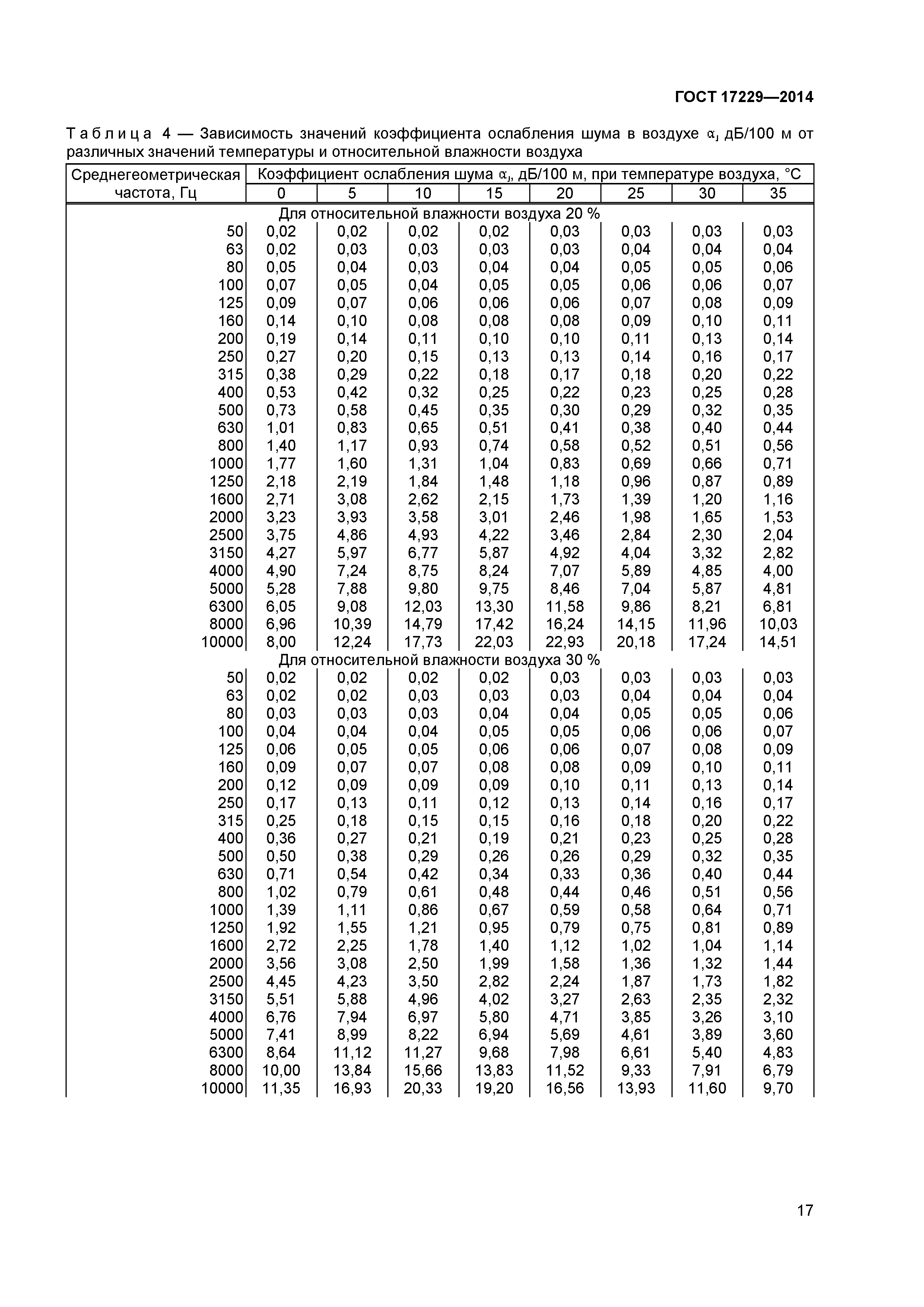
| Оглавление: | 1 Область применения 2 Нормативные ссылки 3 Исходные условия приведения результатов измерений 4 Условия проведения летных испытаний 5 Контрольно-измерительная аппаратура 6 Методика проведения летных испытаний и измерений шума 7 Расчет эффективных уровней воспринимаемого шума по данным измерений Приложение А (обязательное) Методика определения положения контрольной точки сбоку от взлётно-посадочной полосы Приложение Б (обязательное) Состав и требования к контрольно-измерительной аппаратуре Приложение В (рекомендуемое) Эквивалентные методы испытаний Приложение Г (рекомендуемое) Математическое описание таблиц воспринимаемой шумности (для расчетов на ЭВМ) Приложение Д (рекомендуемое) Пример расчета поправки С на тональность Приложение Е (рекомендуемое) Характерные точки и расстояния, связанные с траекторией полета Приложение Ж (обязательное) Метод расчета ослабления звука в воздухе Приложение И (обязательное) Метод расчета среднего значения эффективного уровня воспринимаемого шума EPNL и его доверительного интервала |
| Разработан: | ФГУП НИИСУ |
| Утверждён: | 28.03.2014 Межгосударственный Совет по стандартизации, метрологии и сертификации (Inter-Governmental Council on Standardization, Metrology, and Certification 65-П) 17.10.2014 Федеральное агентство по техническому регулированию и метрологии (1353-ст) |
| Издан: | Стандартинформ (2015 г. ) |
| Заменяет собой: | |
| Нормативные ссылки: |






































