Скачать ГОСТ Р 56164-2014 Выбросы загрязняющих веществ в атмосферу. Метод расчета выбросов при сварочных работах на основе удельных показателейДата актуализации: 01.01.2021
|
| Обозначение: | ГОСТ Р 56164-2014 |
| Обозначение англ: | GOST R 56164-2014 |
| Статус: | введен впервые |
| Название рус.: | Выбросы загрязняющих веществ в атмосферу. Метод расчета выбросов при сварочных работах на основе удельных показателей |
| Название англ.: | Air pollution emissions. Method of calculating emissions during welding work on the basis of relative rates |
| Дата добавления в базу: | 12.02.2016 |
| Дата актуализации: | 01.01.2021 |
| Дата введения: | 01.07.2015 |
| Область применения: | Стандарт устанавливает метод расчета выбросов загрязняющих веществ в атмосферу при проведении сварочных работ и распространяется на источники выбросов загрязняющих веществ в атмосферу от процессов сварочного производства различных отраслей промышленности и сельского хозяйства. Стандарт предназначен для определения расчетных значений выбросов в атмосферу и их применения в следующих случаях: - при проведении инвентаризации выбросов загрязняющих веществ в атмосферу в процессе сварочных работ; - при разработке нормативов предельно допустимых значений выбросов загрязняющих веществ для предприятий (организаций), осуществляющих сварочные работы; - при разработке проектной документации на строительство новых и реконструкцию действующих производств, в состав которых входит технологическое оборудование и установки для проведения сварочных работ, оснащенные стационарными дизельными установками. |
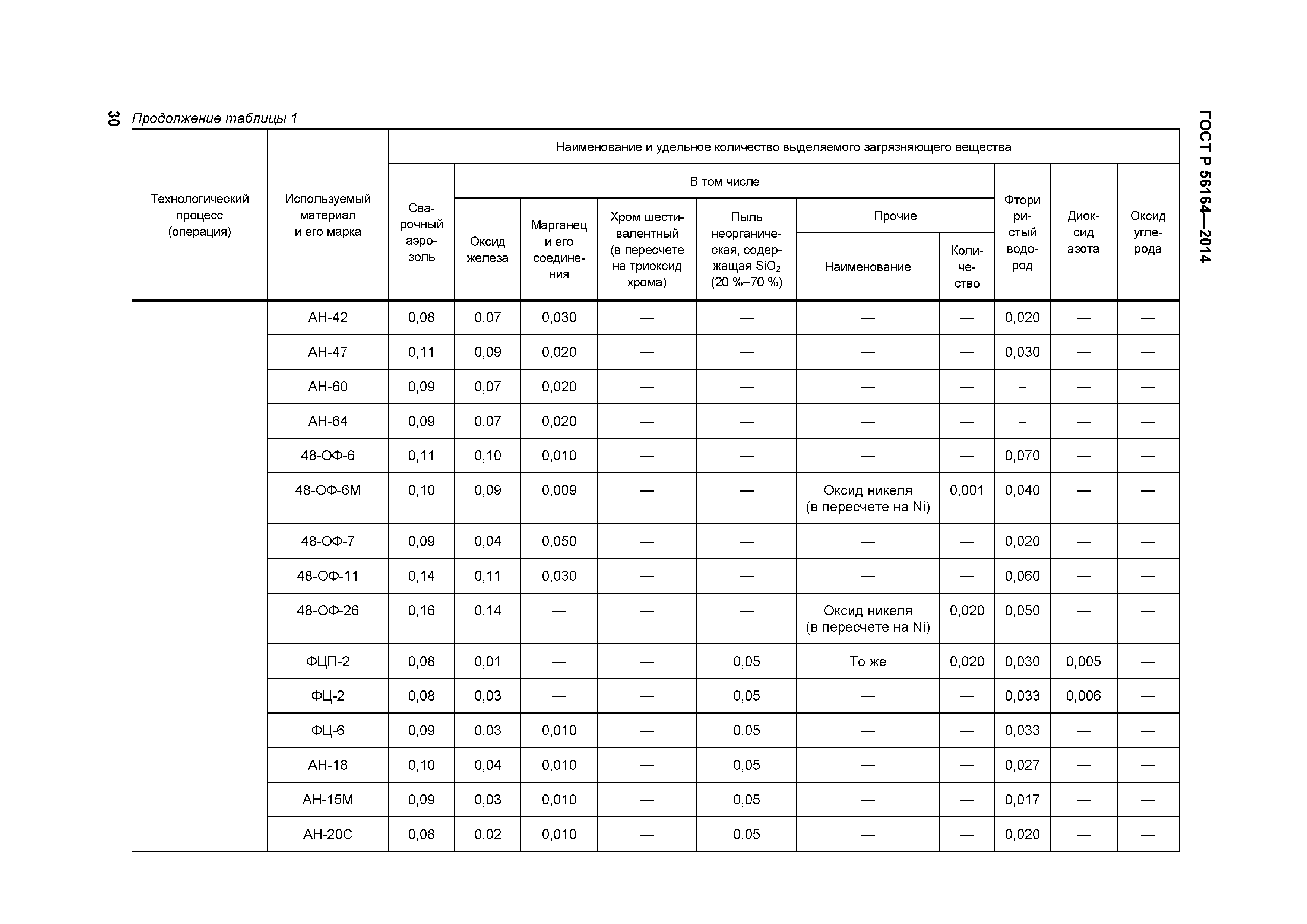
| Оглавление: | 1 Область применения 2 Общие положения 3 Расчеты выбросов при проведении сварочных работ 4 Расчеты выбросов при резке металлов 5 Расчет количества загрязняющих веществ, выделяемых в атмосферу в процессе сварки, наплавки, напыления, металлизации |
| Разработан: | ОАО НИИ Атмосфера |
| Утверждён: | 14.10.2014 Федеральное агентство по техническому регулированию и метрологии (1322-ст) |
| Издан: | Стандартинформ (2015 г. ) |














































