Скачать ГОСТ Р 56188.1-2014 Технологии топливных элементов. Часть 1. ТерминологияДата актуализации: 01.01.2021
|
| Обозначение: | ГОСТ Р 56188.1-2014 |
| Обозначение англ: | GOST R 56188.1-2014 |
| Статус: | введен впервые |
| Название рус.: | Технологии топливных элементов. Часть 1. Терминология |
| Название англ.: | Fuel cell technologies. Part 1. Terminology |
| Дата добавления в базу: | 21.05.2015 |
| Дата актуализации: | 01.01.2021 |
| Дата введения: | 01.05.2015 |
| Область применения: | Стандарт содержит единообразную терминологию, представленную в форме схем и определений, которые имеют отношение к технологиям топливных элементов, включая стационарные, переносные и портативные энергоустановки, а также энергетические системы на микро топливных элементах. В разделе не приводятся термины, которые можно найти в стандартных словарях, технических справочниках или в МЭК 60050. |
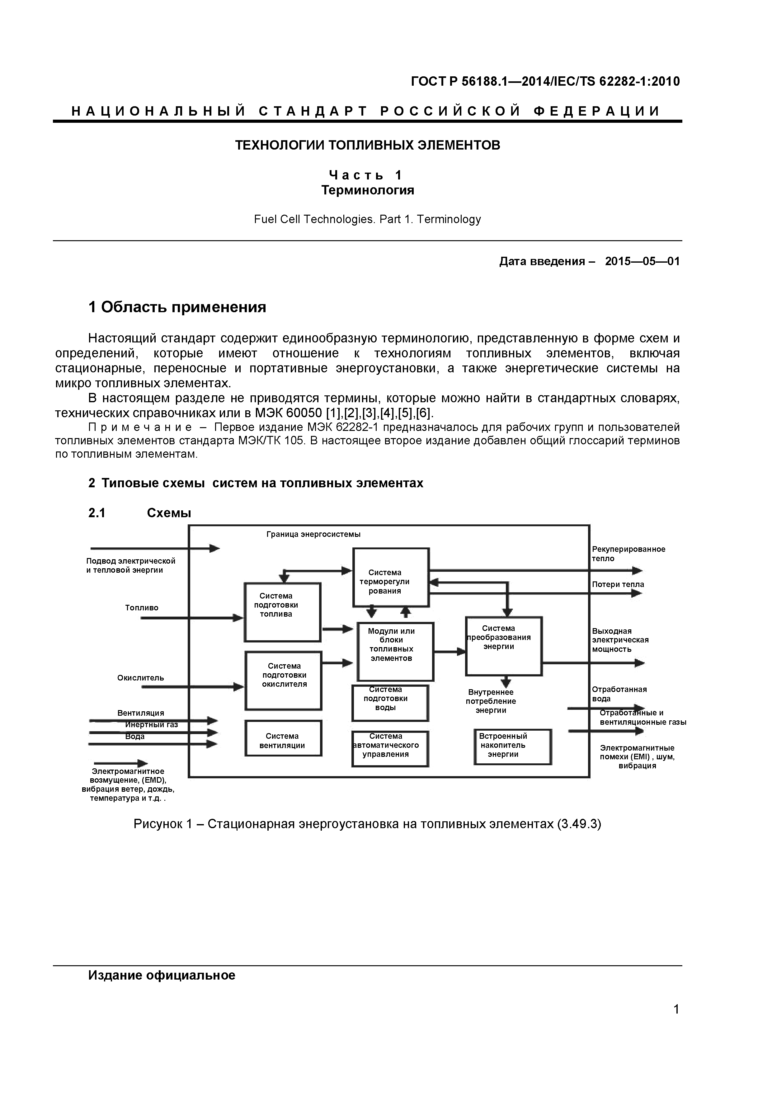
| Оглавление: | 1 Область применения 2 Типовые схемы систем на топливных элементах 3 Термины и определения Библиография Алфавитный указатель |
| Разработан: | НП НАВЭ |
| Утверждён: | 24.10.2014 Федеральное агентство по техническому регулированию и метрологии (1413-ст) |
| Издан: | Стандартинформ (2015 г. ) |

























