Скачать ГОСТ Р ИСО 17573-2014 Электронный сбор платежей. Архитектура систем для взимания платы за проезд транспортных средствДата актуализации: 01.01.2021
|
| Обозначение: | ГОСТ Р ИСО 17573-2014 |
| Обозначение англ: | GOST R ISO 17573-2014 |
| Статус: | введен впервые |
| Название рус.: | Электронный сбор платежей. Архитектура систем для взимания платы за проезд транспортных средств |
| Название англ.: | Electronic fee collection. Systems architecture for vehicle related tolling |
| Дата добавления в базу: | 12.02.2016 |
| Дата актуализации: | 01.01.2021 |
| Дата введения: | 01.06.2015 |
| Область применения: | Стандарт определяет архитектуру системной среды взимания платы за проезд, в которой пользователь одной системы конкретного производителя сможет использовать весь набор имеющихся систем любого оператора на различных участках улично-дорожной сети. Системы взимания платы, включенные в настоящий стандарт, могут использоваться для различных целей: взимание платы за проезд через определенные участки улично-дорожной сети, взимание платы за проезд через мост, тоннель, оплата за перевозки на пароме, плата за доступ и парковочные места. С технической точки зрения данные системы реализуются за счет использования электронного бортового оборудования. |
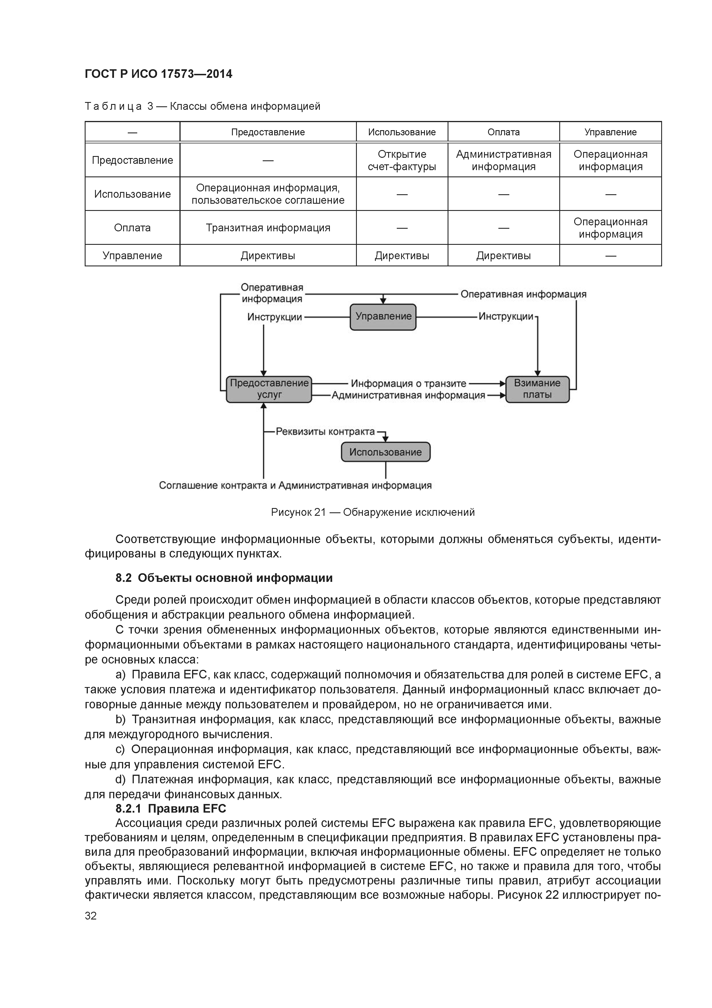
| Оглавление: | 1 Область применения 2 Нормативные ссылки 3 Термины и определения 4 Сокращения и символы 5 Состав системы электронного сбора платы (EFC): цели и задачи 6 Роли в среде оператора системы сбора платы за проезд 7 Поведение системы электронного сбора платежей . . 8 Информационная схема и базовые информационные типы 9 Интерфейсы и вычислительные объекты 10 Согласование точек зрения Приложение А (справочное) Описание короткой открытой распределенной обработки (ODP) Приложение В (справочное) Сравнение с ИСО/ТУ 17573:2003 Приложение С (справочное) Отношения между настоящим международным стандартом и IFMSA Приложение D (справочное) Связь с европейской электронной службой сбора платежей Приложение Е (справочное) Пример японской системы электронного сбора платежей Приложение ДА (обязательное) Сведения о соответствии ссылочных международных стандартов ссылочным национальным стандартам Российской Федерации Библиография |
| Разработан: | ФГБОУ ВПО МАДИ |
| Утверждён: | 11.11.2014 Федеральное агентство по техническому регулированию и метрологии (1578-ст) |
| Издан: | Стандартинформ (2015 г. ) |
| Нормативные ссылки: |
|
































































