Скачать ГОСТ Р 56214-2014 Качество данных. Часть 1. ОбзорДата актуализации: 01.01.2021
|
| Обозначение: | ГОСТ Р 56214-2014 |
| Обозначение англ: | GOST R 56214-2014 |
| Статус: | взамен |
| Название рус.: | Качество данных. Часть 1. Обзор |
| Название англ.: | Data quality. Part 1. Overview |
| Дата добавления в базу: | 21.05.2015 |
| Дата актуализации: | 01.01.2021 |
| Дата введения: | 01.07.2015 |
| Область применения: | Стандарт включает в себя обзор стандартов комплекса ИСО 8000. Стандарт распространяется: - на изложение общих вопросов применения стандартов комплекса ИСО 8000; - введение к теме - данные; - принципы качества данных; - формирование данных в стандартах комплекса ИСО 8000; - описание структуры стандартов комплекса ИСО 8000; - итоговая информация о содержании других частей ИСО 8000; - взаимосвязь комплекса стандартов ИСО 8000 с другими стандартами. Стандарт не распространяется на характеристики качества и требования к данным общего характера или к специальным данным. |
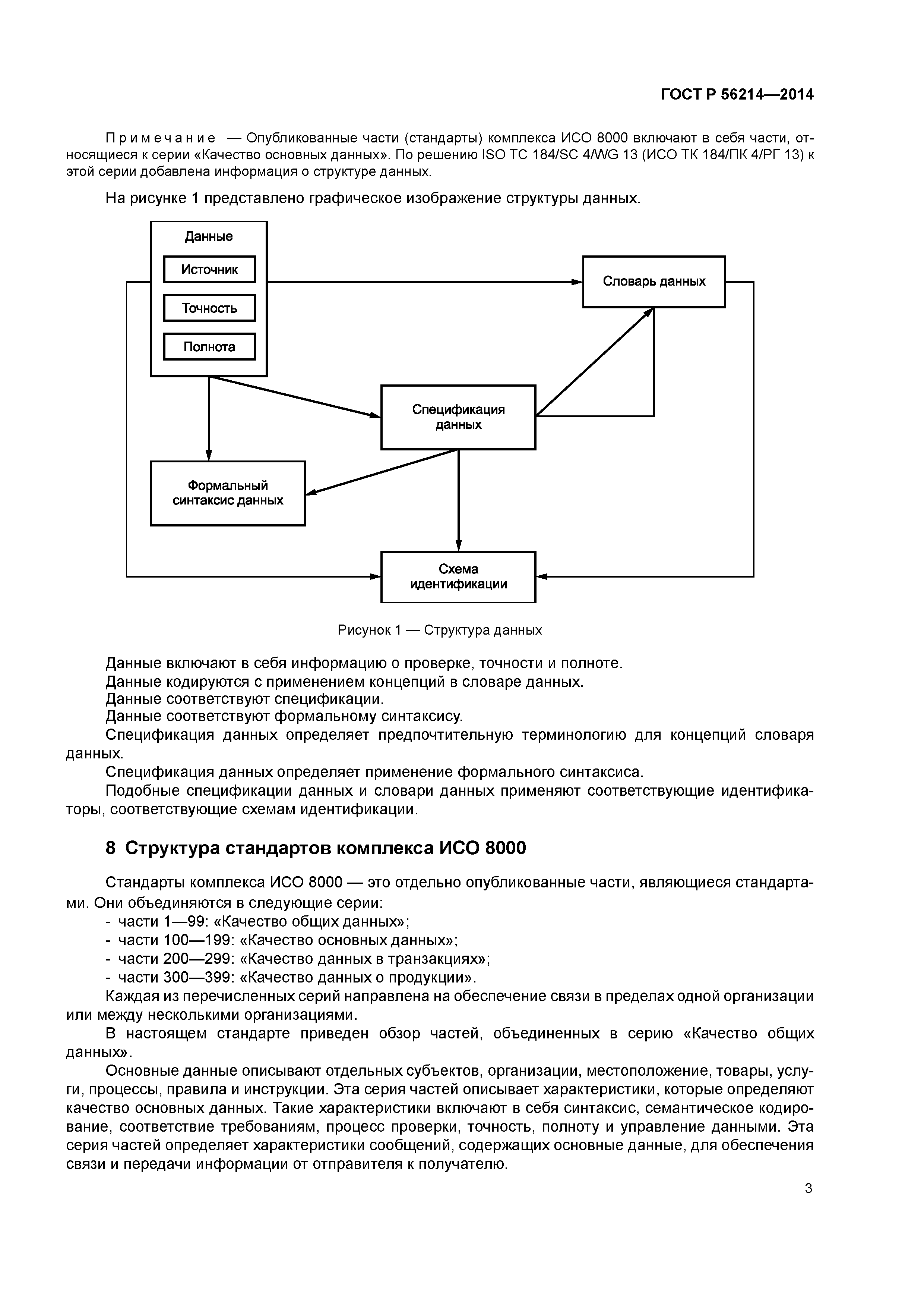
| Оглавление: | 1 Область применения 2 Нормативные ссылки 3 Термины и определения 4 Сокращения 5 Область применения стандартов комплекса ИСО 8000 6 Принципы качества данных 7 Структура данных 8 Структура стандартов комплекса ИСО 8000 9 Обзор стандартов комплекса ИСО 8000, относящихся к серии «Качество общих данных» 10 Связь с другими стандартами Приложение А (обязательное) Идентификация документа Приложение ДА (справочное) Сведения о соответствии ссылочного международного стандарта национальному стандарту Библиография |
| Разработан: | ФБУ ФЦК |
| Утверждён: | 11.11.2014 Федеральное агентство по техническому регулированию и метрологии (1518-ст) |
| Издан: | Стандартинформ (2015 г. ) Стандартинформ (2019 г. ) |
| Заменяет собой: | |
| Нормативные ссылки: |











