Скачать ГОСТ 32296-2013 Методы испытания по воздействию химической продукции на организм человека. Основные требования к проведению испытаний по оценке острой токсичности при внутрижелудочном поступлении методом фиксированной дозыДата актуализации: 01.01.2021
|
| Обозначение: | ГОСТ 32296-2013 |
| Обозначение англ: | GOST 32296-2013 |
| Статус: | введен впервые |
| Название рус.: | Методы испытания по воздействию химической продукции на организм человека. Основные требования к проведению испытаний по оценке острой токсичности при внутрижелудочном поступлении методом фиксированной дозы |
| Название англ.: | Testing of chemicals of health hazard acute oral toxicity. Fixed dose procedure |
| Дата добавления в базу: | 21.05.2015 |
| Дата актуализации: | 01.01.2021 |
| Дата введения: | 01.08.2014 |
| Область применения: | Стандарт устанавливает требования к тестированию острой токсичности при внутрижелудочном поступлении химической продукции методом фиксированной дозы. |
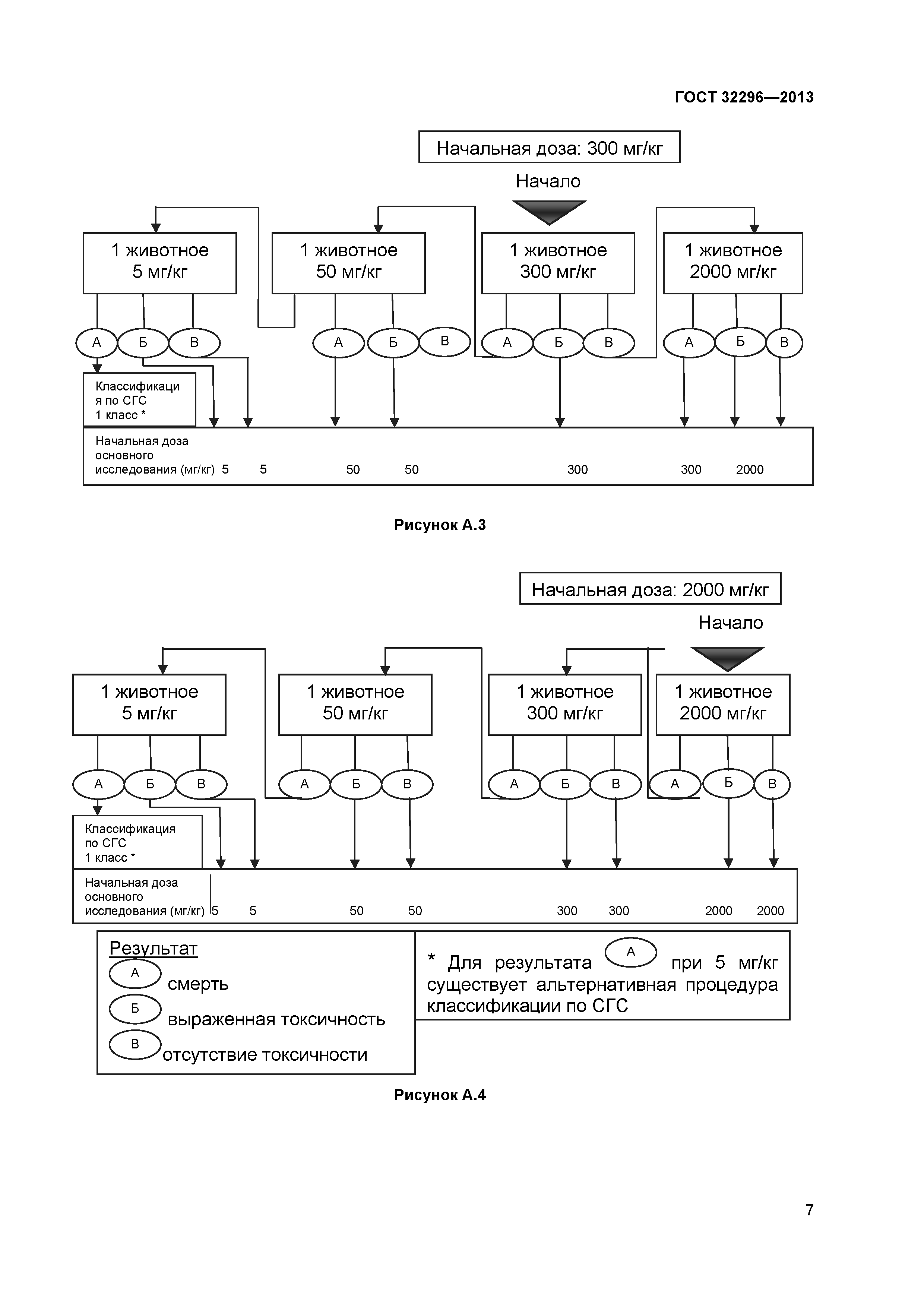
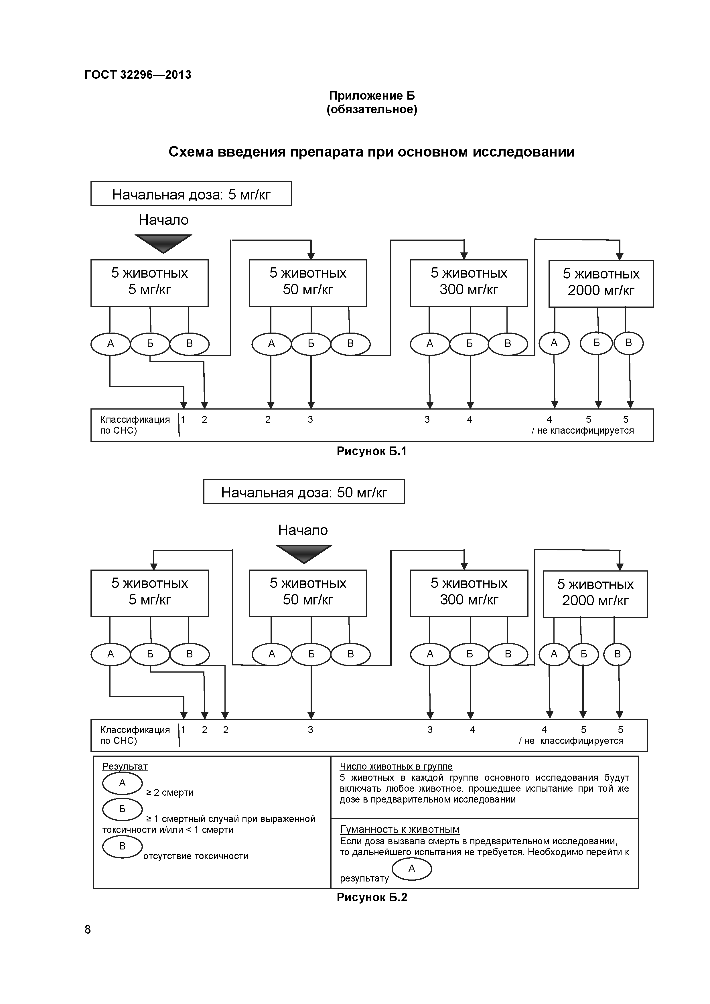
| Оглавление: | 1 Область применения 2 Термины и определения 3 Принцип тестового метода 4 Описание тестового метода 5 Данные и отчет Приложение А (обязательное) Схема введения препарата при предварительном исследовании Приложение Б (обязательное) Схема введения препарата при основном исследовании Приложение В (справочное) Критерии для классификации исследуемых веществ с ожидаемыми величинами DL50/LD50, превышающими 2000 мг/кг, без необходимости проведения испытания Библиография |
| Разработан: | ФГУП ВНИЦ СМВ ФБУЗ Российский регистр потенциально опасных химических и биологических веществ Роспотребнадзора |
| Утверждён: | 14.11.2013 Межгосударственный Совет по стандартизации, метрологии и сертификации (Inter-Governmental Council on Standardization, Metrology, and Certification 44-2013) 22.11.2013 Федеральное агентство по техническому регулированию и метрологии (795-ст) |
| Издан: | Стандартинформ (2014 г. ) |














