Скачать ГОСТ 32646-2014 Методы испытания по воздействию химической продукции на организм человека. Острая ингаляционная токсичность - метод определения класса острой токсичности (метод АТС)Дата актуализации: 01.01.2021
|
| Обозначение: | ГОСТ 32646-2014 |
| Обозначение англ: | GOST 32646-2014 |
| Статус: | введен впервые |
| Название рус.: | Методы испытания по воздействию химической продукции на организм человека. Острая ингаляционная токсичность - метод определения класса острой токсичности (метод АТС) |
| Название англ.: | OECD guidelines for the testing of chemicals. Acute Inhalation toxicity. Acute toxic class (ATC) method |
| Дата добавления в базу: | 21.05.2015 |
| Дата актуализации: | 01.01.2021 |
| Дата введения: | 01.06.2015 |
| Область применения: | Метод позволяет получить информацию об опасных свойствах химического вещества и провести классификацию вещества в соответствии с Согласованной на Глобальном уровне Системой классификации и маркировки химических веществ (для веществ, обладающих острой токсичностью). В случае, если требуются анализ зависимости «концентрация - ответ» или оценка величин CL50/LC50, рекомендуется использовать руководство 403. Дальнейшие рекомендации по выбору метода проведения испытаний представлены в GD 39. |
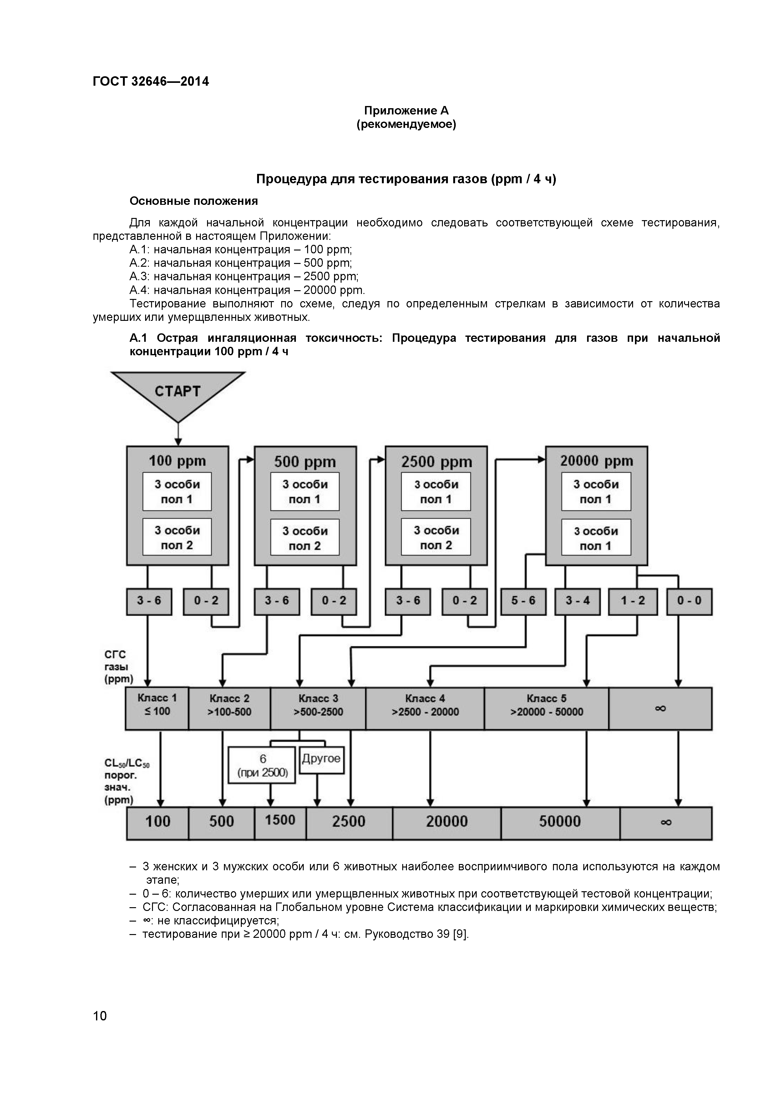
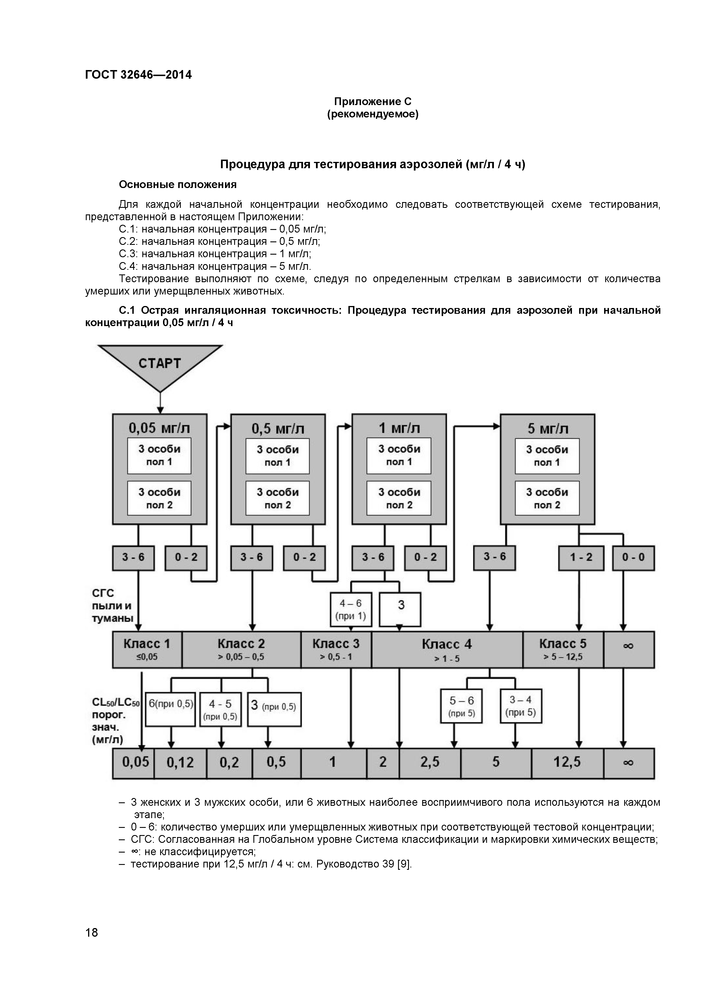
| Оглавление: | 1 Область применения 2 Принцип проведения испытания 3 Описание метода проведения испытания 4 Условия воздействия 5 Мониторинг условий воздействия 6 Процедура испытания 7 Наблюдения 8 Данные и отчет Приложение А (рекомендуемое) Процедура для тестирования газов (ppm / 14 ч) Приложение В (рекомендуемое) Процедура для тестирования паров (мг/л 14 ч) Приложение С (рекомендуемое) Процедура для тестирования аэрозолей (мг/л 14 ч) Библиография |
| Разработан: | ФГУП ВНИЦ СМВ ТК 339 Безопасность сырья, материалов и веществ |
| Утверждён: | 28.03.2014 Межгосударственный Совет по стандартизации, метрологии и сертификации (Inter-Governmental Council on Standardization, Metrology, and Certification 65-П) 06.10.2014 Федеральное агентство по техническому регулированию и метрологии (1272-ст) |
| Издан: | Стандартинформ (2015 г. ) |


























