Скачать ГОСТ 33059-2014 Методы испытаний химической продукции, представляющей опасность для окружающей среды. Птицы: тест на острую пероральную токсичностьДата актуализации: 01.01.2021
|
| Обозначение: | ГОСТ 33059-2014 |
| Обозначение англ: | GOST 33059-2014 |
| Статус: | введен впервые |
| Название рус.: | Методы испытаний химической продукции, представляющей опасность для окружающей среды. Птицы: тест на острую пероральную токсичность |
| Название англ.: | Test methods for chemicals of environmental hazard. Avian acute oral toxicity test |
| Дата добавления в базу: | 21.05.2015 |
| Дата актуализации: | 01.01.2021 |
| Дата введения: | 01.08.2015 |
| Область применения: | Стандарт устанавливает метод определения острой пероральной токсичности химических веществ для птиц. |
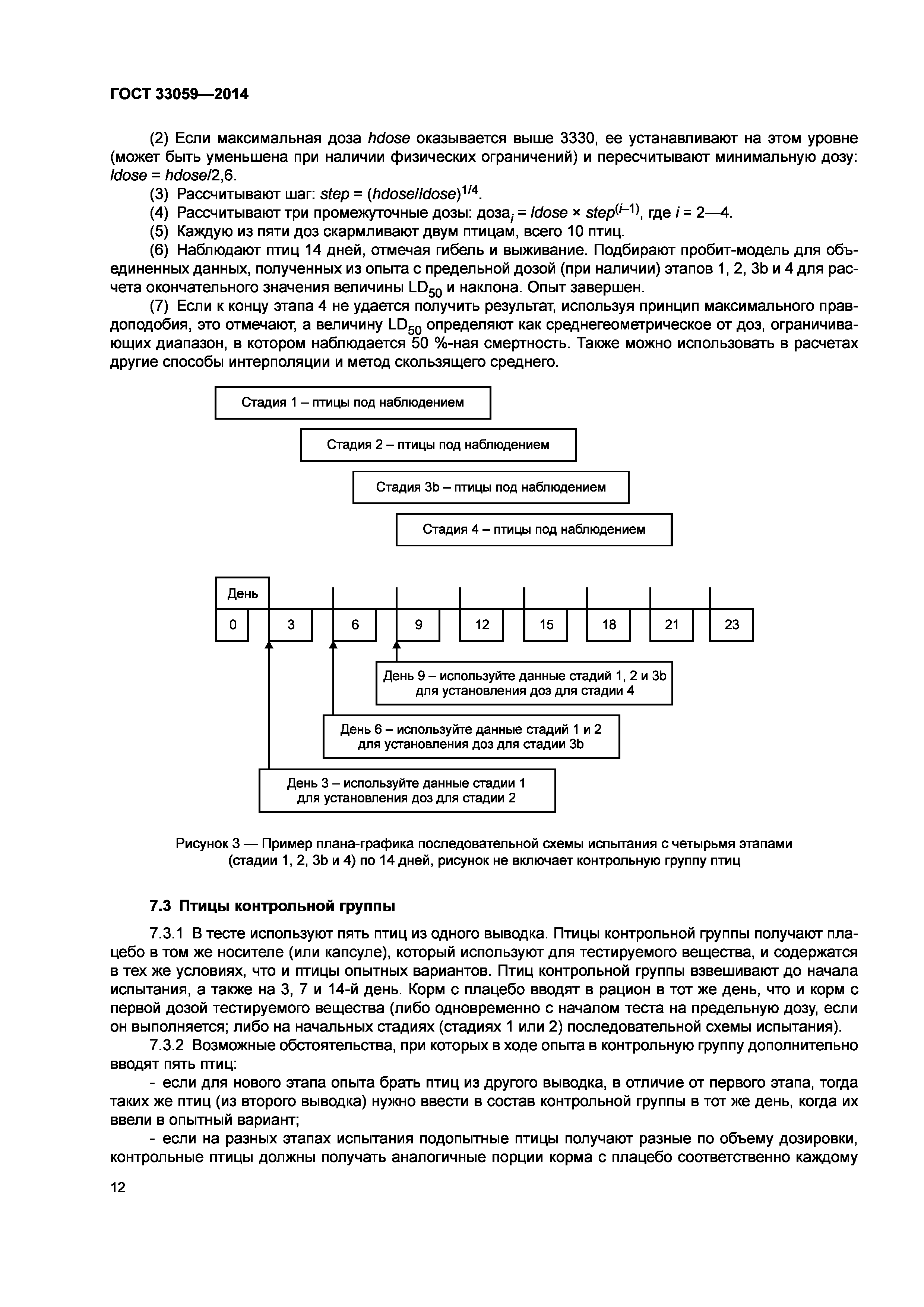
| Оглавление: | 1 Исходные предпосылки 2 Область применения 3 Термины и определения 4 Принцип теста 5 Достоверность теста 6 Описание теста 7 Процедура теста 8 Данные и отчет о проведении теста Приложение A (рекомендуемое) Общая характеристика, обоснование и статистические основы последовательной схемы эксперимента Приложение B (рекомендуемое) Определение числа частичных смертей и возвратов Приложение C (рекомендуемое) Расчет рабочих величин LD50 в случаях, когда смертность наступает в опыте с предельной дозой Библиография |
| Разработан: | ФГУП ВНИЦ СМВ |
| Утверждён: | 20.10.2014 Межгосударственный Совет по стандартизации, метрологии и сертификации (Inter-Governmental Council on Standardization, Metrology, and Certification 71-П) 25.11.2014 Федеральное агентство по техническому регулированию и метрологии (1749-ст) |
| Издан: | Стандартинформ (2015 г. ) Стандартинформ (2019 г. ) |























