Скачать ГОСТ 18390-2014 Проволока из палладия и сплавов на его основе. Технические условия

Дата актуализации: 01.01.2021

ГОСТ 18390-2014

Проволока из палладия и сплавов на его основе. Технические условия

Обозначение: ГОСТ 18390-2014
Обозначение англ: GOST 18390-2014
Статус:взамен
Название рус.:Проволока из палладия и сплавов на его основе. Технические условия
Название англ.:Wire of palladium and its alloys. Specifications
Дата добавления в базу:21.05.2015
Дата актуализации:01.01.2021
Дата введения:01.09.2015
Область применения:Стандарт распространяется на проволоку из палладия и сплавов на его основе, применяемую в приборостроении и других отраслях промышленности.
Оглавление:1 Область применения
2 Нормативные ссылки
3 Термины и определения
4 Условные обозначения и сокращения
5 Технические требования
6 Правила приемки
7 Методы контроля
8 Транспортирование и хранение
9 Гарантии изготовителя
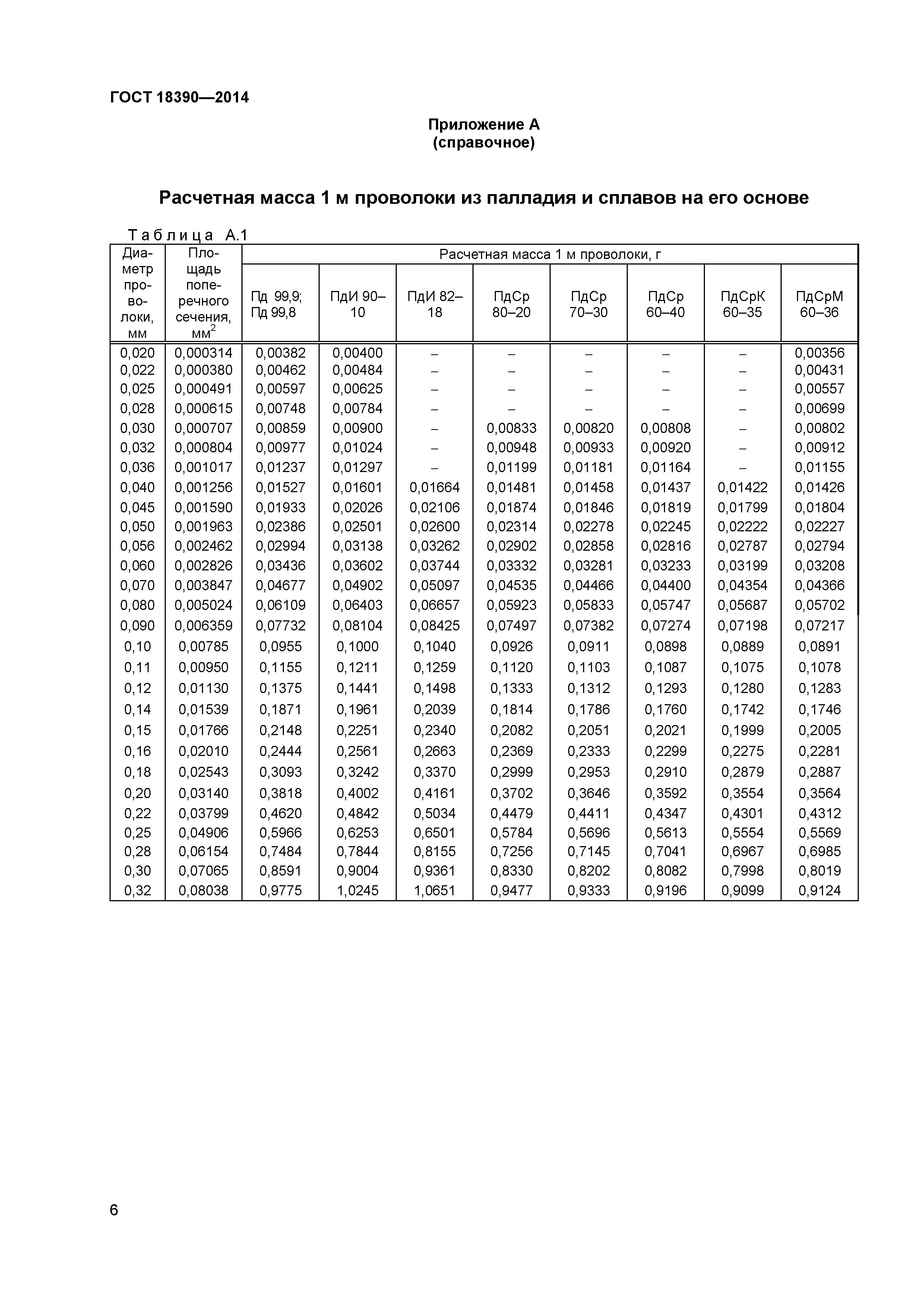
Приложение А (справочное) Расчетная масса 1 м проволоки из палладия и сплавов на его основе
Приложение Б (справочное) Электрическое сопротивление проволоки из палладия и сплавов на его основе
Приложение В (справочное) Физические свойства проволоки из палладия и сплавов на его основе
Разработан: МТК 304 Благородные металлы, сплавы и промышленные изделия из них
ОАО Екатеринбургский завод по обработке цветных металлов
Утверждён:22.12.2014 Межгосударственный Совет по стандартизации, метрологии и сертификации (Inter-Governmental Council on Standardization, Metrology, and Certification 73-П)
27.01.2015 Федеральное агентство по техническому регулированию и метрологии (22-ст)
Издан: Стандартинформ (2015 г. )
Заменяет собой:
Нормативные ссылки:
ГОСТ 18390-2014ГОСТ 18390-2014ГОСТ 18390-2014ГОСТ 18390-2014ГОСТ 18390-2014ГОСТ 18390-2014ГОСТ 18390-2014ГОСТ 18390-2014ГОСТ 18390-2014ГОСТ 18390-2014ГОСТ 18390-2014ГОСТ 18390-2014