Скачать ГОСТ Р ИСО 26262-5-2014 Дорожно-транспортные средства. Функциональная безопасность. Часть 5. Разработка аппаратных средств изделияДата актуализации: 01.01.2021
|
| Обозначение: | ГОСТ Р ИСО 26262-5-2014 |
| Обозначение англ: | GOST R ISO 26262-5-2014 |
| Статус: | введен впервые |
| Название рус.: | Дорожно-транспортные средства. Функциональная безопасность. Часть 5. Разработка аппаратных средств изделия |
| Название англ.: | Road vehicles. Functional safety. Part 5. Product development at the hardware level |
| Дата добавления в базу: | 12.02.2016 |
| Дата актуализации: | 01.01.2021 |
| Дата введения: | 01.10.2015 |
| Область применения: | Стандарт применяется к связанным с безопасностью системам, включающим в себя одну или несколько электрических и/или электронных систем, которые установлены в серийно производимых легковых автомобилях с максимальной массой (брутто) транспортного средства до 3500 кг. |
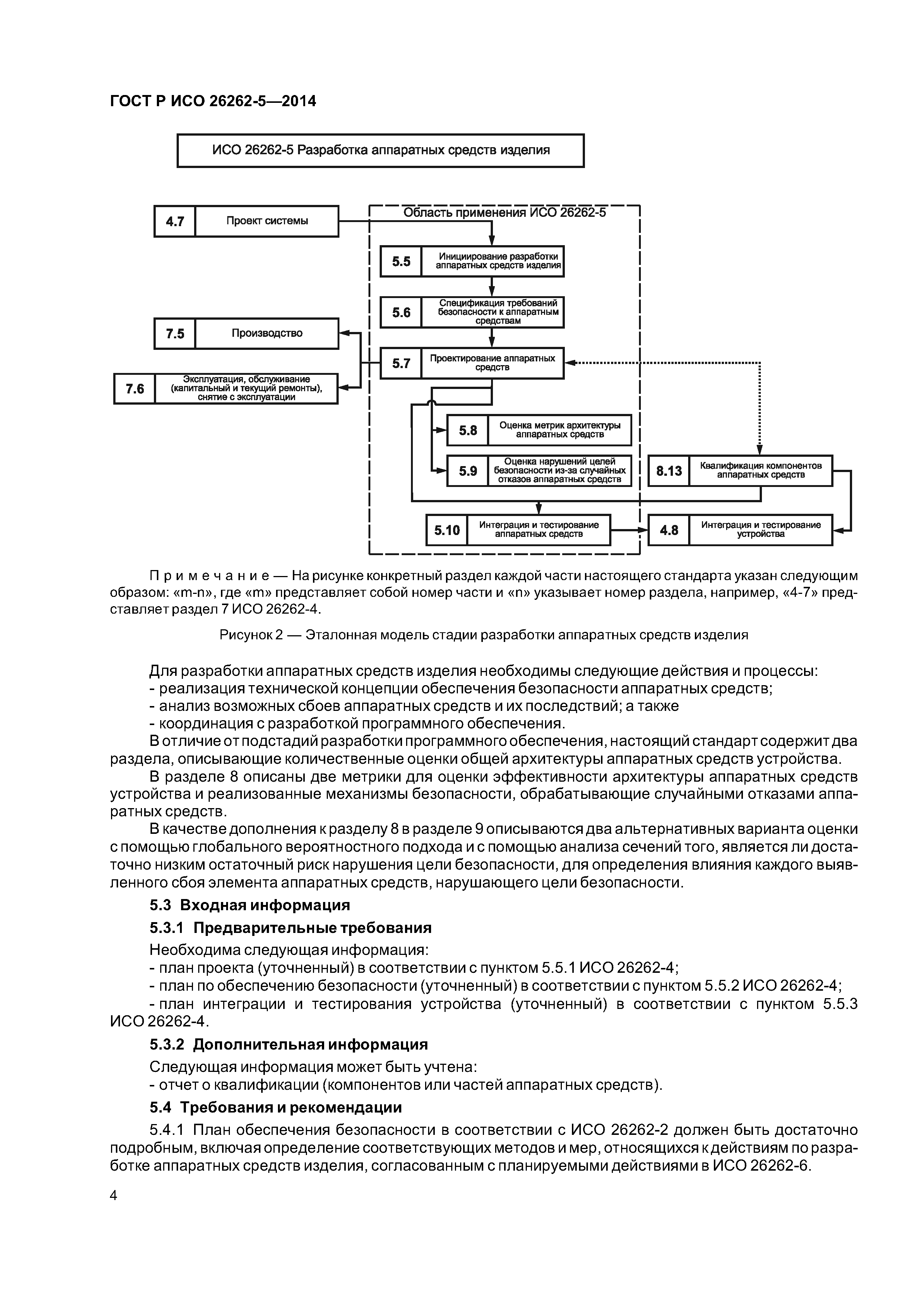
| Оглавление: | 1 Область применения 2 Нормативные ссылки 3 Термины, определения и сокращения 4 Требования соответствия настоящему стандарту 4.1 Общие требования 4.2 Интерпретация таблиц 4.3 Требования и рекомендации, зависимые от значения УПБА 5 Начальная подстадия разработки аппаратных средств изделия 5.1 Цель 5.2 Общие положения 5.3 Входная информация 5.4 Требования и рекомендации 5.5 Результаты работы 6 Спецификация требований к аппаратным средствам системы безопасности 6.1 Цели 6.2 Общие положения 6.3 Входная информация 6.4 Требования и рекомендации 6.5 Результаты работы 7 Проектирование аппаратных средств 7.1 Цели 7.2 Общие положения 7.3 Входная информация 7.4 Требования и рекомендации 7.5 Результаты работы 8 Оценка метрик архитектуры аппаратных средств 8.1 Цель 8.2 Общие положения 8.3 Входная информация 8.4 Требования и рекомендации 8.5 Результаты работы 9 Оценка нарушений цели безопасности вследствие случайных отказов аппаратных средств 9.1 Цель 9.2 Общие положения 9.3 Входная информация 9.4 Требования и рекомендации 9.5 Результаты работы 10 Интеграция и тестирование аппаратных средств. 10.1 Цель 10.2 Общие положения 10.3 Входная информация 10.4 Требования и рекомендации 10.5 Результаты работы Приложение А (справочное) Обзор и поток документов стадии разработки аппаратных средств изделия Приложение В (справочное) Классификация видов отказов элементов аппаратных средств Приложение С (обязательное) Метрики архитектуры аппаратных средств Приложение D (справочное) Оценка охвата диагностикой Приложение Е (справочное) Пример вычисления метрик архитектуры аппаратных средств: метрики одиночного сбоя и метрики скрытого сбоя Приложение F (справочное) Применение коэффициентов масштабирования Приложение ДА (справочное) Сведения о соответствии ссылочных международных стандартов национальным стандартам Российской Федерации Библиография |
| Разработан: | Фирма Интерстандарт ООО Корпоративные электронные системы |
| Утверждён: | 17.11.2014 Федеральное агентство по техническому регулированию и метрологии (1623-ст) |
| Издан: | Стандартинформ (2015 г. ) |














































































