Скачать ГОСТ Р 56262-2014 Надлежащая практика регулирования. Руководство по оценке эквивалентности требованийДата актуализации: 01.01.2021
|
| Обозначение: | ГОСТ Р 56262-2014 |
| Обозначение англ: | GOST R 56262-2014 |
| Статус: | введен впервые |
| Название рус.: | Надлежащая практика регулирования. Руководство по оценке эквивалентности требований |
| Название англ.: | Good regulatory practice. Requirements equivalence assessment guide |
| Дата добавления в базу: | 12.02.2016 |
| Дата актуализации: | 01.01.2021 |
| Дата введения: | 01.01.2016 |
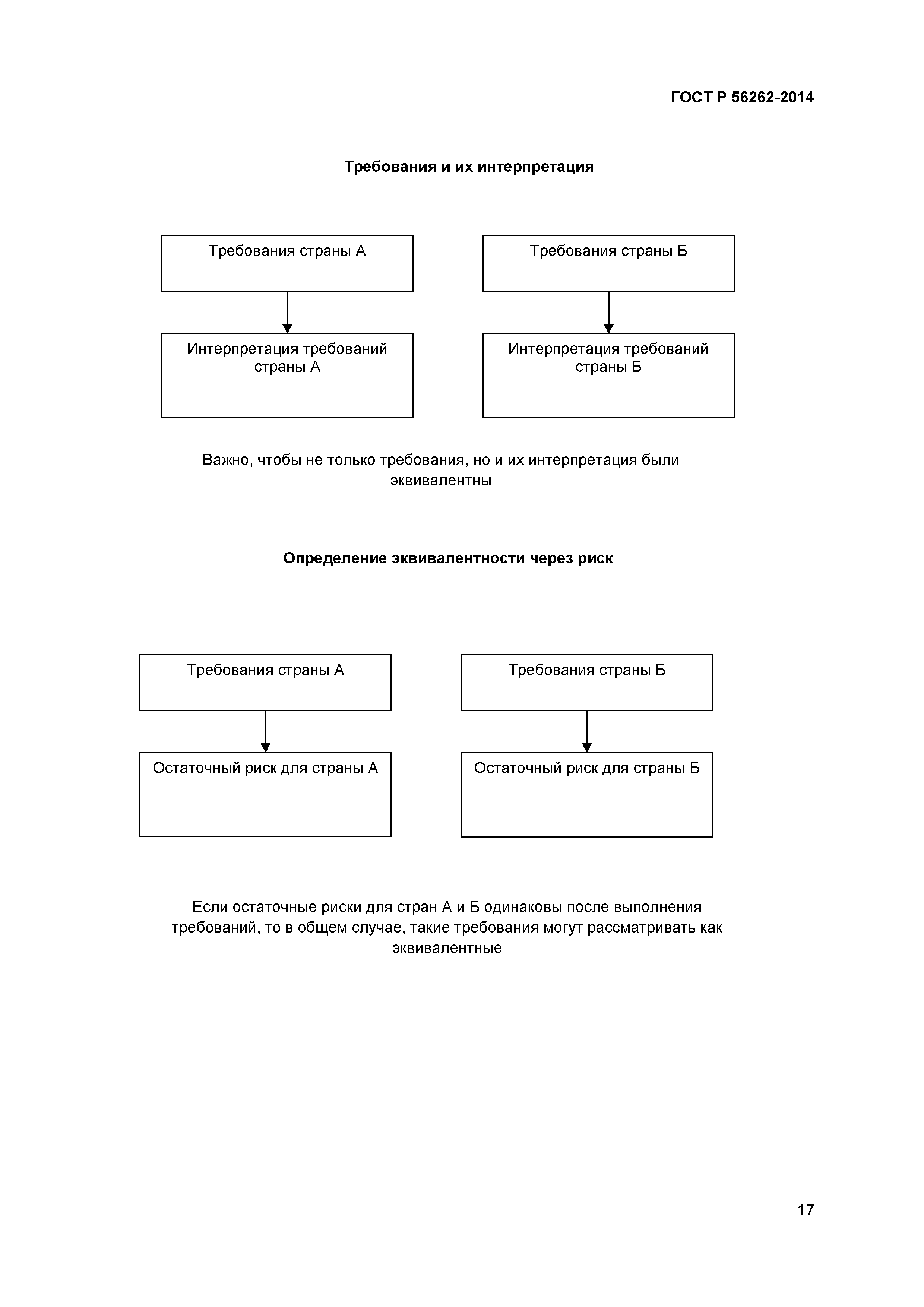
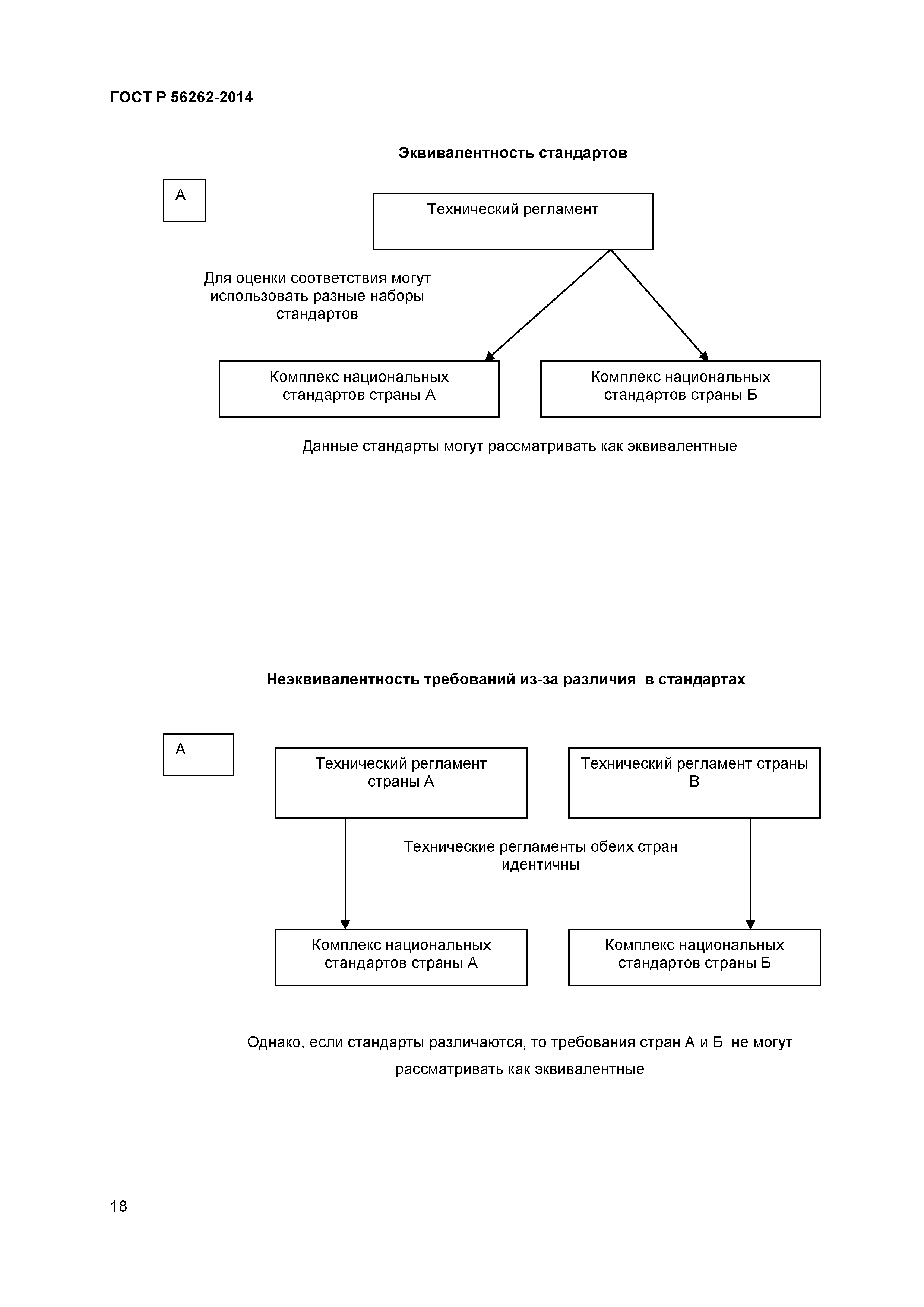
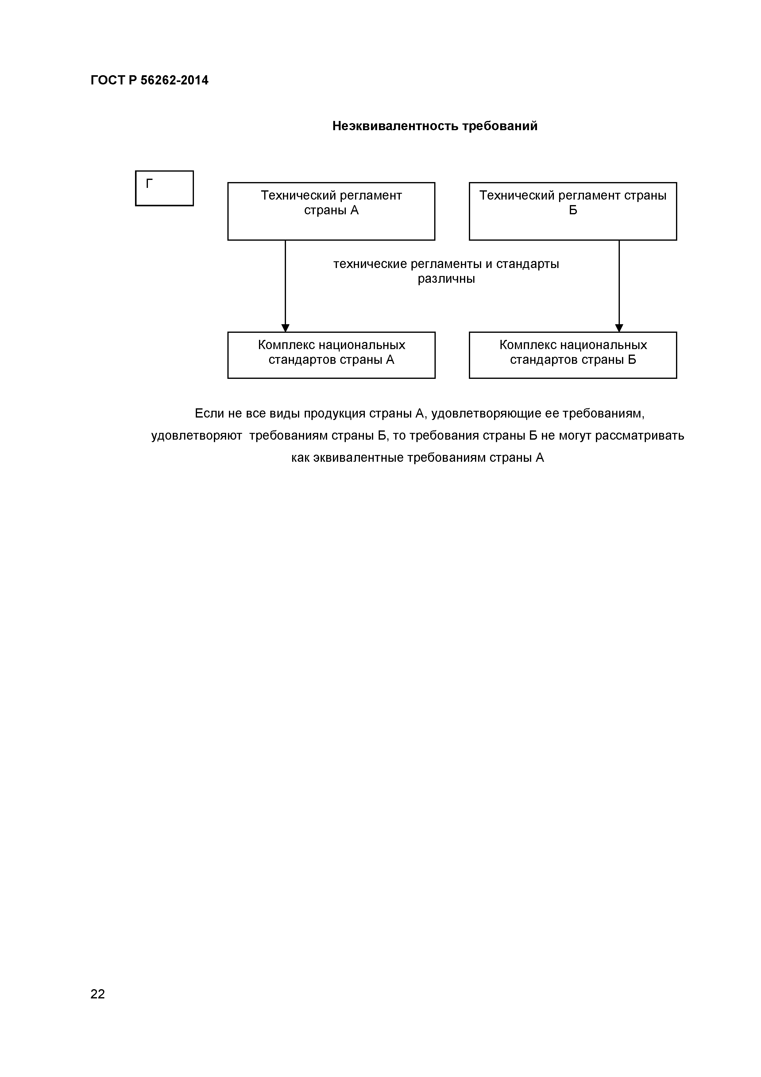
| Область применения: | Стандарт представляет руководство по оценке эквивалентности требований и является основополагающим стандартом комплекса стандартов на форматы описания и нормирования требований. Стандарт создается для нормативно-методического обеспечения разработки технических регламентов и стандартов в различных областях промышленности и экономики, а также для информационного обеспечения и более широкого применения менеджмента знаний и проектного менеджмента, включая процедуры надлежащей (добросовестной) практики, в том числе в государственном секторе. |
| Оглавление: | 1 Область применения 2 Нормативные ссылки 3 Термины и определения 4 Общие положения 5 Ключевые принципы и положения Соглашения ВТО по техническим барьерам в торговле 6 Основы анализа систем технического регулирования 7 Анализ архитектуры систем ы технического регулирования 8 Разработка механизмов признания эквивалентности |
| Разработан: | ООО НИИ Интерэкомс |
| Утверждён: | 26.11.2014 Федеральное агентство по техническому регулированию и метрологии (1848-ст) |
| Издан: | Стандартинформ (2015 г. ) |
| Нормативные ссылки: |



























