Скачать ГОСТ Р ИСО 11442-2014 Техническая документация на продукцию. Управление документациейДата актуализации: 01.01.2021
|
| Обозначение: | ГОСТ Р ИСО 11442-2014 |
| Обозначение англ: | GOST R ISO 11442-2014 |
| Статус: | введен впервые |
| Название рус.: | Техническая документация на продукцию. Управление документацией |
| Название англ.: | Technical product documentation. Document management |
| Дата добавления в базу: | 12.02.2016 |
| Дата актуализации: | 01.01.2021 |
| Дата введения: | 01.01.2016 |
| Область применения: | Стандарт устанавливает основные правила организации работ с техническими документами. |
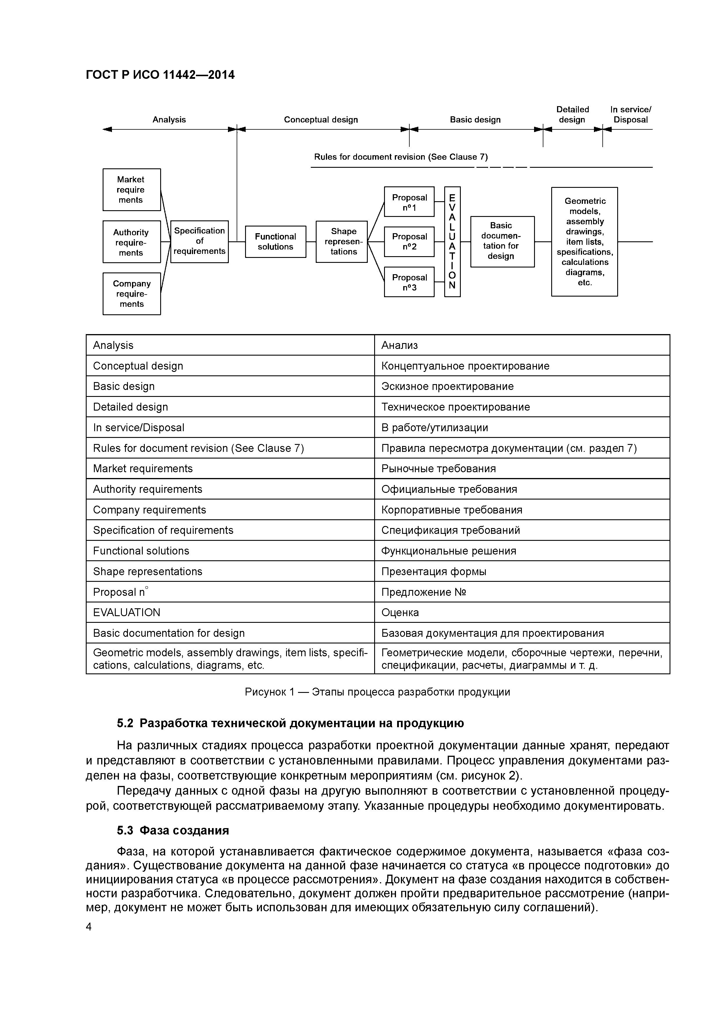
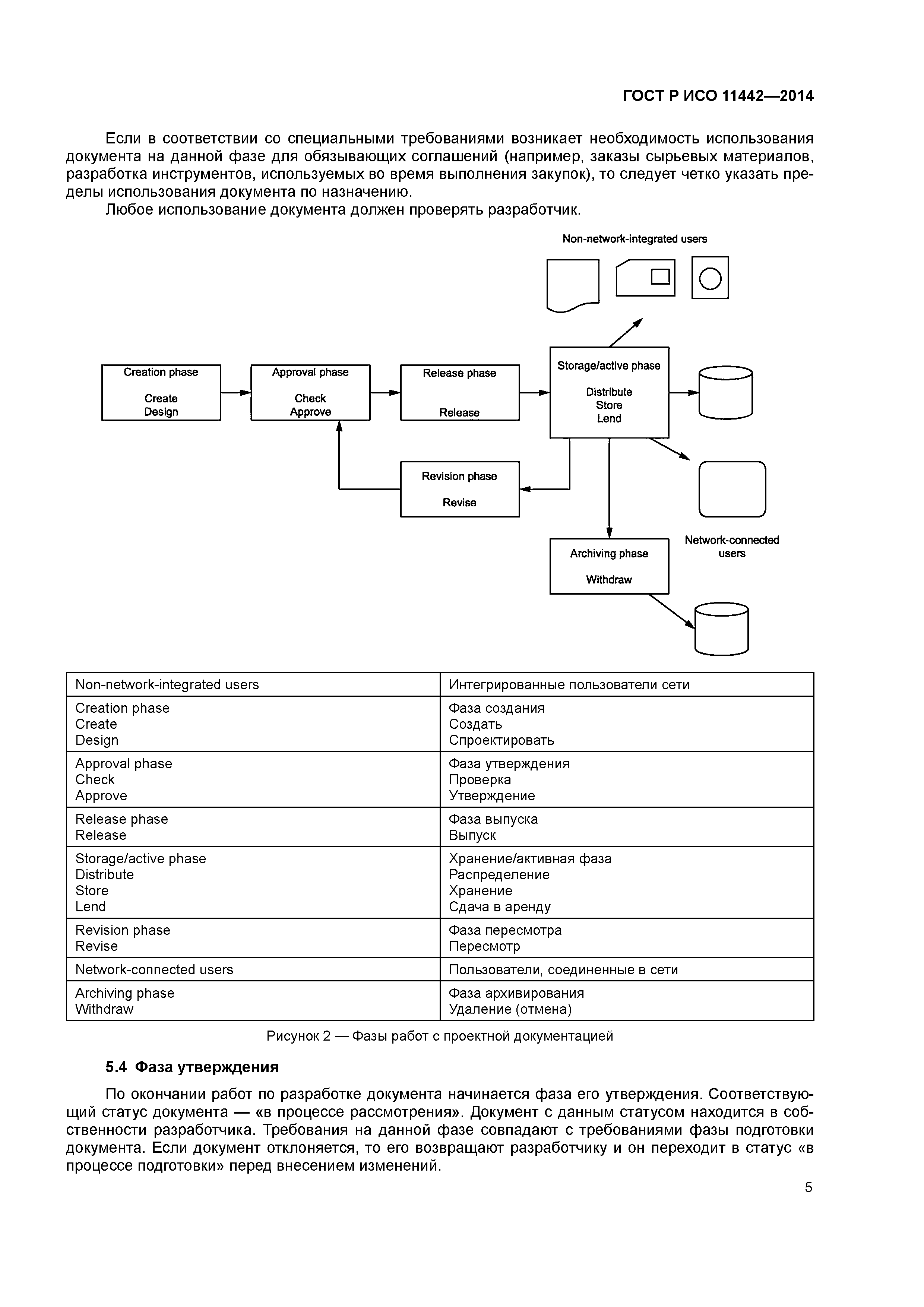
| Оглавление: | 1 Область применения 2 Нормативные ссылки 3 Термины и определения 4 Оригинальные и воспроизведенные документы 5 Фазы работы с проектной документацией 6 Статус жизненного цикла документа 7 Правила пересмотра 8 Защита информации Приложение А (справочное) Типовые правила пересмотра документа Приложение ДА (справочное) Сведения о соответствии ссылочных международных стандартов ссылочным национальным стандартам Российской Федерации Библиография |
| Разработан: | ООО НИИ Интерэкомс |
| Утверждён: | 26.11.2014 Федеральное агентство по техническому регулированию и метрологии (1865-ст) |
| Издан: | Стандартинформ (2015 г. ) Стандартинформ (2018 г. ) |
| Нормативные ссылки: |















