Скачать ГОСТ 32093-2013 Посуда керамическая каменная. Технические условияДата актуализации: 01.01.2021
|
| Обозначение: | ГОСТ 32093-2013 |
| Обозначение англ: | GOST 32093-2013 |
| Статус: | введен впервые |
| Название рус.: | Посуда керамическая каменная. Технические условия |
| Название англ.: | Stone ware. General specifications |
| Дата добавления в базу: | 21.05.2015 |
| Дата актуализации: | 01.01.2021 |
| Дата введения: | 01.07.2014 |
| Область применения: | Стандарт распространяется на посуду и изделия из каменной керамической массы, отличительной особенностью которых является непрозрачный, слегка пористый окрашенный черепок. |
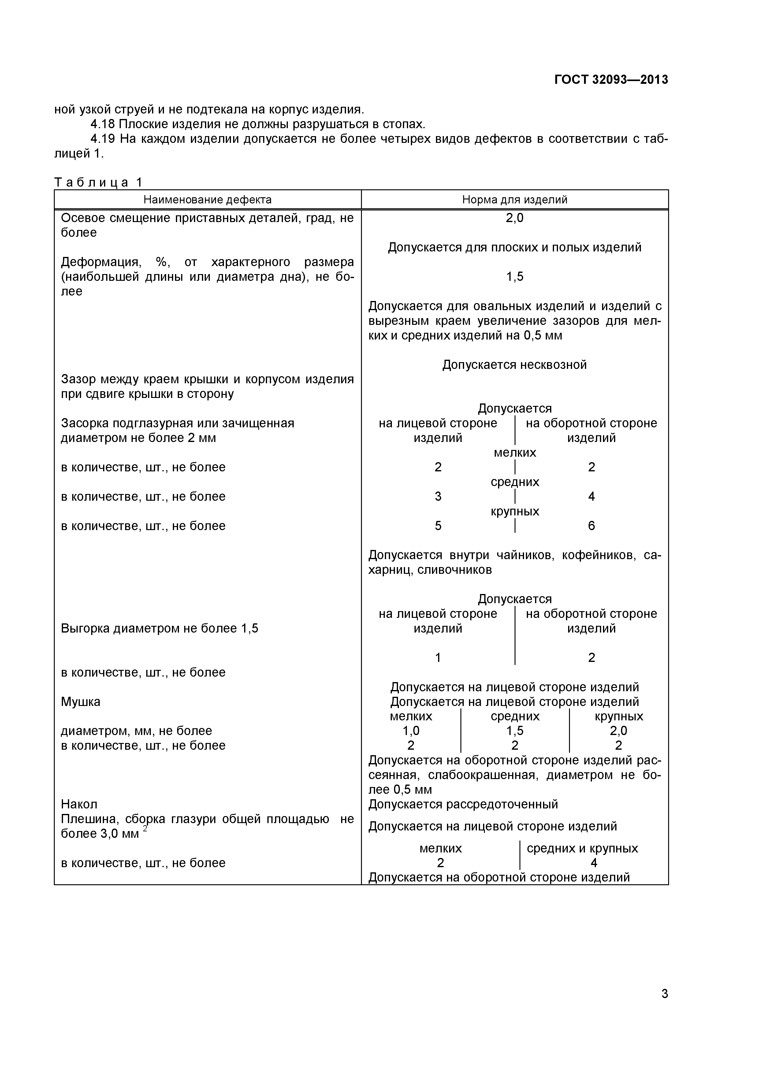
| Оглавление: | 1 Область применения 2 Нормативные ссылки 3 Термины и определения 4 Технические требования 5 Правила приемки 6 Методы контроля 7 Транспортирование и хранение |
| Разработан: | ОАО ВНИИС ТК 412 Текстиль |
| Утверждён: | 06.06.2013 Межгосударственный Совет по стандартизации, метрологии и сертификации (Inter-Governmental Council on Standardization, Metrology, and Certification 43) 11.06.2014 Федеральное агентство по техническому регулированию и метрологии (597-ст) |
| Издан: | Стандартинформ (2015 г. ) |
| Нормативные ссылки: |
|







