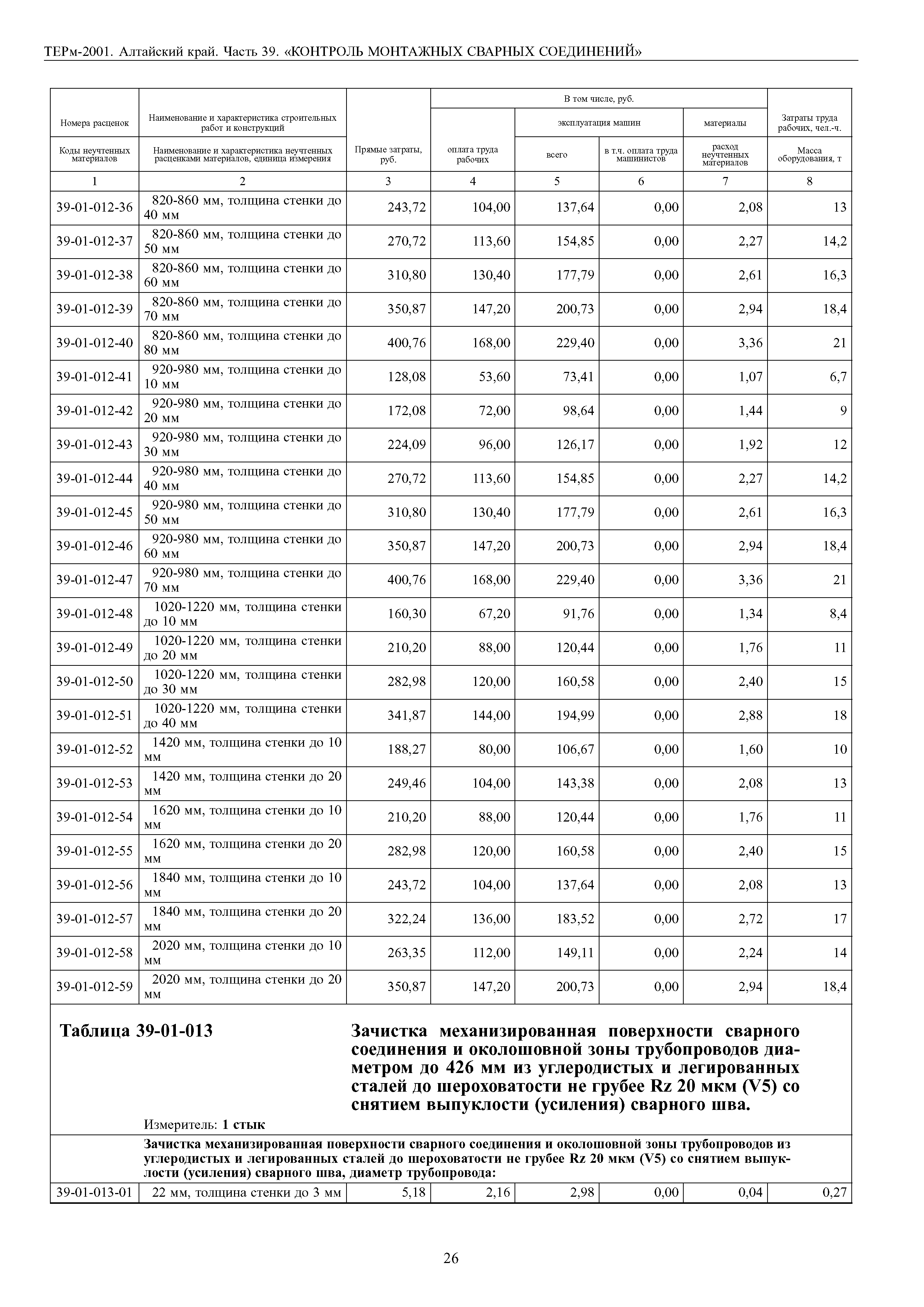
Скачать ТЕРм Алтайский край 81-03-39-2001 Контроль монтажных сварных соединений. Территориальные единичные расценки на монтаж оборудованияДата актуализации: 01.01.2021
|
| Обозначение: | ТЕРм Алтайский край 81-03-39-2001 |
| Обозначение англ: | 81-03-39-2001 |
| Статус: | действует |
| Название рус.: | Контроль монтажных сварных соединений. Территориальные единичные расценки на монтаж оборудования |
| Дата добавления в базу: | 21.05.2015 |
| Дата актуализации: | 01.01.2021 |
| Область применения: | Территориальные единичные расценки на монтаж оборудования предназначены для определения затрат при выполнении монтажных работ и составления на их основе сметных расчетов (смет) на производство указанных работ |
| Оглавление: | Отдел 01. Подготовка к контролю поверхности монтажных сварных соединений и околошовной зоны Отдел 02. Контроль монтажных сварных соединений неразрушающими методами Отдел 03. Контроль монтажных сварных соединений разрушающими методами Отдел 04. Изготовление образцов для испытания монтажных сварных соединений Отдел 05. Предварительный контроль Отдел 06. Операционный контроль |
| Утверждён: | 17.01.2011 Администрация Алтайского края (Administration of Altay Territory 12) |










































































