Скачать АЗ-1036 Руководство по подбору радиальных вентиляторов ВР 80-75, ВР 80-76, В-Ц4-76, В-Ц14-46Дата актуализации: 01.01.2021
|
| Обозначение: | АЗ-1036 |
| Обозначение англ: | АЗ-1036 |
| Статус: | справочные материалы, мп, тпр |
| Название рус.: | Руководство по подбору радиальных вентиляторов ВР 80-75, ВР 80-76, В-Ц4-76, В-Ц14-46 |
| Дата добавления в базу: | 12.02.2016 |
| Дата актуализации: | 01.01.2021 |
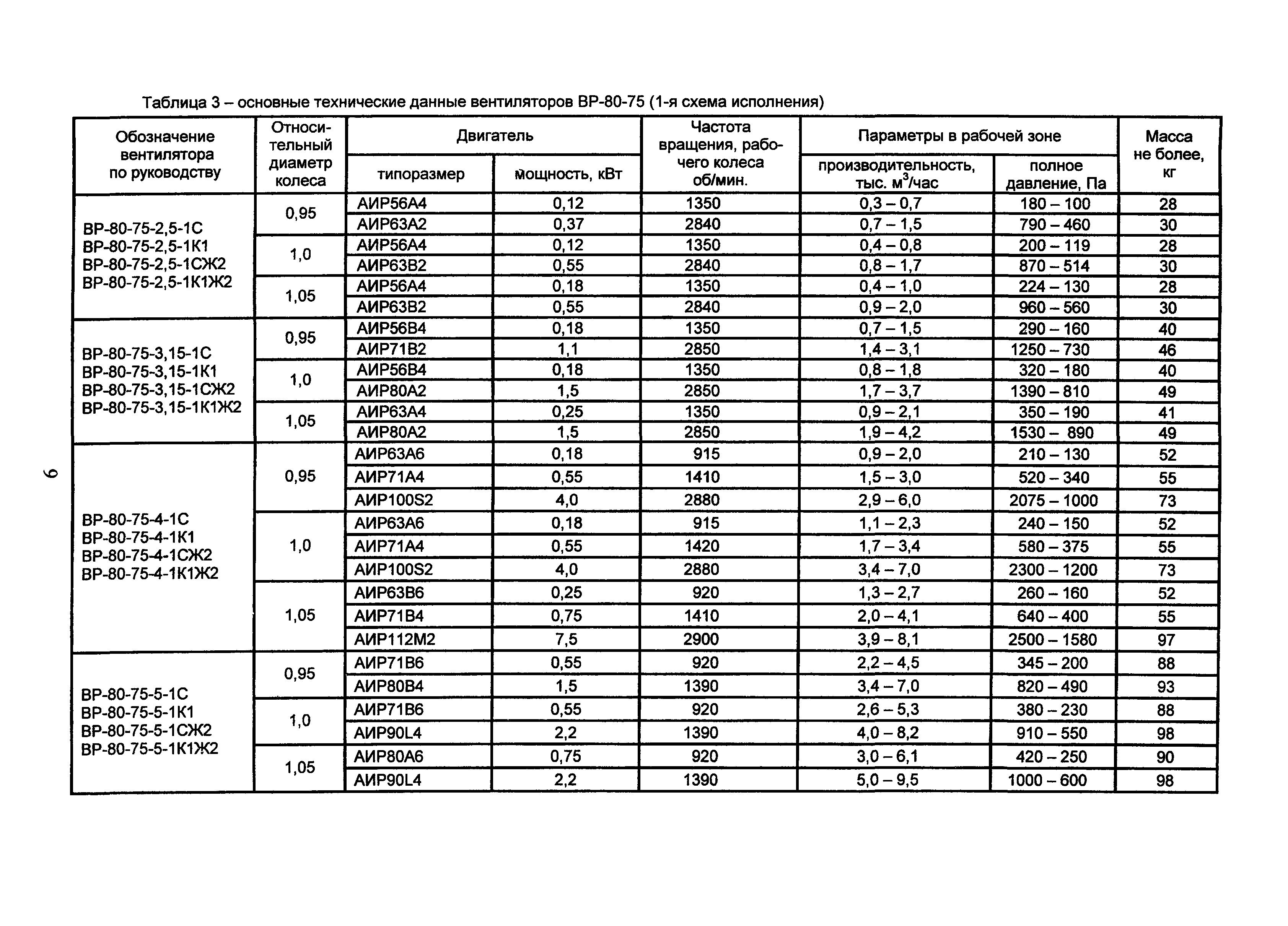
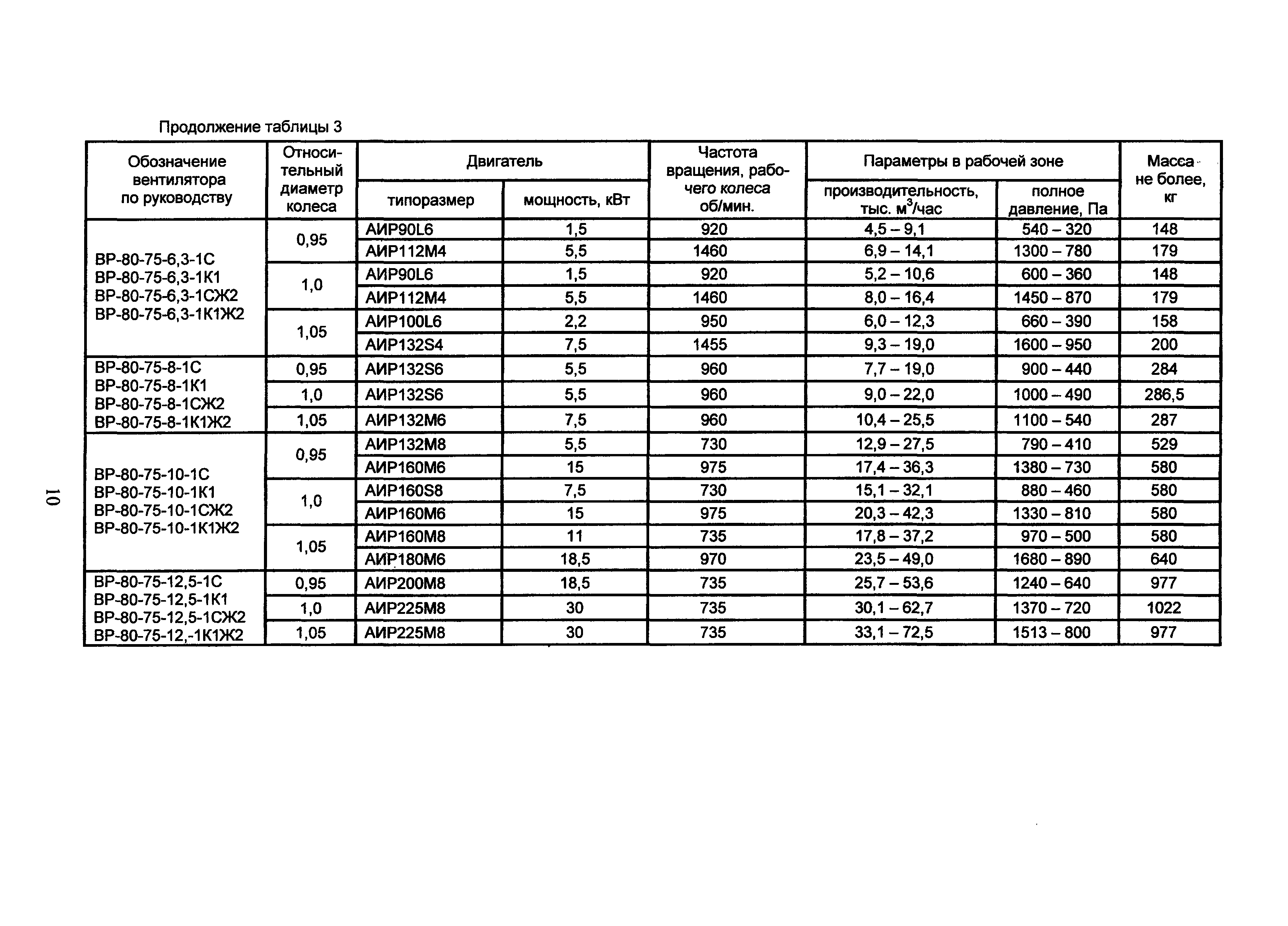
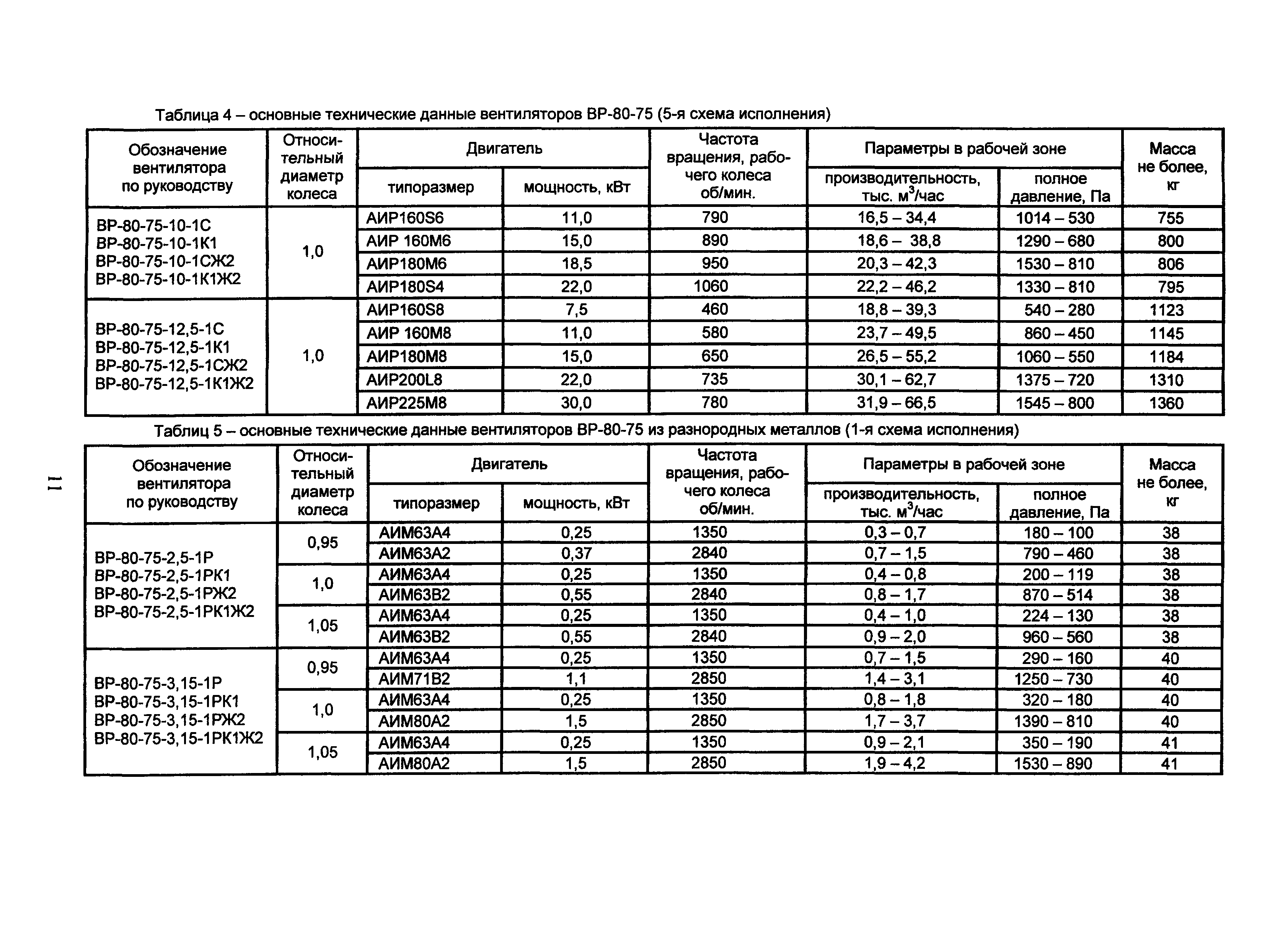
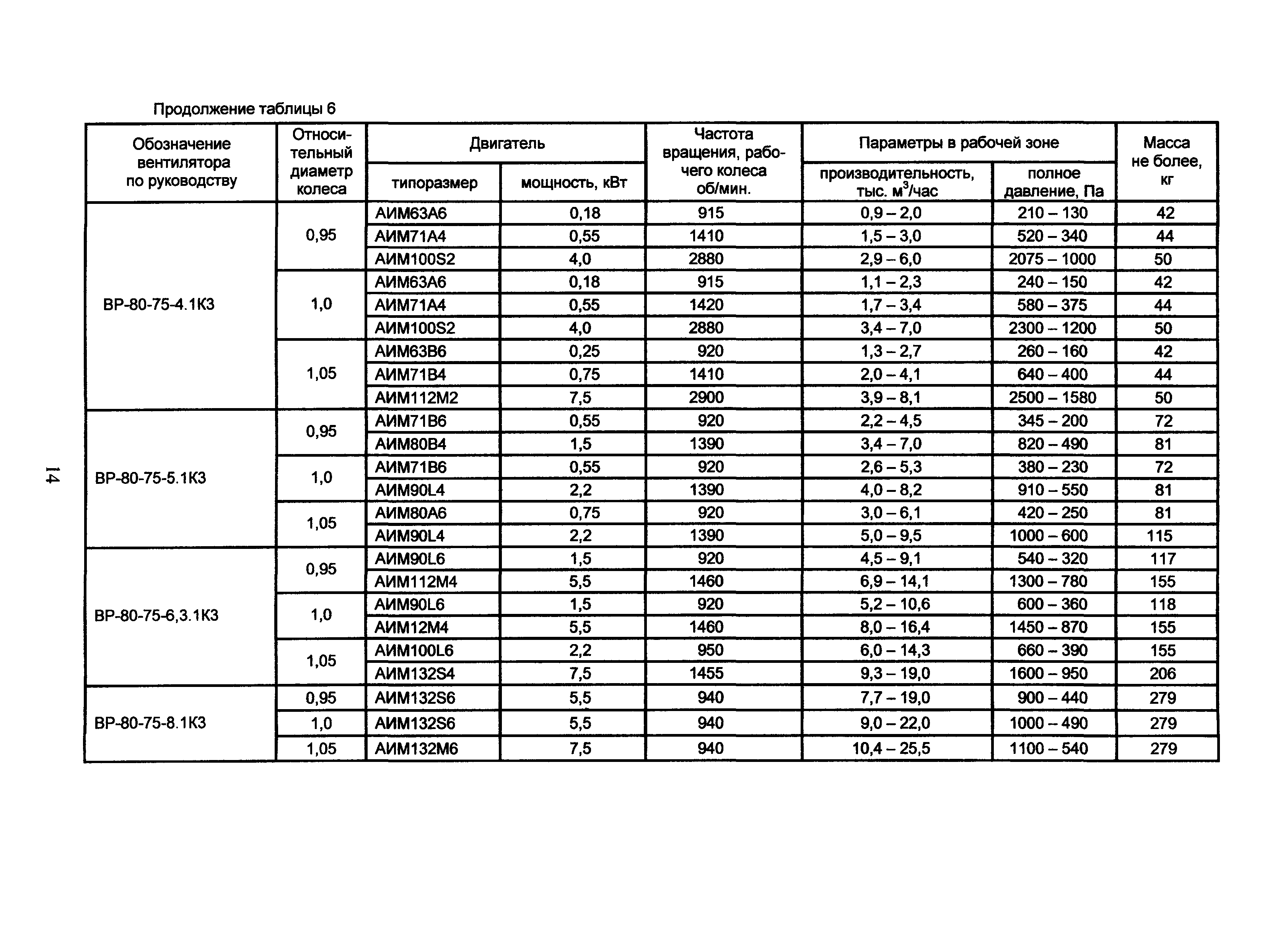
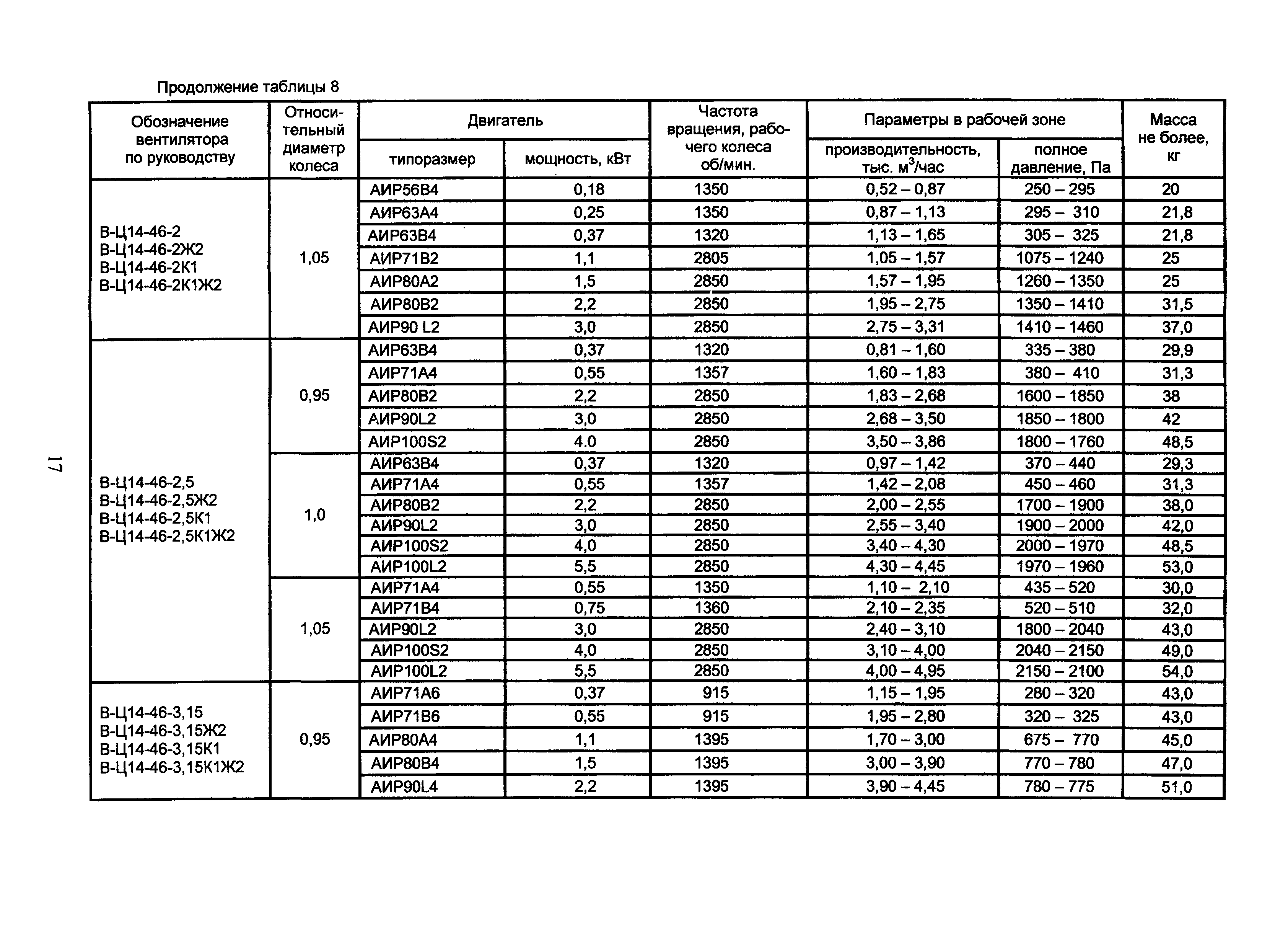
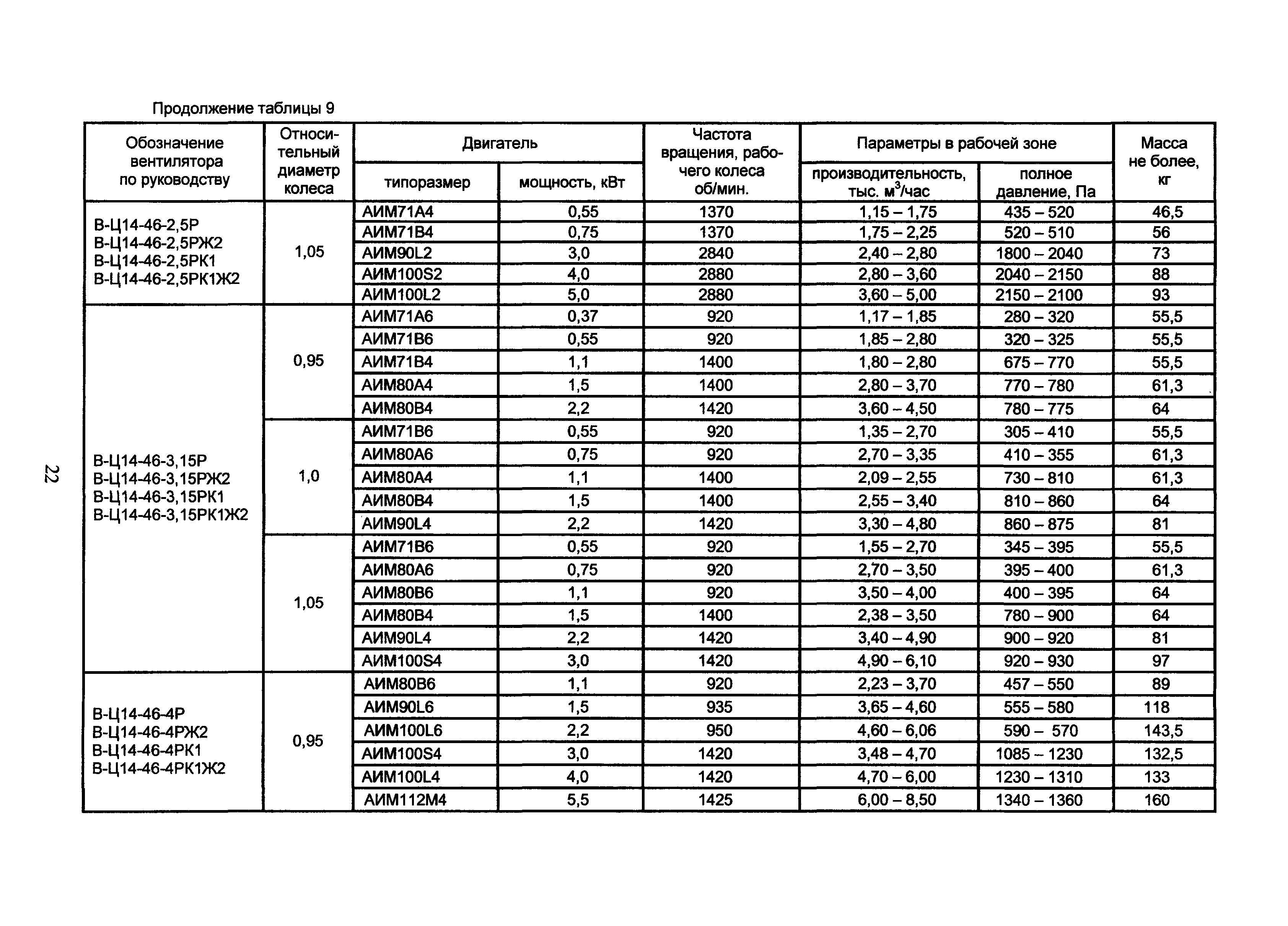
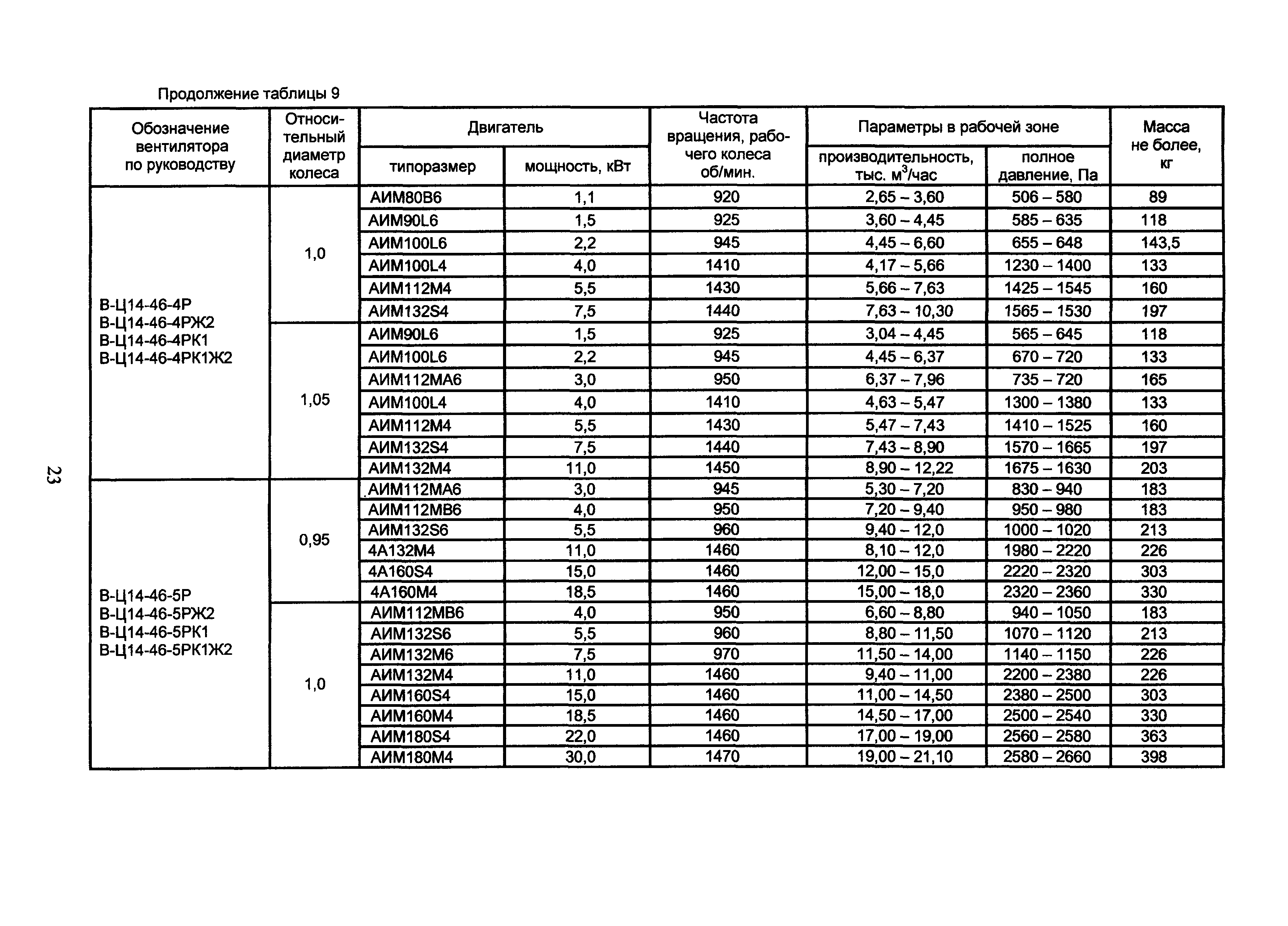
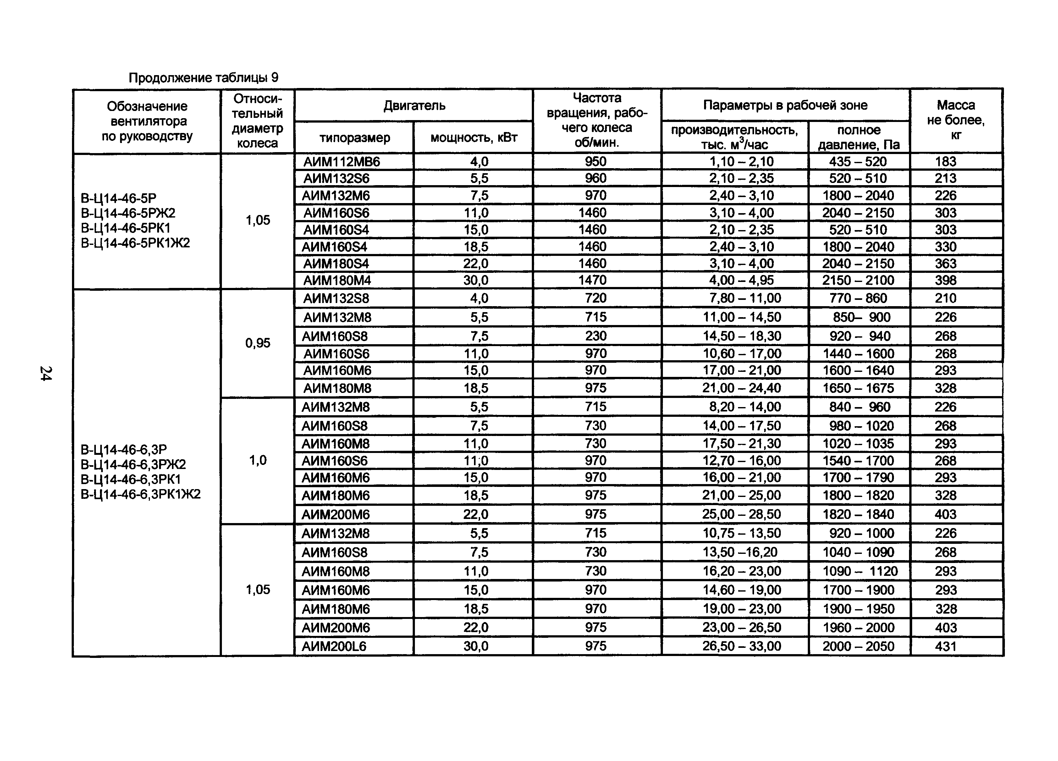
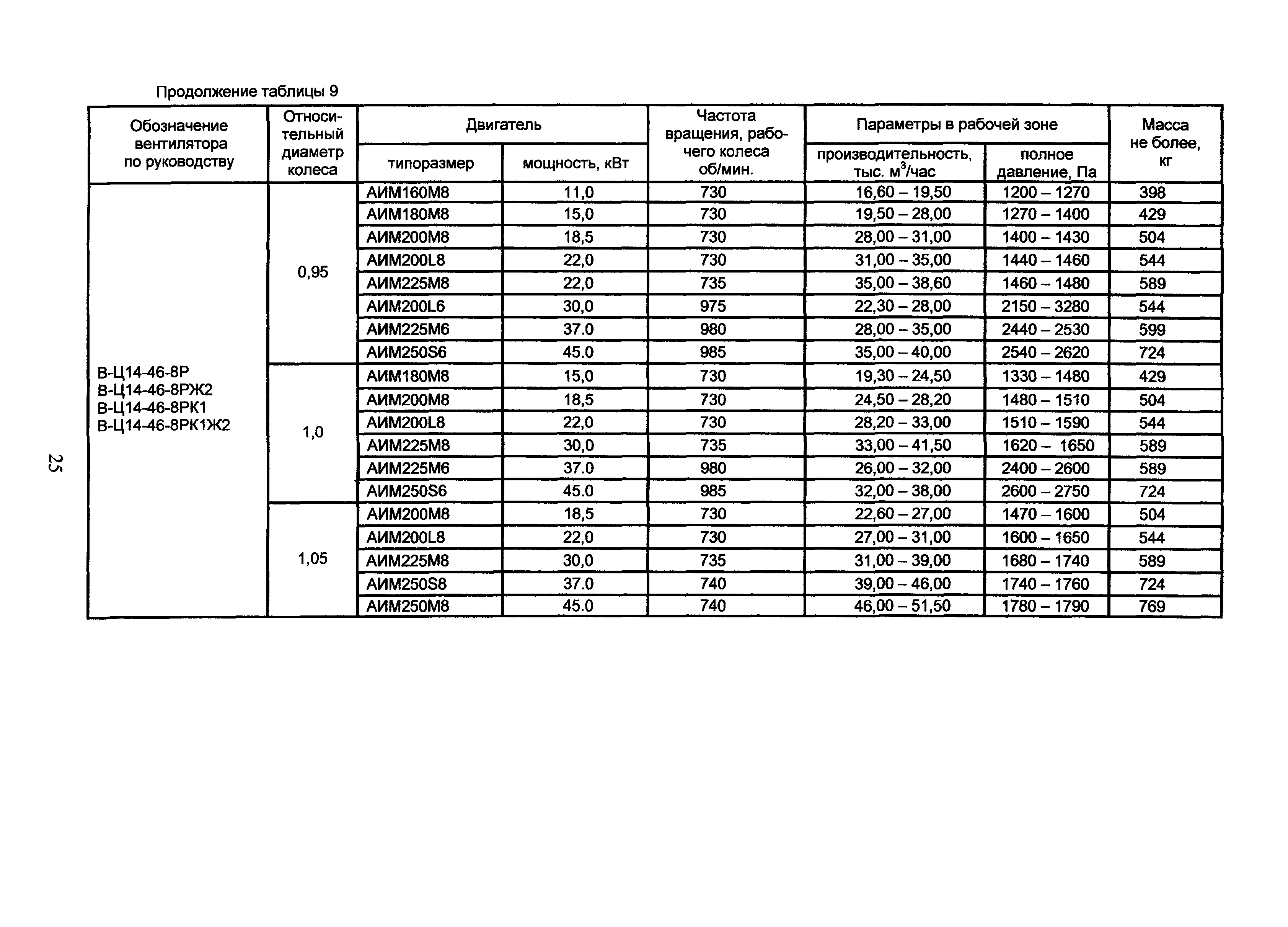
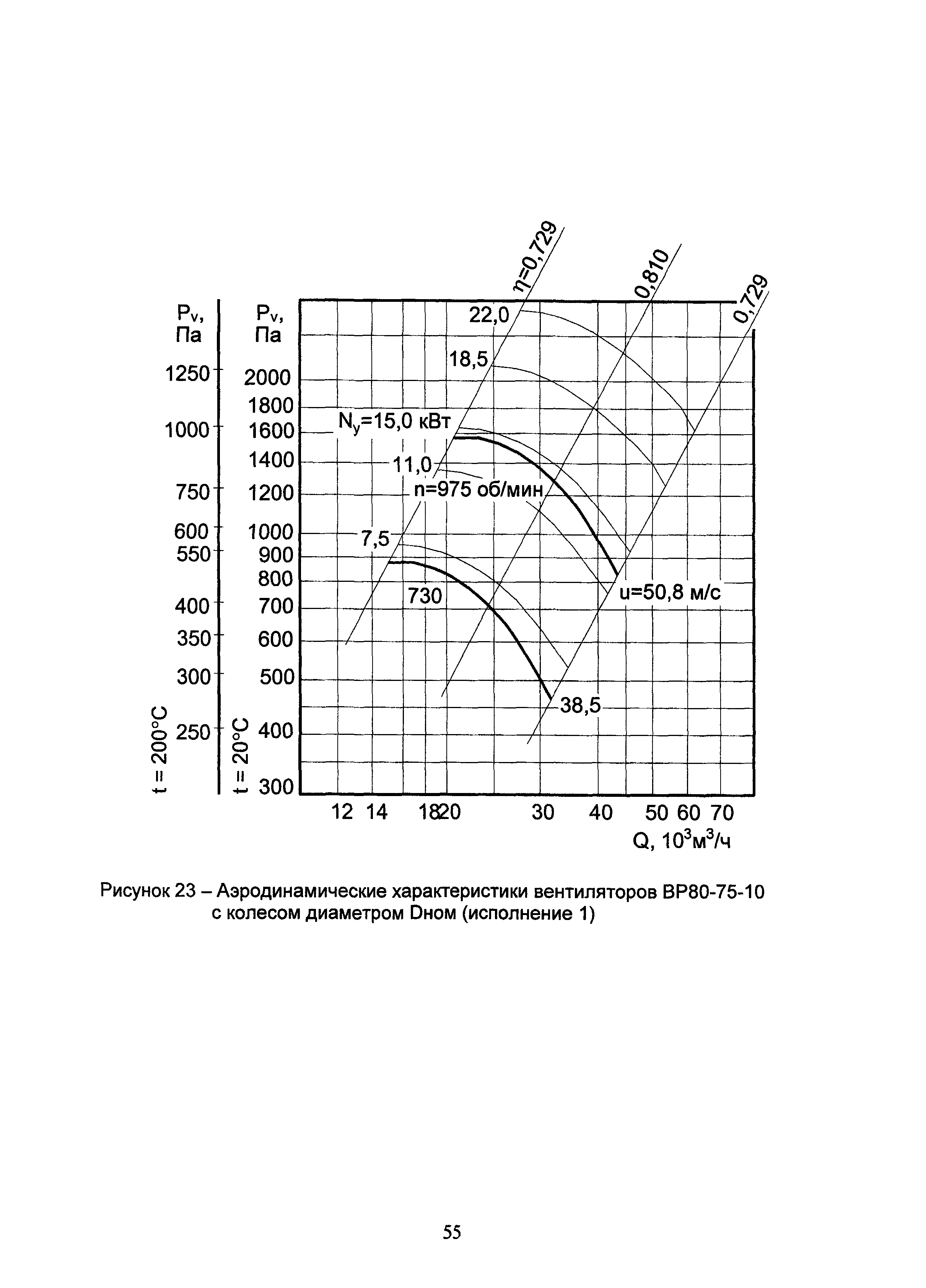
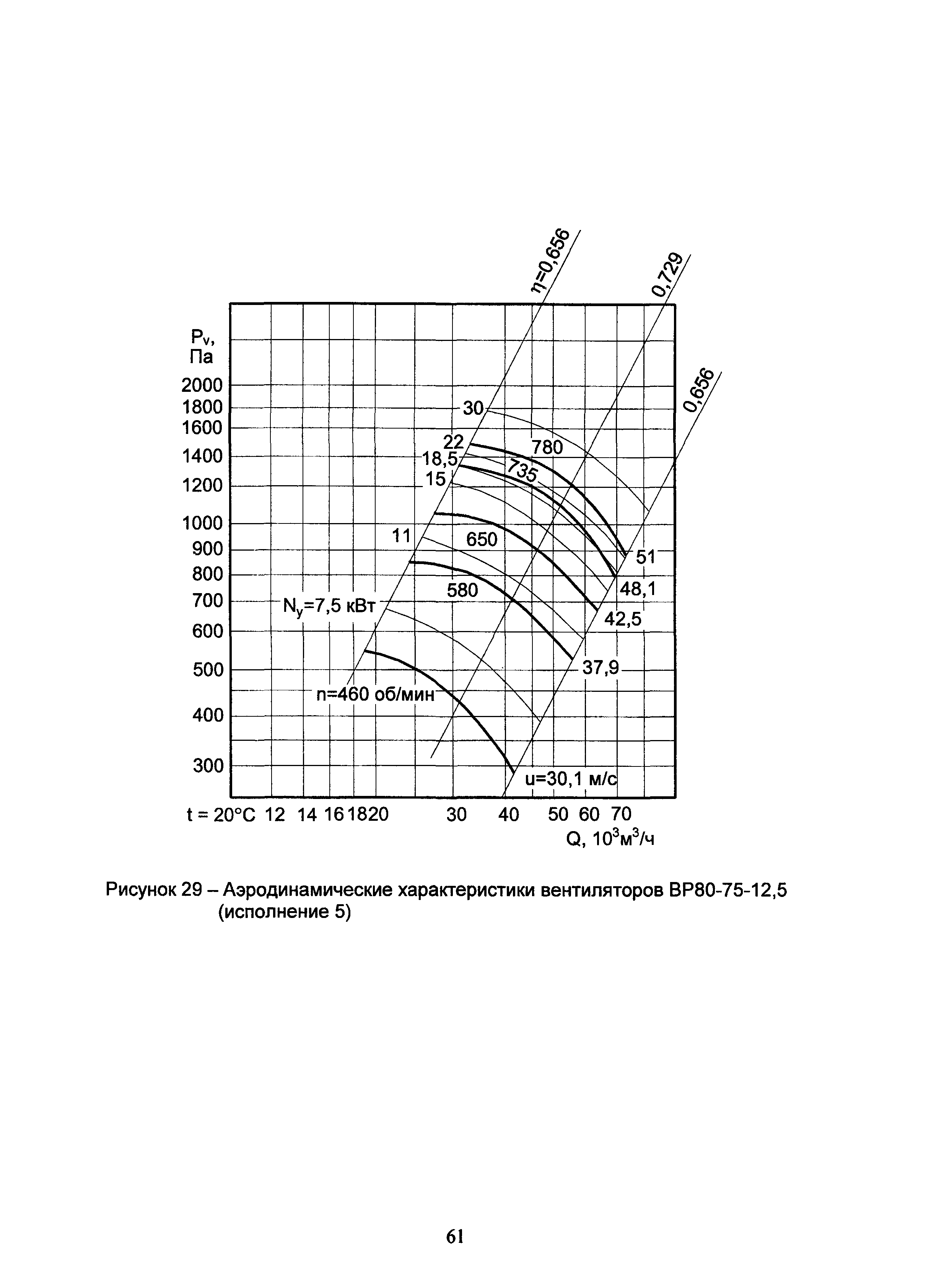
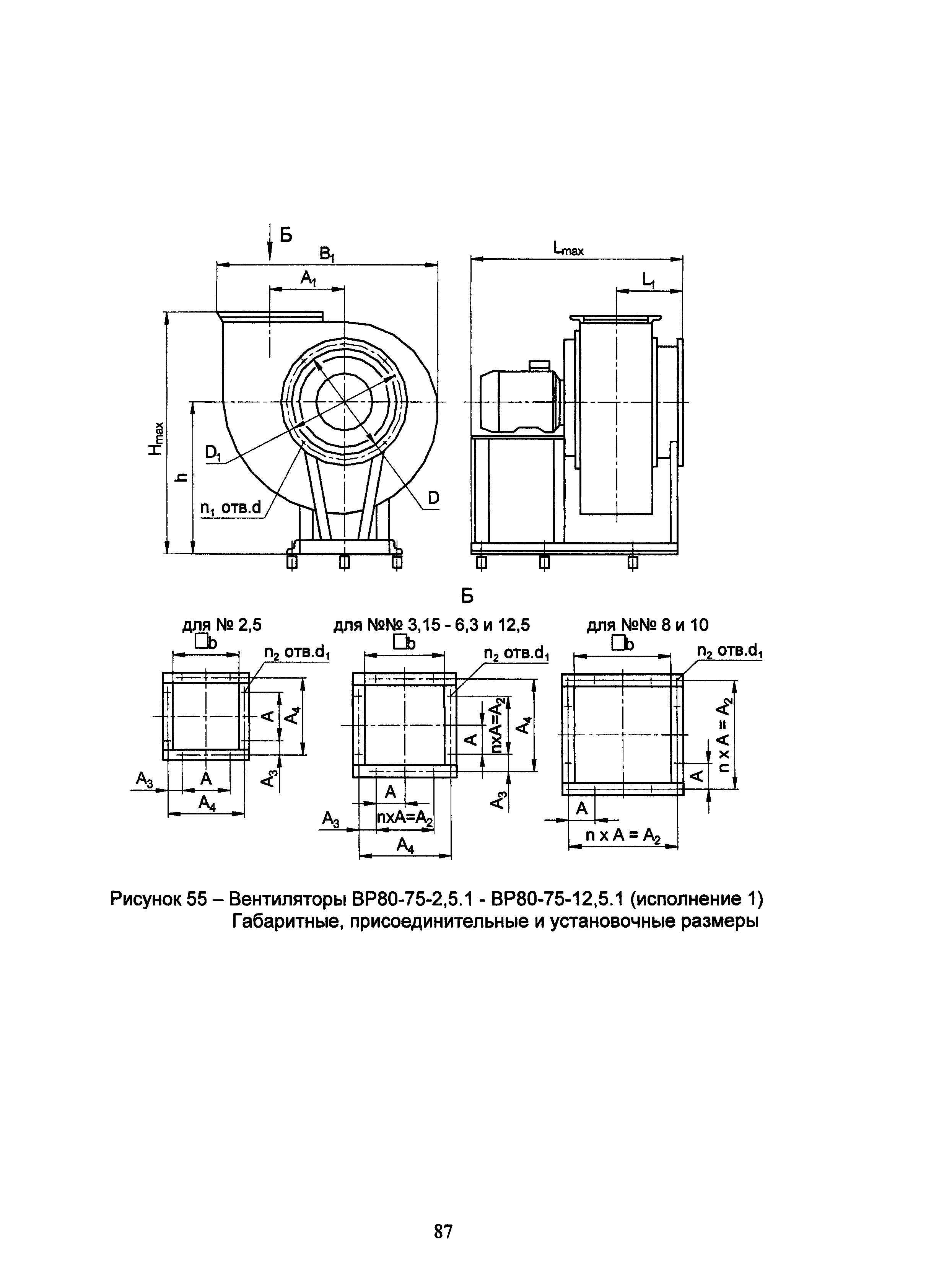
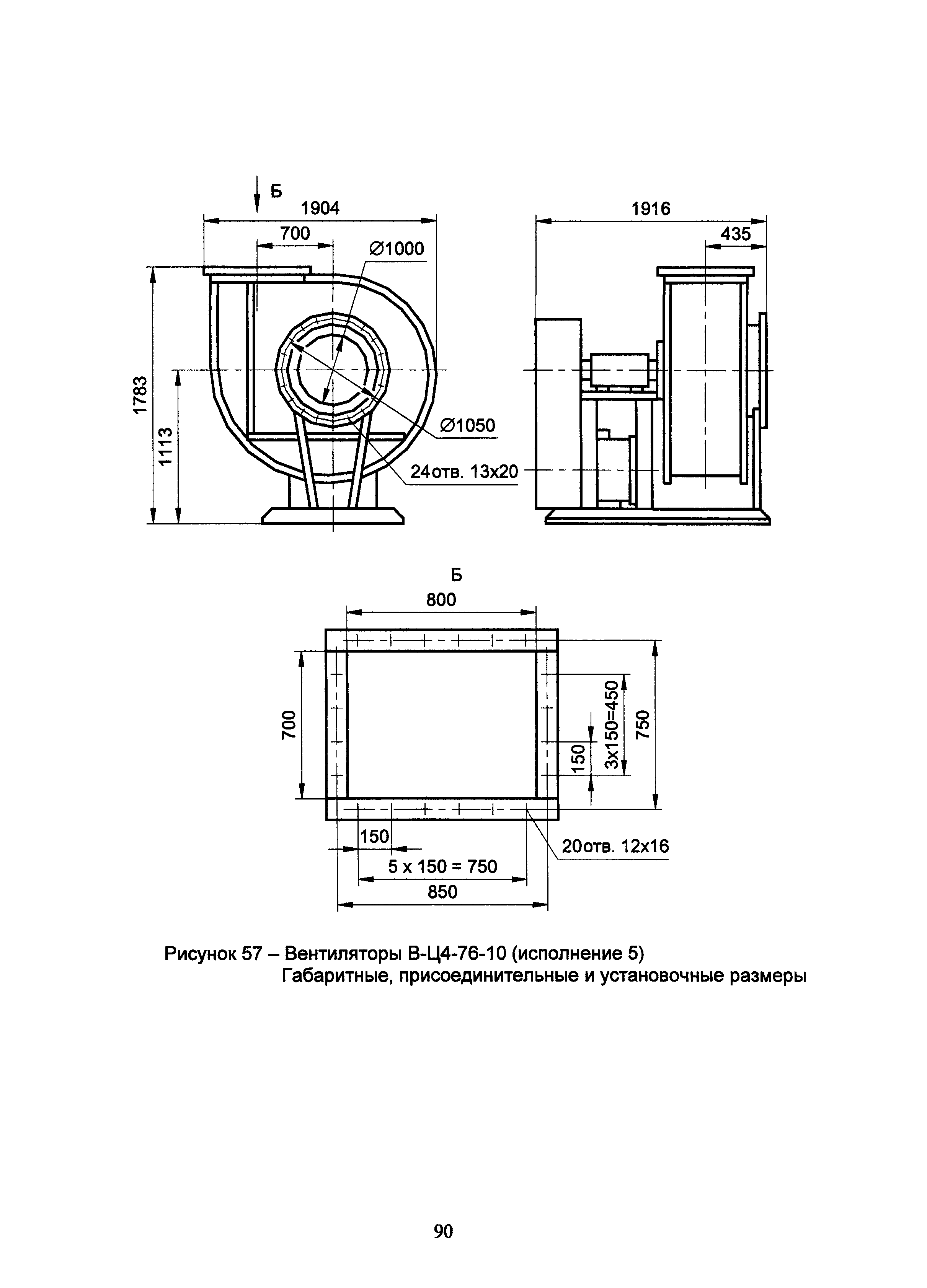
| Область применения: | Руководство содержит технические данные, указания по подбору, аэродинамические характеристики, габаритные, установочные и присоединительные размеры радиальных вентиляторов ВР 80-75, ВР 80-76, В-Ц4-76 и В-Ц14-46, в том числе, общего назначения из углеродистых сталей, коррозионностойких из нержавеющей стали, теплостойких, взрывозащищенных из разнородных металлов и алюминиевых сплавов. |
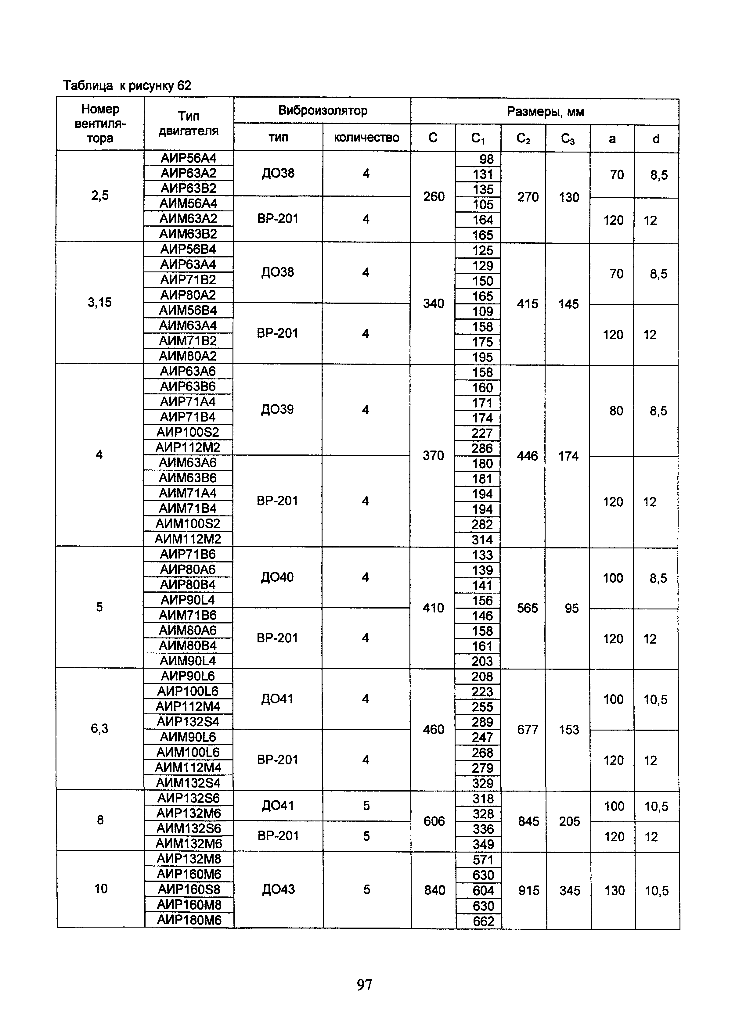
| Оглавление: | 1 Общие указания 2 Условные обозначения 3 Подбор вентиляторов Приложение А. Размеры и технические характеристики виброизоляторов Приложение Б. Динамические нагрузки от виброизолированных вентиляторов Приложение В. Перечень технических условий на вентиляторы, приведенные в Руководстве |
| Разработан: | ФГУП СантехНИИпроект |
| Утверждён: | ФГУП СантехНИИпроект |
| Принят: | Госстрой России (Russian Federation Gosstroy ) |















































































































