Скачать РТМ 24.031.06-73 Расчет и проектирование элементов креплений экранной системы котельных агрегатов с цельносварными панелямиДата актуализации: 01.01.2021
|
| Обозначение: | РТМ 24.031.06-73 |
| Обозначение англ: | RTM 24.031.06-73 |
| Статус: | информационный документ |
| Название рус.: | Расчет и проектирование элементов креплений экранной системы котельных агрегатов с цельносварными панелями |
| Название англ.: | Low-Pressure and Medium-Pressure Steam Boilers - Organization and Methods for Chemical Monitoring of Water Chemistry |
| Дата добавления в базу: | 12.02.2016 |
| Дата актуализации: | 01.01.2021 |
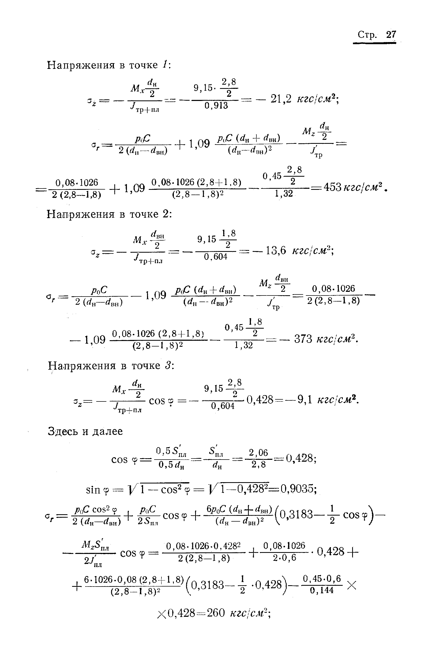
| Область применения: | Руководящий технический материал (РТМ) распространяется па расчет в проектирование поясов жесткости газоплотных экранов котельных агрегатов, работающих под наддувом и с уравновешенной тягой, с вертикальным расположением труб, на расчет напряжений в трубах газоплотных экранов, на расчет усилий в трубах и плавниках газоплотного экрана от его подвески, а также на расчет прогибов в напряжений с учетом "хлопка" в топке котлоагрегата. |
| Оглавление: | 1. Основные положения в условные обозначения 2. Расчет наружных поясов жесткости и определение напряжений в газоплотном экране 3. Определение усилий от подвески газоплотных экранов 4. Основные принципы конструирования поясов жесткости (бандажей) Приложение 1. Пояснения к расчетным формулам РТМ Приложение 2. Примеры расчета газоплотной коробки и усилий в трубах в плавниках от подвески Приложение 3. Примеры конструктивного выполнения поясов жесткости |
| Разработан: | ЦКТИ им. И. И. Ползунова |
| Утверждён: | 17.08.1973 Министерство тяжелого, энергетического и транспортного машиностроения (ПС-002/15383) |






































