Скачать ОЕРЖ 81-02-08-2001 Часть 8. Конструкции из кирпича и блоков. Книга 2 (Уральский, Западно-Сибирский, Восточно-Сибирский, Дальневосточный территориальные районы)Дата актуализации: 01.01.2021
|
| Обозначение: | ОЕРЖ 81-02-08-2001 |
| Обозначение англ: | 81-02-08-2001 |
| Статус: | действует |
| Название рус.: | Часть 8. Конструкции из кирпича и блоков. Книга 2 (Уральский, Западно-Сибирский, Восточно-Сибирский, Дальневосточный территориальные районы) |
| Дата добавления в базу: | 12.02.2016 |
| Дата актуализации: | 01.01.2021 |
| Дата введения: | 01.06.2011 |
| Область применения: | Отраслевые единичные расценки на строительные и специальные строительные работы предназначены для определения затрат при выполнении строительных работ и составления на их основе сметных расчетов (смет) на производство указанных работ. |
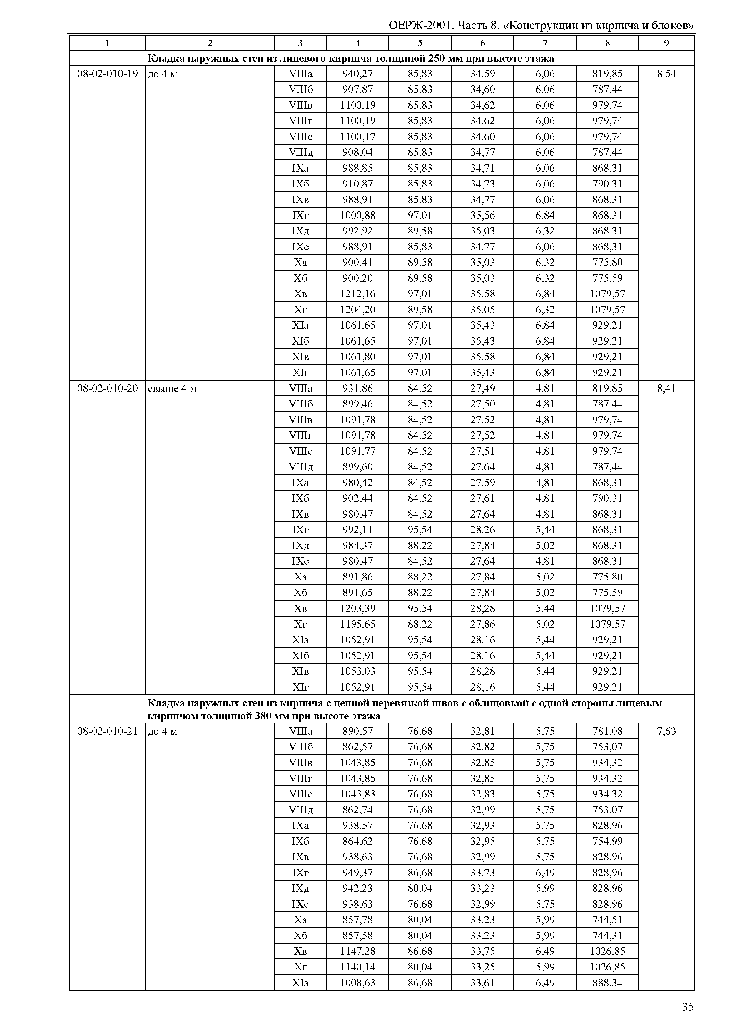
| Оглавление: | Часть 8. Конструкции из кирпича и блоков Раздел 1. Конструкции из бутового камня, гидроизоляция и основания под фундаменты Раздел 2. Конструкции из кирпича и камней Раздел 3. Конструкции из легких блоков и камней Раздел 4. Перегородки Раздел 5. Плиты подоконные, крыльца Раздел 6. Мусоропроводы Раздел 7. Наружные и внутренние леса Раздел 8. Печи отопительные и очаги |
| Разработан: | ОАО РЖД НО Национальная ассоциация стоимостного инжиниринга |
| Утверждён: | 31.01.2011 ОАО РЖД (178р) |


























































































