Скачать ОЕРЖ 81-02-15-2001 Часть 15. Отделочные работы. Книга 2 (Уральский, Западно-Сибирский, Восточно-Сибирский, Дальневосточный территориальные районы)Дата актуализации: 01.01.2021
|
| Обозначение: | ОЕРЖ 81-02-15-2001 |
| Обозначение англ: | 81-02-15-2001 |
| Статус: | действует |
| Название рус.: | Часть 15. Отделочные работы. Книга 2 (Уральский, Западно-Сибирский, Восточно-Сибирский, Дальневосточный территориальные районы) |
| Дата добавления в базу: | 12.02.2016 |
| Дата актуализации: | 01.01.2021 |
| Дата введения: | 01.06.2011 |
| Область применения: | Отраслевые единичные расценки на строительные и специальные строительные работы предназначены для определения затрат при выполнении строительных работ и составления на их основе сметных расчетов (смет) на производство указанных работ. |
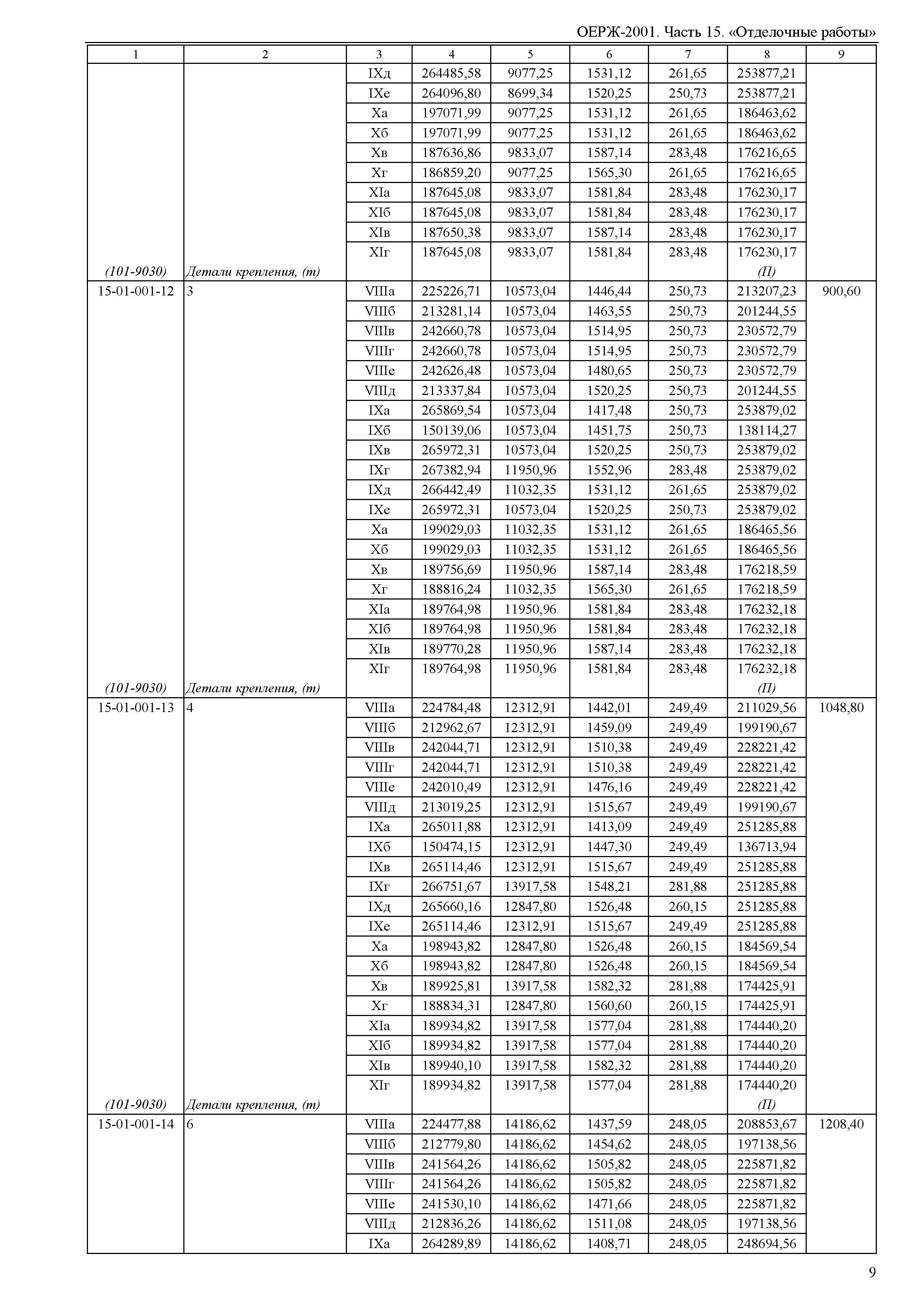
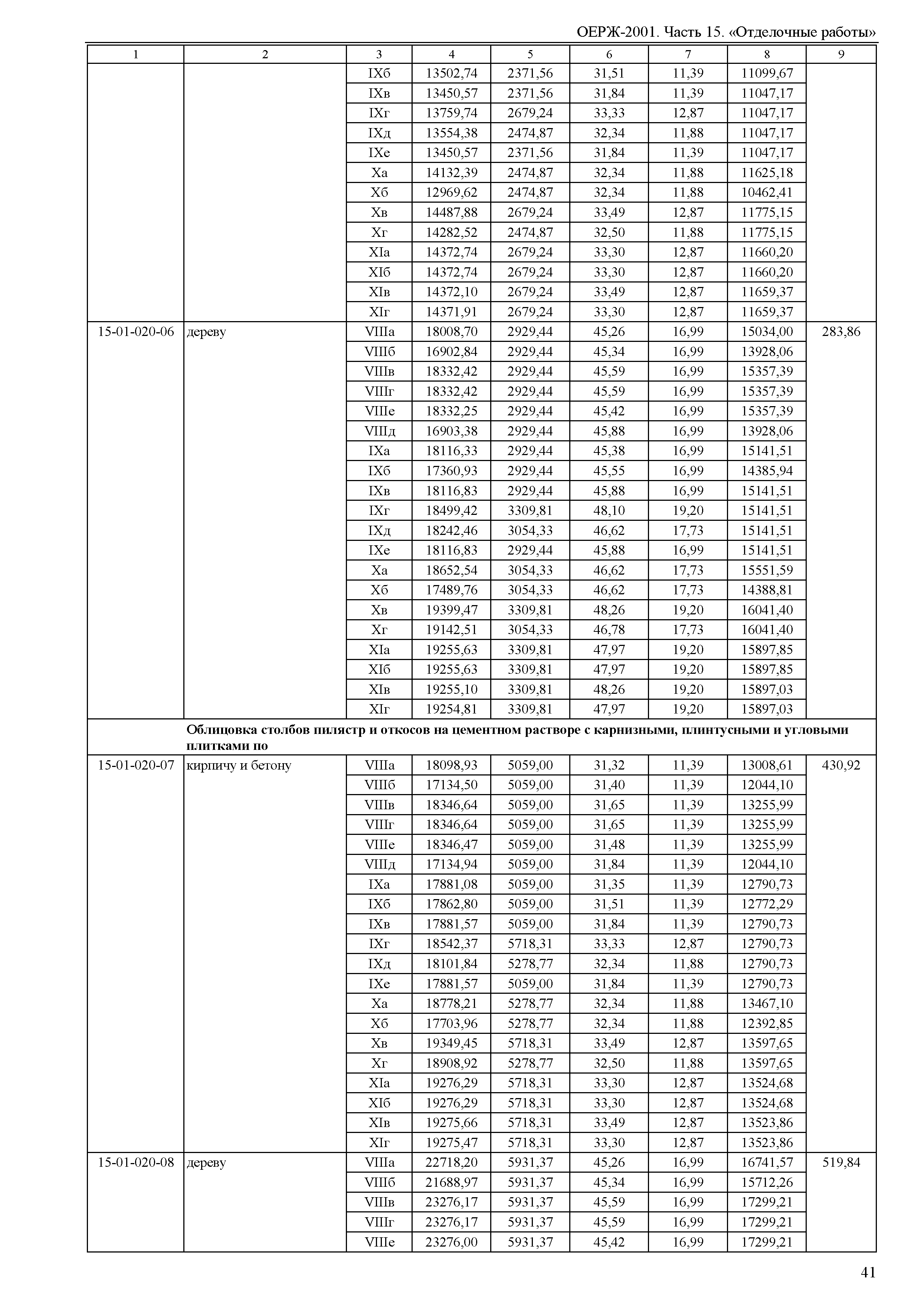
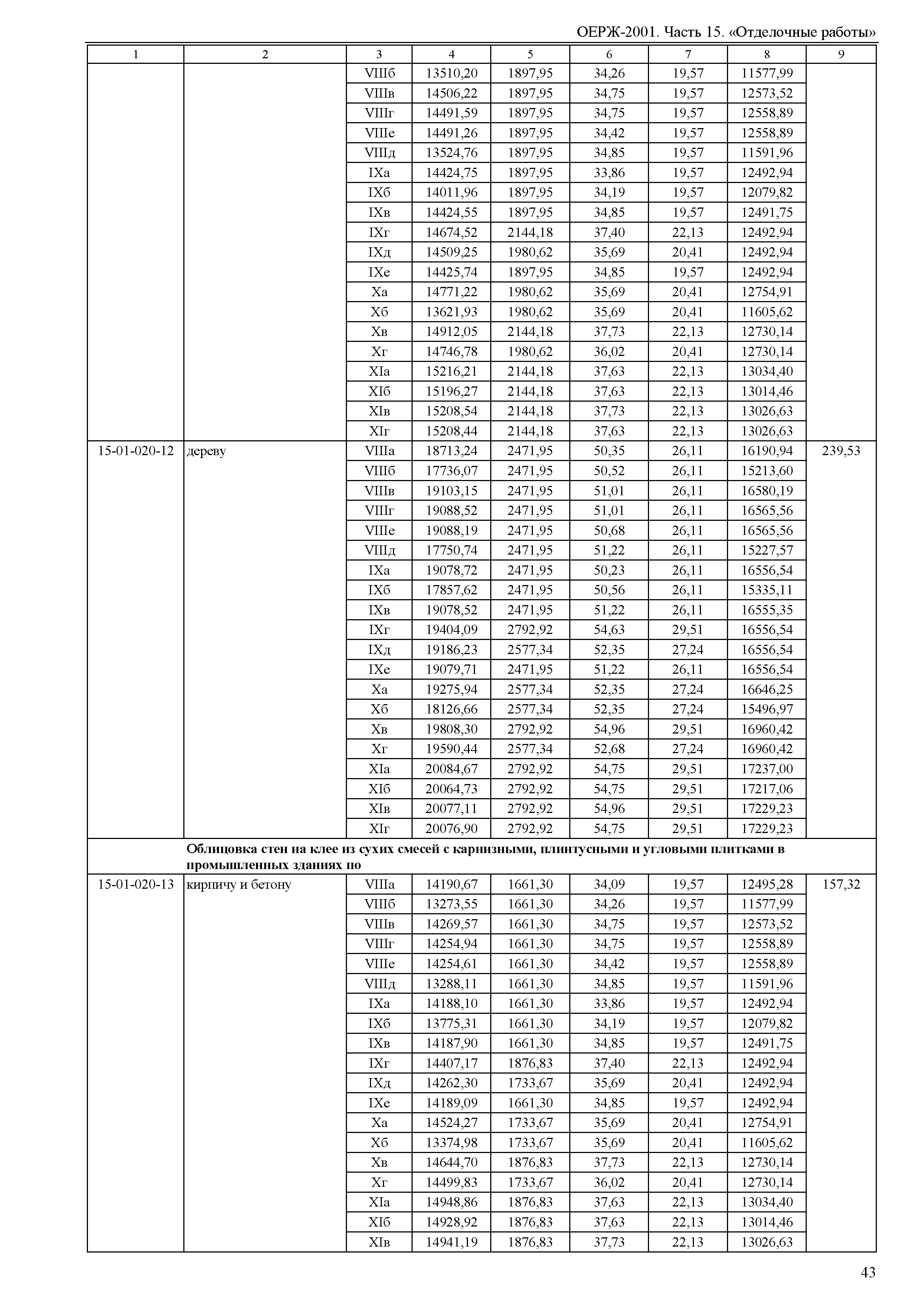
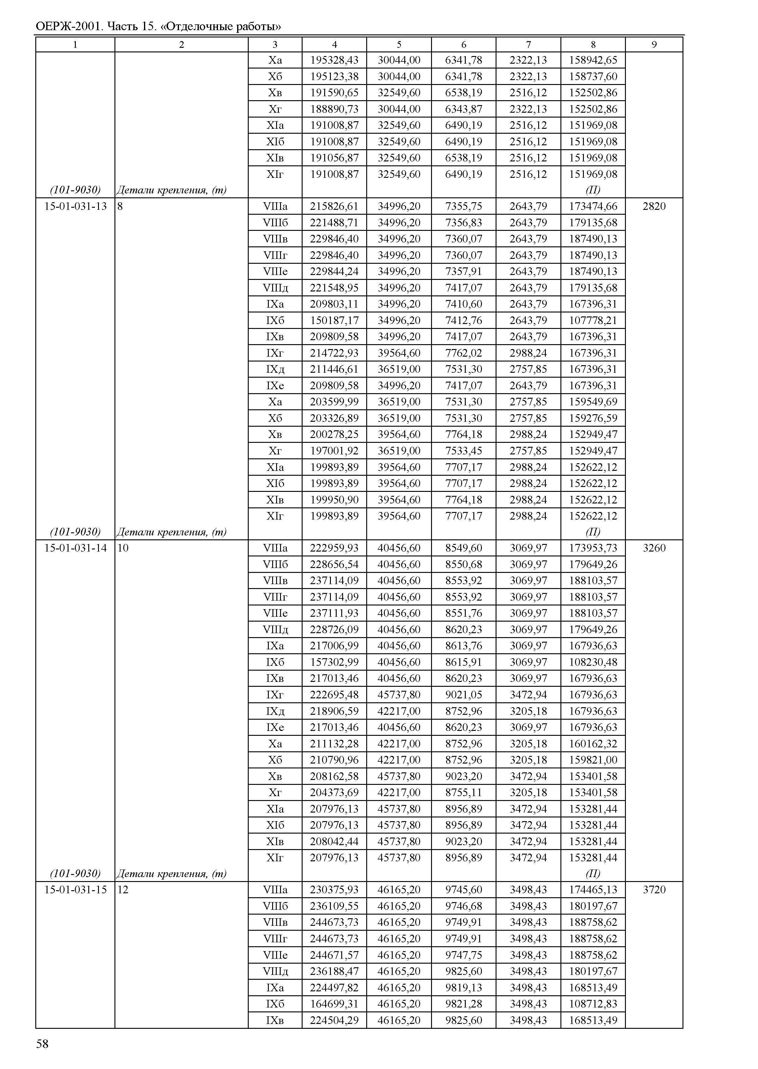
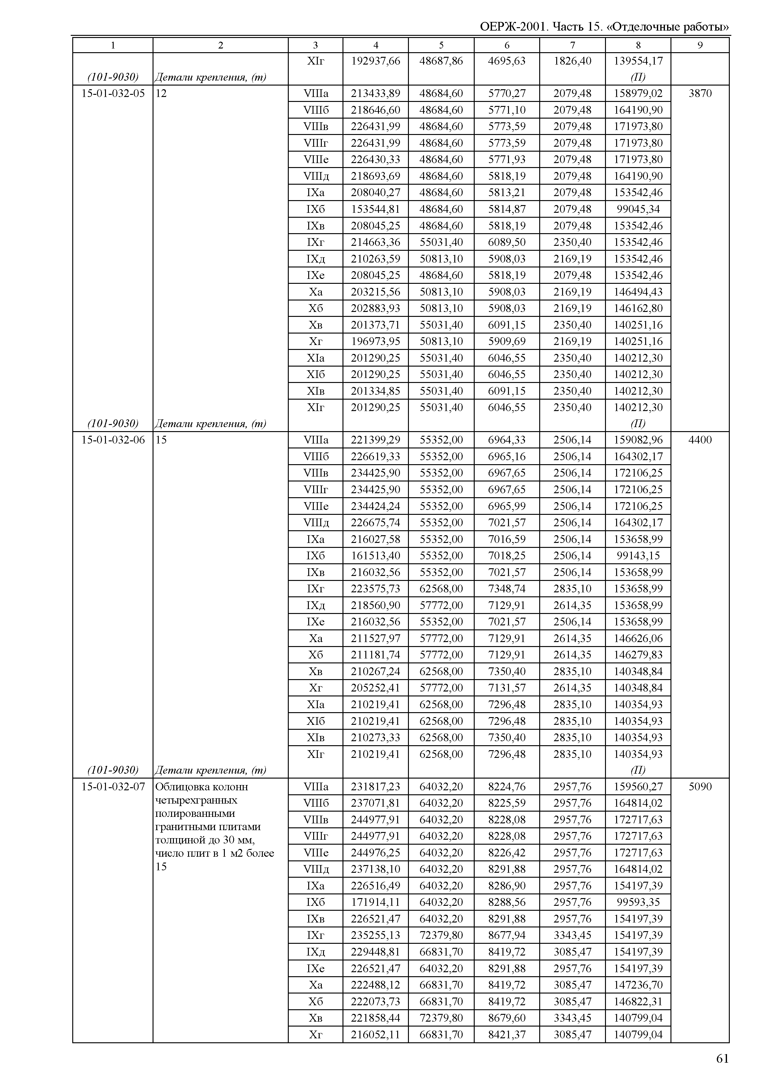
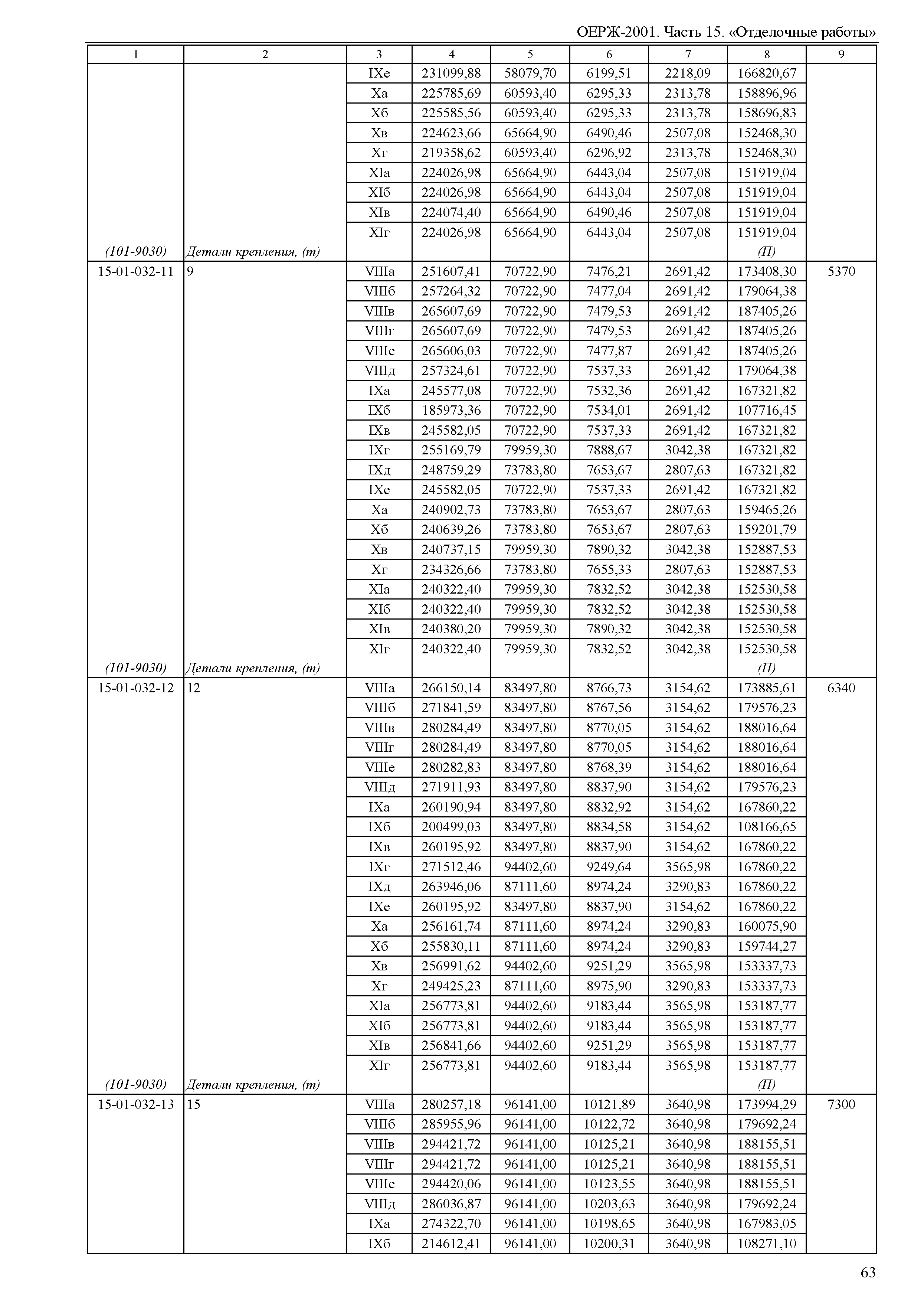
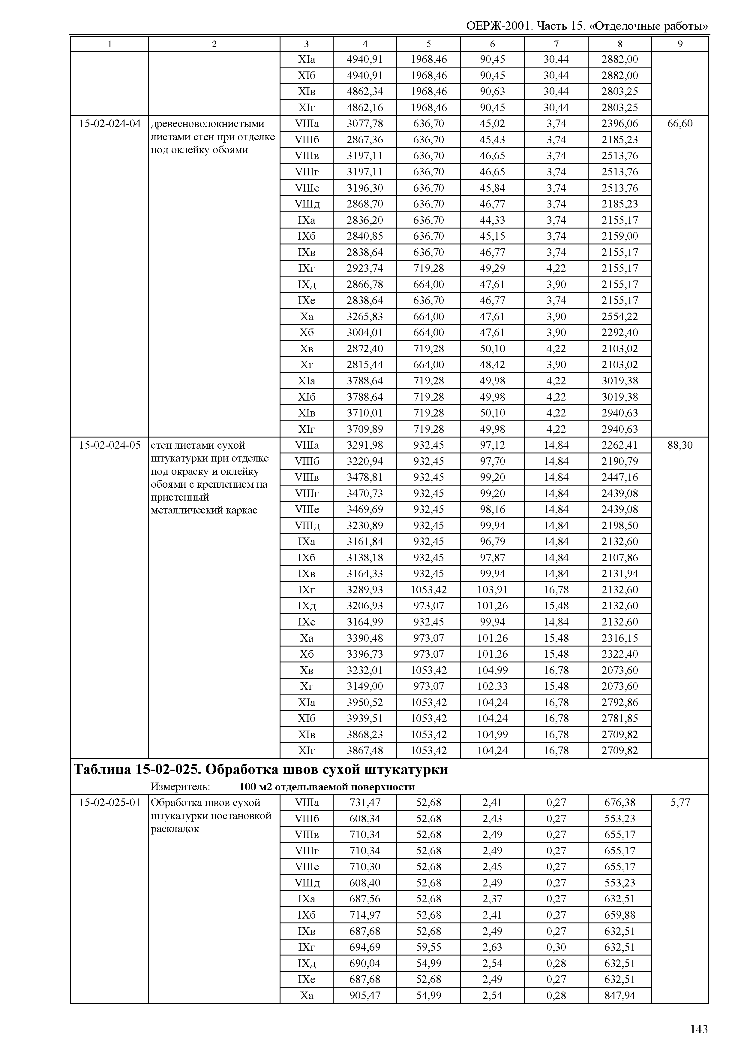
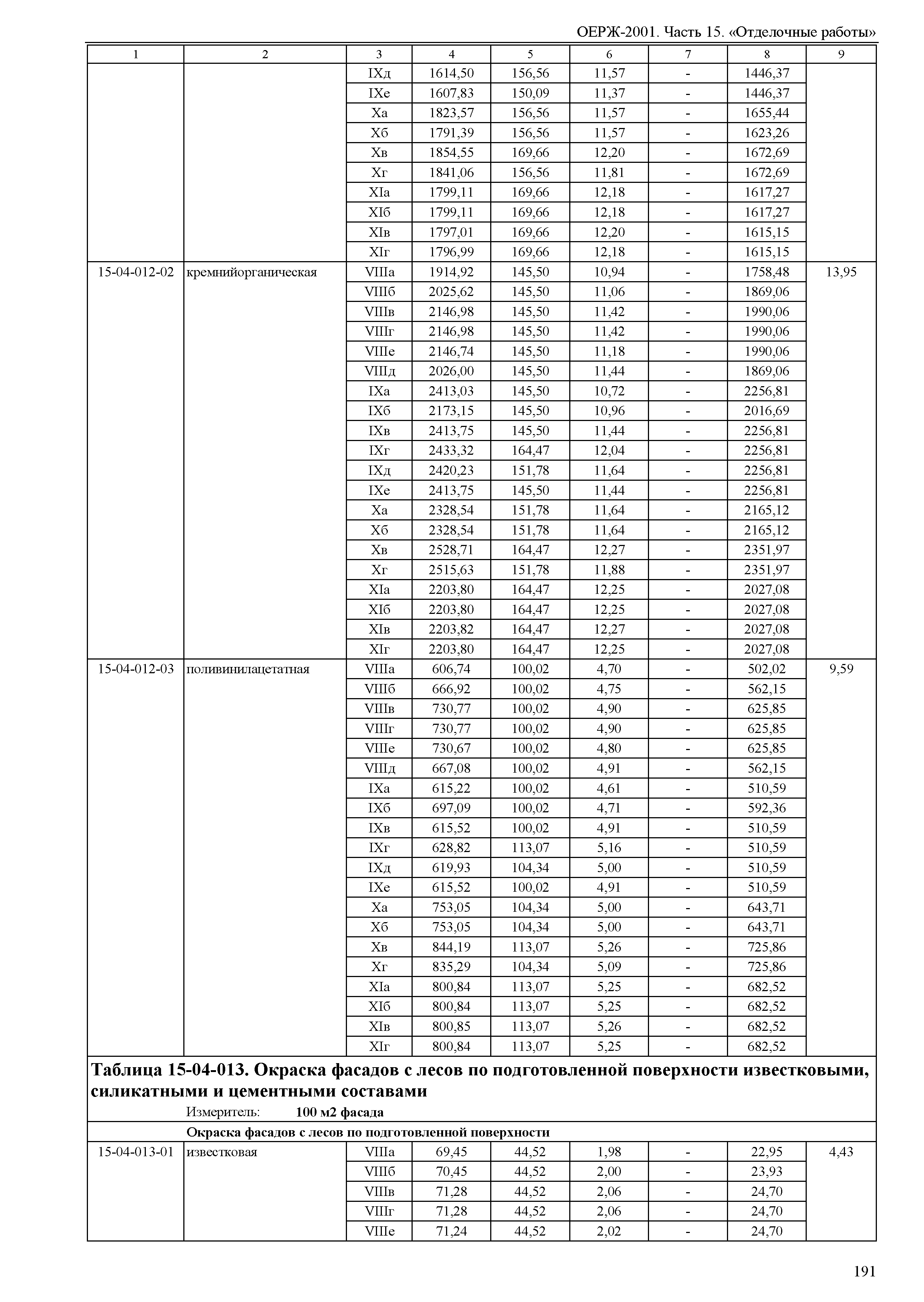
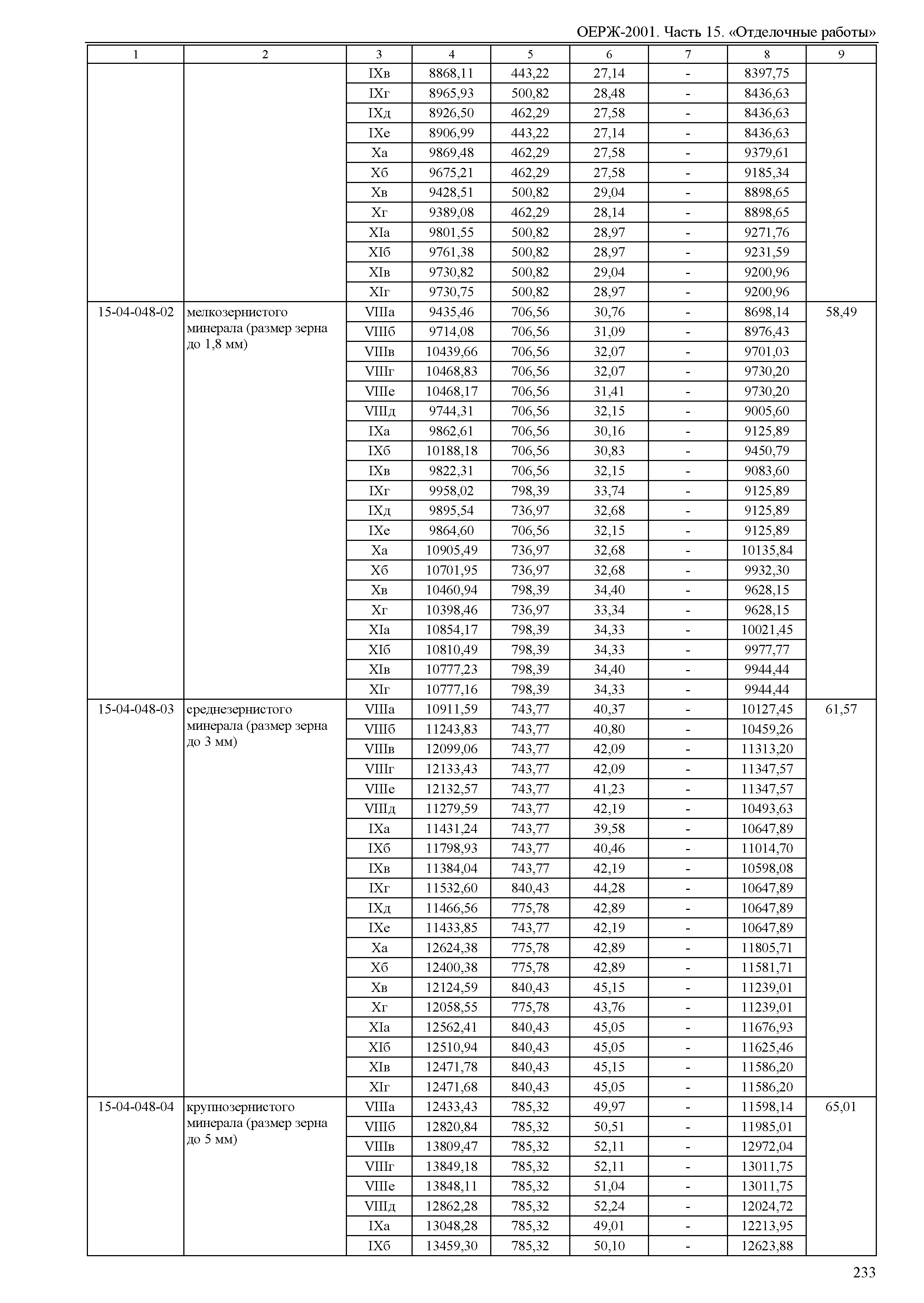
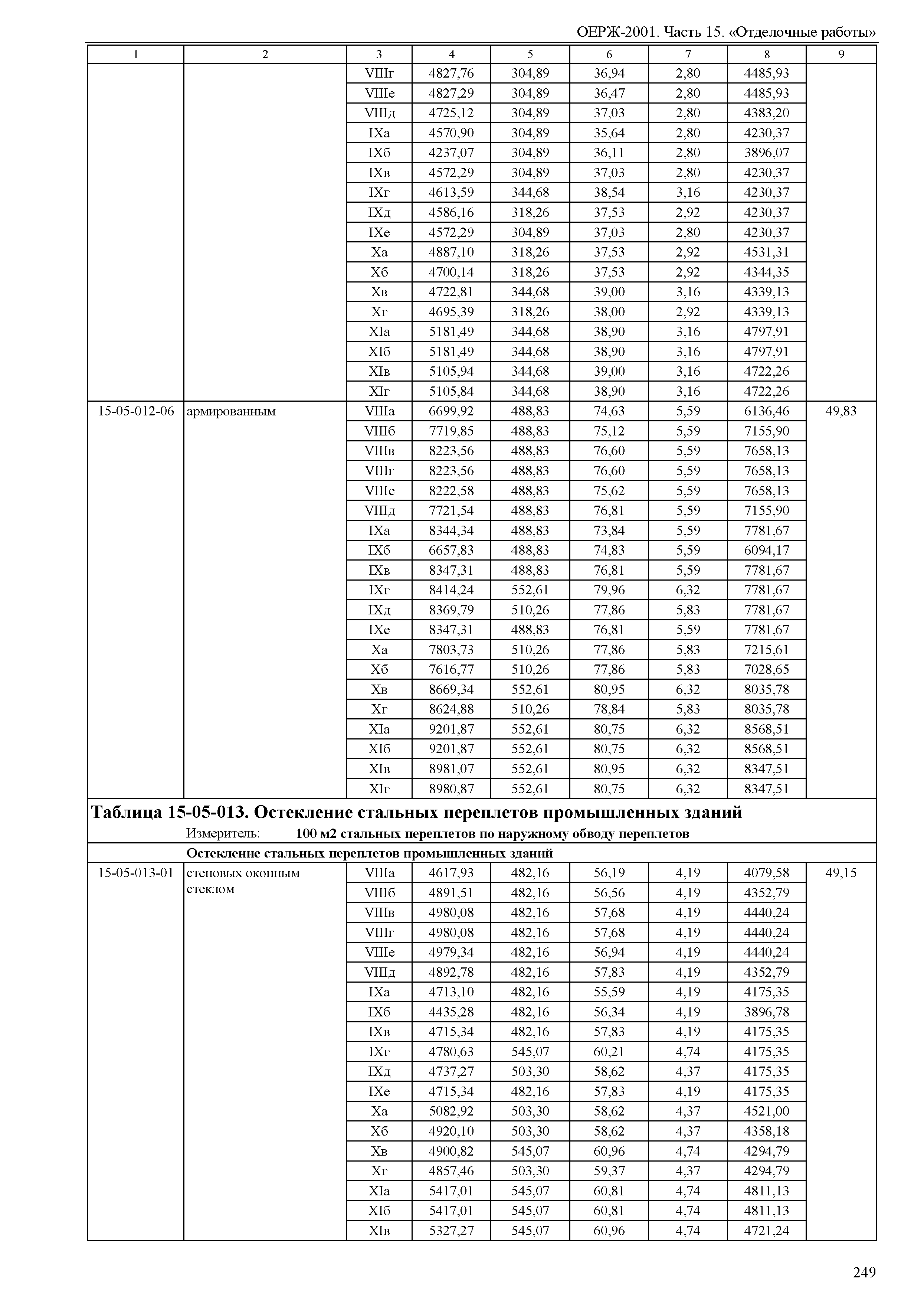
| Оглавление: | Раздел 1. Облицовочные работы Подраздел 1.1 Облицовка поверхностей природным камнем и линейными фасонными камнями Подраздел 1.2 Облицовка поверхности искусственными плитками Подраздел 1.3 Облицовочные работы в зданиях с повышенными требованиями к отделке Подраздел 1.4 Облицовка внутренних поверхностей листовыми материалами Подраздел 1.5 Наружная облицовка фасадов Раздел 2. Штукатурные работы Подраздел 2.1 Штукатурка фасадов Подраздел 2.2 Штукатурка поверхностей внутри зданий Подраздел 2.3 Оштукатуривание отдельных мест, лестничных маршей и площадок. декоративная штукатурка Раздел 3. Лепные работы Раздел 4. Малярные работы Подраздел 4.1 Окраска водными составами внутри помещения Подраздел 4.2 Окраска фасадов с лесов или люлек Подраздел 4.3 Окраска масляными составами Подраздел 4.4 Покрытие и окраска лаками и специальными составами Подраздел 4.5 Декоративные работы Раздел 5. Стекольные работы Подраздел 5.1 Остекление деревянных окопных переплетов, фрамуг, дверных полотен и витрин жилых и общественных зданий Подраздел 5.2 Остекление переплетов промышленных зданий Подраздел 5.3 Остекление конструкций профильным стеклом Раздел 6. Обойные работы |
| Разработан: | ОАО РЖД НО Национальная ассоциация стоимостного инжиниринга |
| Утверждён: | 31.01.2011 ОАО РЖД (178р) |













































































































































































































































































