Скачать ОЕРЖ 81-02-39-2001 Часть 39. Металлические конструкции гидротехнических сооружений. Книга 2 (Уральский, Западно-Сибирский, Восточно-Сибирский, Дальневосточный территориальные районы)Дата актуализации: 01.01.2021
|
| Обозначение: | ОЕРЖ 81-02-39-2001 |
| Обозначение англ: | 81-02-39-2001 |
| Статус: | действует |
| Название рус.: | Часть 39. Металлические конструкции гидротехнических сооружений. Книга 2 (Уральский, Западно-Сибирский, Восточно-Сибирский, Дальневосточный территориальные районы) |
| Дата добавления в базу: | 12.02.2016 |
| Дата актуализации: | 01.01.2021 |
| Дата введения: | 01.06.2011 |
| Область применения: | Отраслевые единичные расценки на строительные и специальные строительные работы предназначены для определения затрат при выполнении строительных работ и составления на их основе сметных расчетов (смет) на производство указанных работ. |
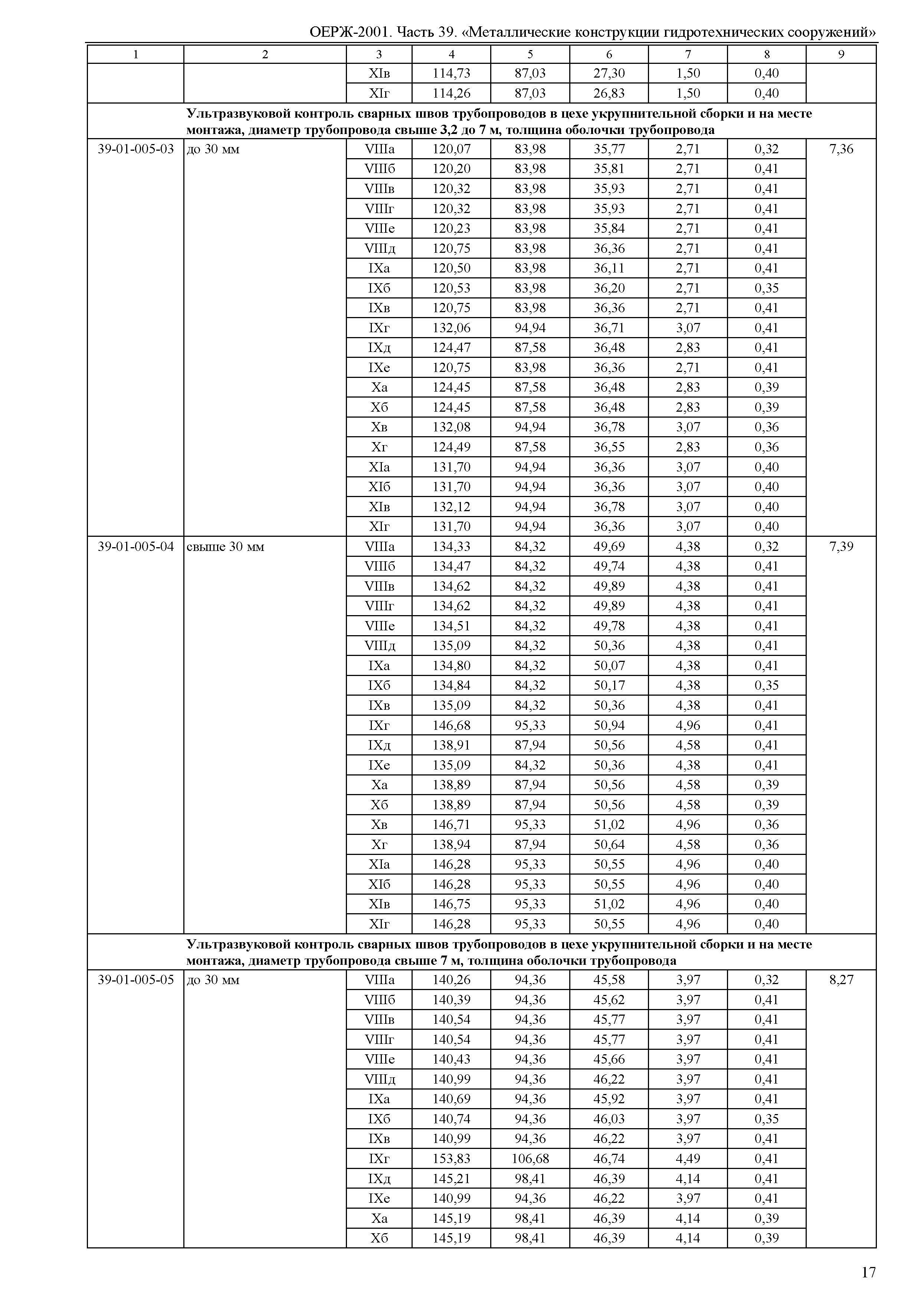
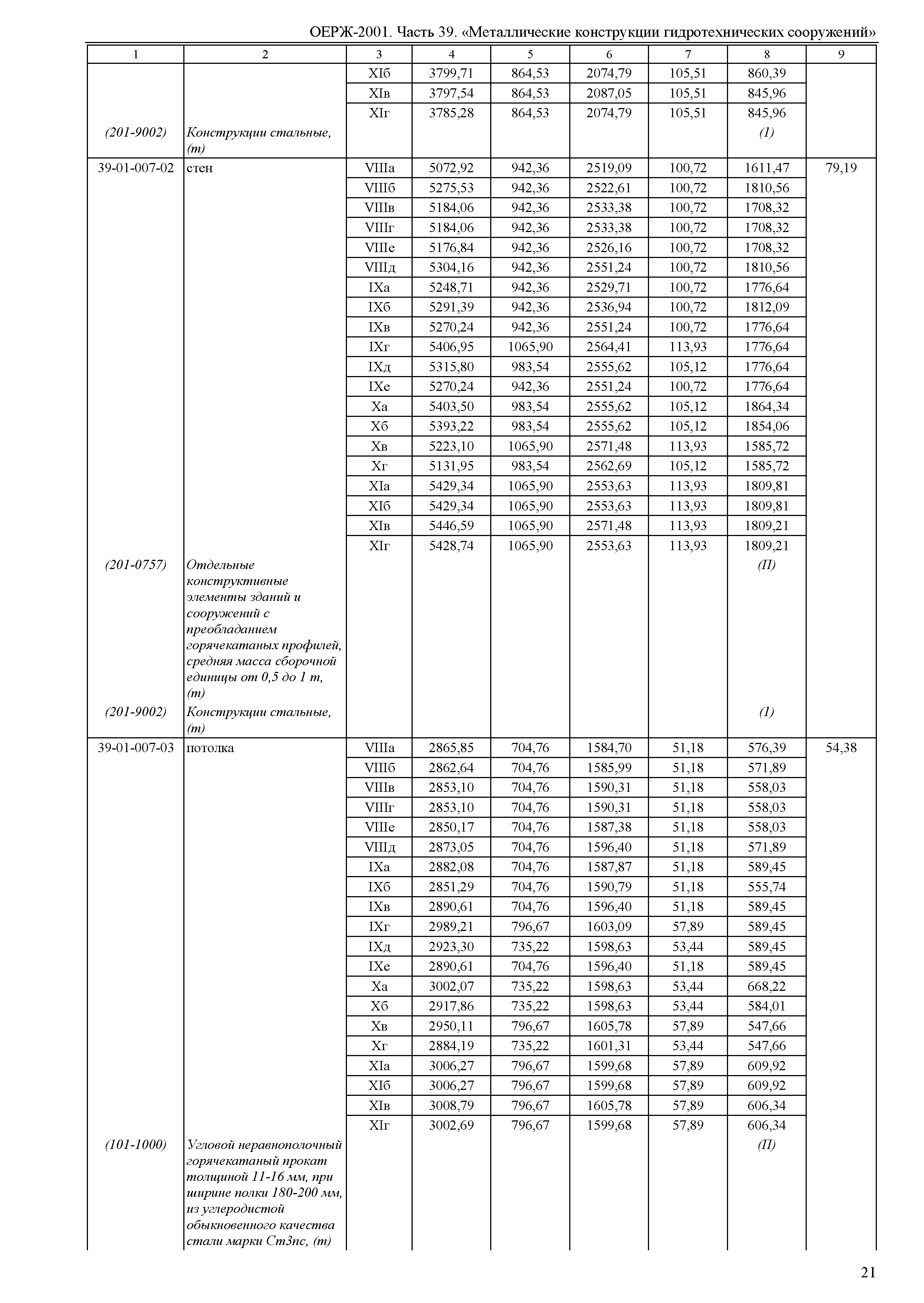
| Оглавление: | Раздел 1. Металлические конструкции гидротехнических сооружений Подраздел 1.1 Закладные части механического оборудования и металлических конструкций Подраздел 1.2 Трубопроводы на поверхности Подраздел 1.3 Облицовки Подраздел 1.4 Прочие металлические конструкции Подраздел 1.5 Металлические конструкции морских сооружений Подраздел 1.6 Распределительные пояса и анкерные тяги речных набережных |
| Разработан: | ОАО РЖД НО Национальная ассоциация стоимостного инжиниринга |
| Утверждён: | 31.01.2011 ОАО РЖД (178р) |




































