Скачать ОЕРЖ 81-02-42-2001 Часть 42. Берегоукрепительные работы. Книга 1 (Северный, Северо-Западный, Центральный, Волго-Вятский, Центрально-Черноземный, Поволжский, Северо-Кавказский территориальные районы)Дата актуализации: 01.01.2021
|
| Обозначение: | ОЕРЖ 81-02-42-2001 |
| Обозначение англ: | 81-02-42-2001 |
| Статус: | действует |
| Название рус.: | Часть 42. Берегоукрепительные работы. Книга 1 (Северный, Северо-Западный, Центральный, Волго-Вятский, Центрально-Черноземный, Поволжский, Северо-Кавказский территориальные районы) |
| Дата добавления в базу: | 12.02.2016 |
| Дата актуализации: | 01.01.2021 |
| Дата введения: | 01.06.2011 |
| Область применения: | Отраслевые единичные расценки на строительные и специальные строительные работы предназначены для определения затрат при выполнении строительных работ и составления на их основе сметных расчетов (смет) на производство указанных работ. |
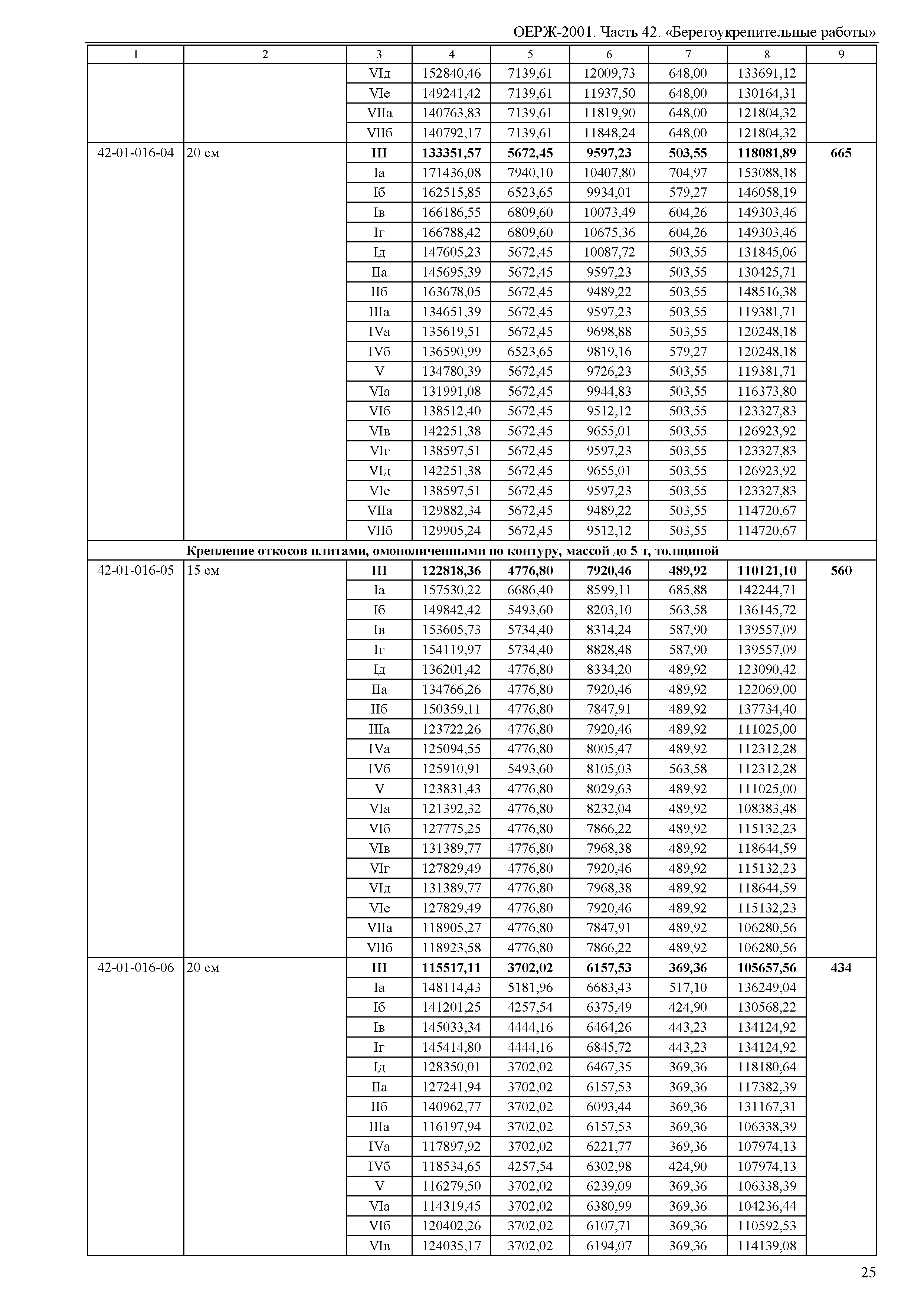
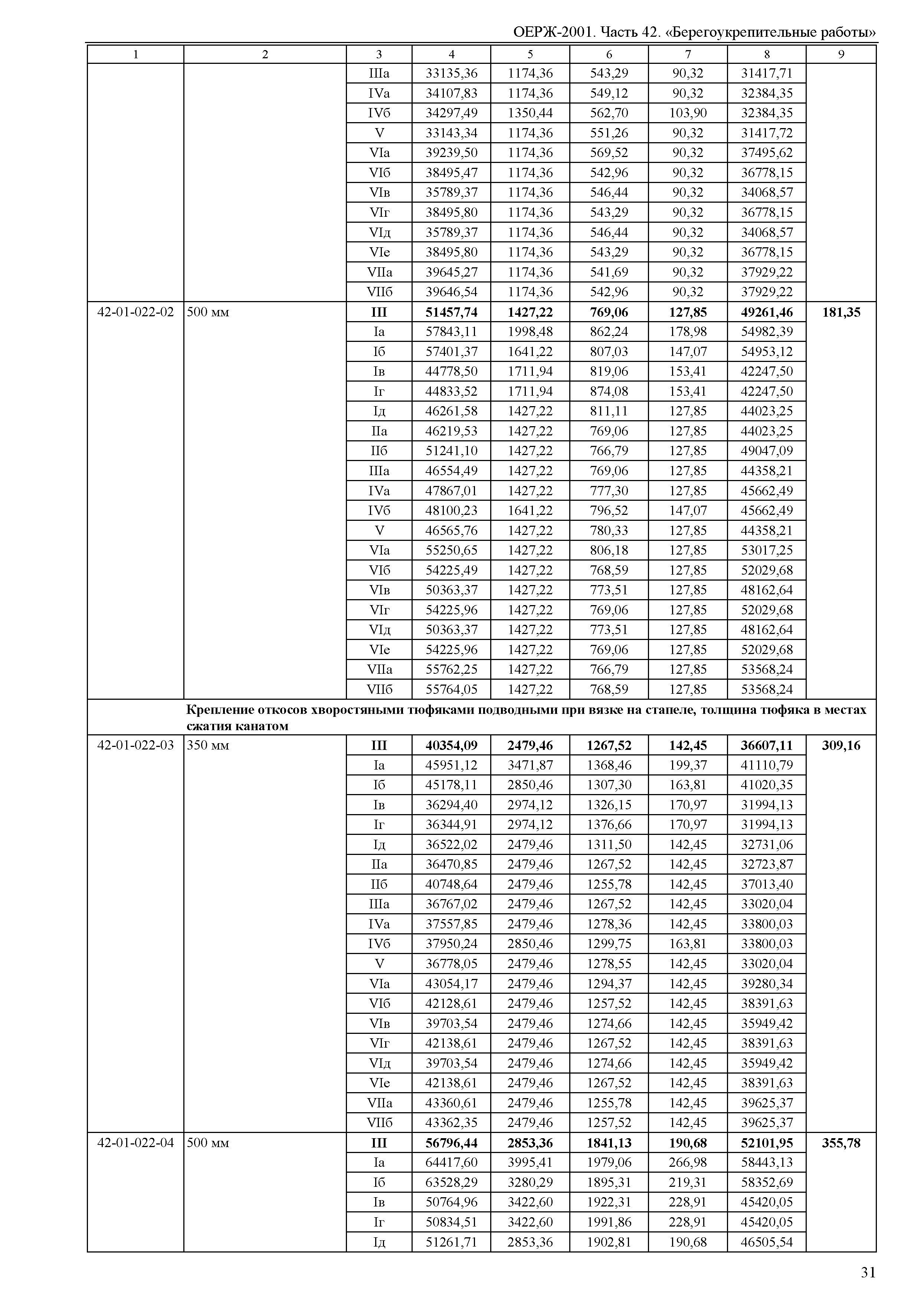
| Оглавление: | Раздел 1. Крепление откосов речных гидротехнических сооружений и каналов Подраздел 1.1 Крепление скальной породой, камнем, песчано-гравийной смесью или щебнем Подраздел 1.2 Крепление монолитным бетоном и железобетоном Подраздел 1.3 Крепление сборными железобетонными плитами Подраздел 1.4 Анкерные упоры, парапеты и противофильтрационные доски Подраздел 1.5 Противофильтрационные экраны Подраздел 1.6 Подводное крепление откосов Подраздел 1.7 Крепление откосов каналов стенками из досок, деревянных щитов и плетня Раздел 2. Крепление откосов морских набережных и берегов, устройство оградительных сооружений Подраздел 2.1 Крепление откосов камнем Подраздел 2.2 Крепление откосов тетраподами Подраздел 2.3 Крепление откосов массивами Подраздел 2.4 Крепление берегов плитами Подраздел 2.5 Крепление берегов массивами Подраздел 2.6 Подпорные стенки Подраздел 2.7 Берегоукрепительные и оградительные сооружения Подраздел 2.8 Волноломы беспостельного типа |
| Разработан: | ОАО РЖД НО Национальная ассоциация стоимостного инжиниринга |
| Утверждён: | 31.01.2011 ОАО РЖД (178р) |





















































































