Скачать ОЕРЖкр 81-07-01-2001 Часть 1. Искусственные сооружения. Книга 2 (Уральский, Западно-Сибирский, Восточно-Сибирский, Дальневосточный территориальные районы)Дата актуализации: 01.01.2021
|
| Обозначение: | ОЕРЖкр 81-07-01-2001 |
| Обозначение англ: | 81-07-01-2001 |
| Статус: | действует |
| Название рус.: | Часть 1. Искусственные сооружения. Книга 2 (Уральский, Западно-Сибирский, Восточно-Сибирский, Дальневосточный территориальные районы) |
| Дата добавления в базу: | 12.02.2016 |
| Дата актуализации: | 01.01.2021 |
| Дата введения: | 01.06.2011 |
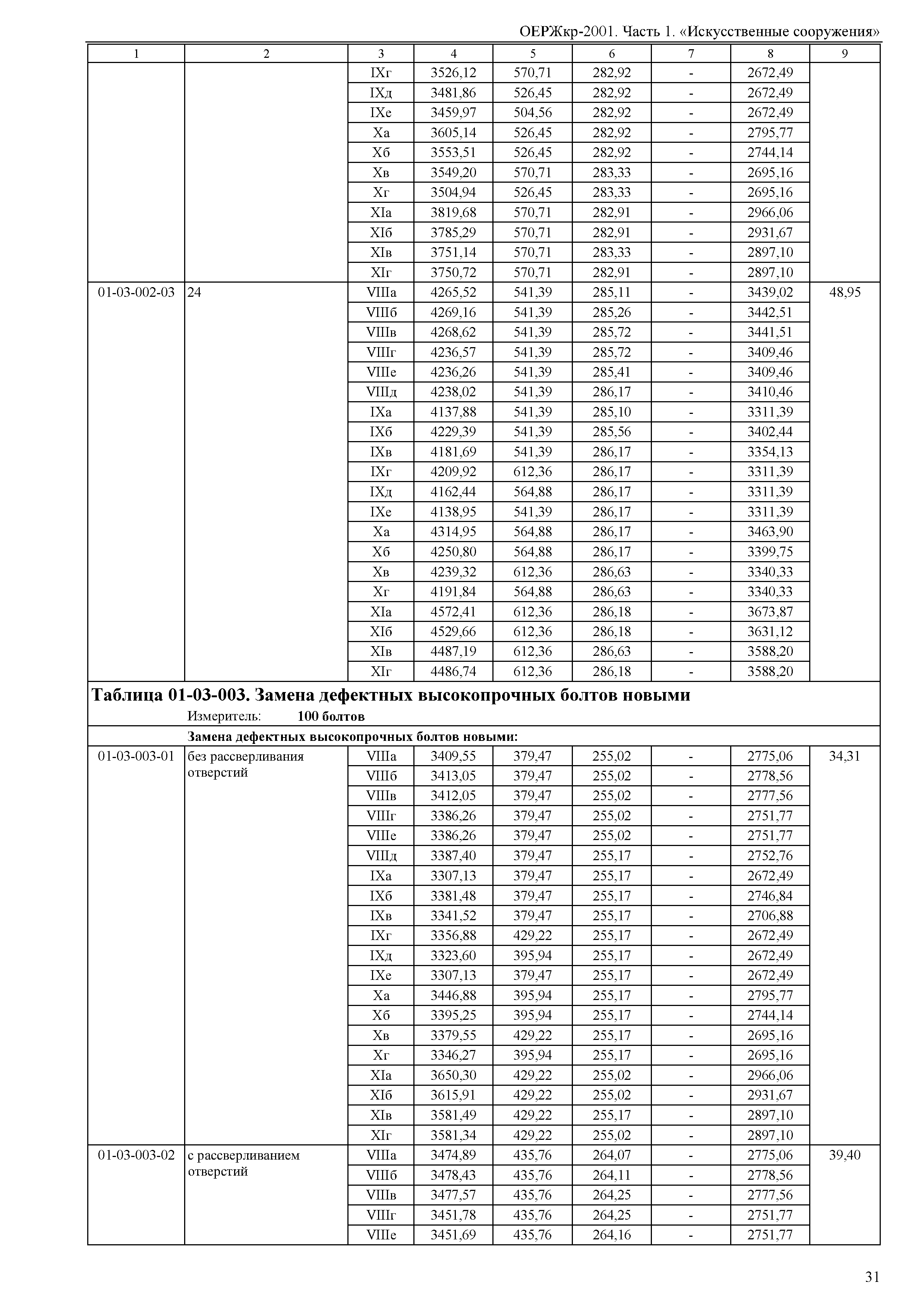
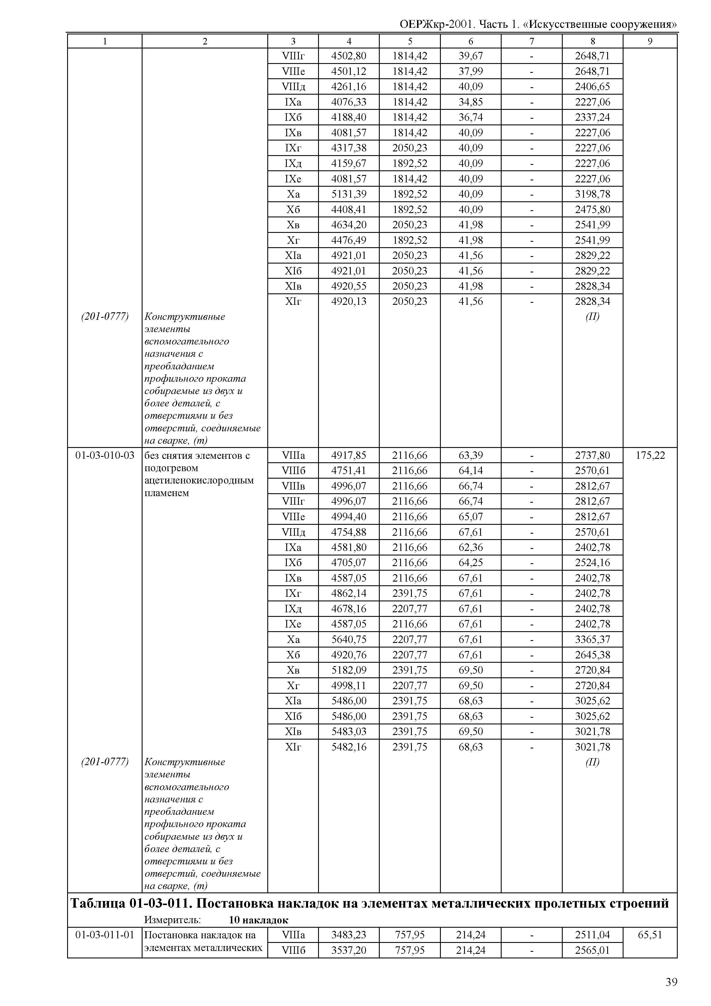
| Область применения: | Отраслевые единичные расценки на капитальный ремонт объектов железнодорожного транспорта предназначены для определения затрат при выполнении работ по капитальному ремонту и составления на их основе сметных расчетов (смет) на производство указанных работ. |
| Оглавление: | Часть 1. Искусственные сооружения Отдел 1. Мосты железнодорожные Раздел 1. Ремонт деревянных конструкций Раздел 2. Ремонт железобетонных и бетонных конструкций Раздел 3. Ремонт металлических конструкций Раздел 5. Вспомогательные и прочие работы |
| Разработан: | ОАО РЖД НО Национальная ассоциация стоимостного инжиниринга |
| Утверждён: | 31.01.2011 ОАО РЖД (178р) |

















































