Скачать ОЕРЖкр 81-07-02-2001 Часть 2. Энергетическое хозяйство. Книга 1 (Северный, Северо-Западный, Центральный, Волго-Вятский, Центрально-Черноземный, Поволжский, Северо-Кавказский территориальные районы)Дата актуализации: 01.01.2021
|
| Обозначение: | ОЕРЖкр 81-07-02-2001 |
| Обозначение англ: | 81-07-02-2001 |
| Статус: | действует |
| Название рус.: | Часть 2. Энергетическое хозяйство. Книга 1 (Северный, Северо-Западный, Центральный, Волго-Вятский, Центрально-Черноземный, Поволжский, Северо-Кавказский территориальные районы) |
| Дата добавления в базу: | 12.02.2016 |
| Дата актуализации: | 01.01.2021 |
| Дата введения: | 01.06.2011 |
| Область применения: | Отраслевые единичные расценки на капитальный ремонт объектов железнодорожного транспорта предназначены для определения затрат при выполнении работ по капитальному ремонту и составления на их основе сметных расчетов (смет) на производство указанных работ. |
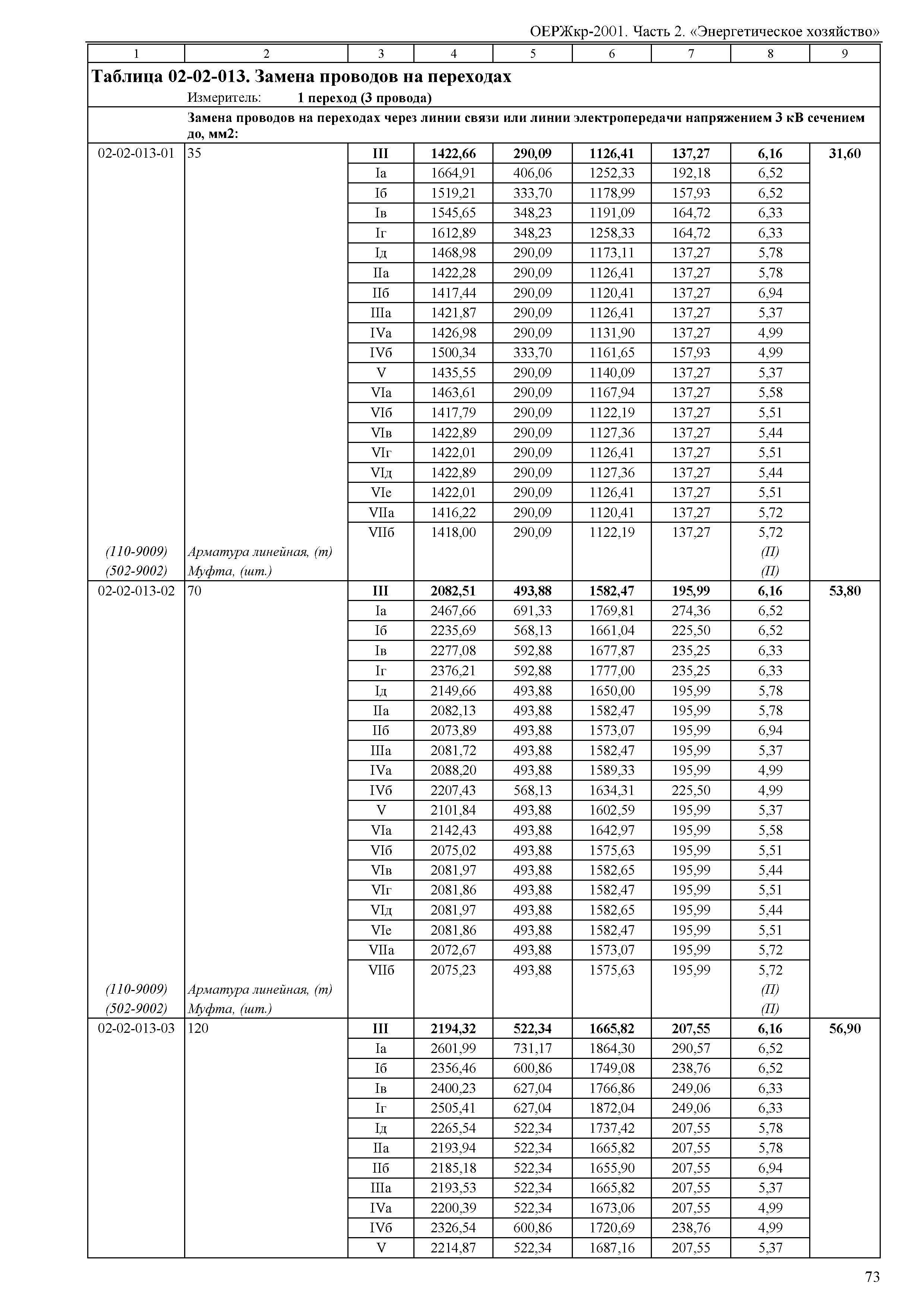
| Оглавление: | Отдел 1. Линии электропередачи 0,38 - 35 кВ Раздел 1. Воздушные линии напряжением 0,4 кВ Раздел 2. Воздушные линии напряжением 6 - 10 кВ Раздел 3. Воздушные линии напряжением 35 кВ Раздел 4. Прочие работы |
| Разработан: | ОАО РЖД НО Национальная ассоциация стоимостного инжиниринга |
| Утверждён: | 31.01.2011 ОАО РЖД (178р) |

















































































































